Mechanical Properties and Damage Evolution of Concrete Materials Considering Sulfate Attack
Abstract
1. Introduction
2. Materials and Methods
2.1. Raw Materials and Concrete Mixture Proportions
| Composition | SiO2 | Al2O3 | CaO | Fe2O3 | SO3 | MgO | Na2O | K2O |
|---|---|---|---|---|---|---|---|---|
| Cement | 19.6 | 6.5 | 66.3 | 3.5 | 2.5 | 0.7 | 0.6 | 0.3 |
| Fly ash | 45.40 | 33.51 | 3.15 | 5.28 | 0.45 | 0.06 | 2.62 | 3.88 |
| Fiber Types | Basalt Fiber | Polypropylene Fiber |
|---|---|---|
| Density/(g·cm−3) | 2.65 | 0.91 |
| Melting point/°C | 1450–1500 | 160 |
| Elongation to fracture/% | 3.2 | 30–50 |
| Tensile strength/MPa | 3000–3300 | 350–480 |
| Elastic modulus/GPa | 90–110 | 2.4–3.2 |
| Materials | FA0 | FA10 | FA20 |
|---|---|---|---|
| Cement (kg∙m−3) | 350 | 315 | 280 |
| Fly ash (kg∙m−3) | - | 35 | 70 |
| Water (kg∙m−3) | 210 | 210 | 210 |
| Fine aggregate (kg∙m−3) | 644 | 644 | 644 |
| Coarse aggregate (kg∙m−3) | 1196 | 1196 | 1196 |
| Sand ratio (%) | 35 | 35 | 35 |
| Basalt fiber (%) | 0.1 | 0.1 | 0.1 |
| Polypropylene fiber (%) | 0.2 | 0.2 | 0.2 |
| Water–binder ratio (W/B) | 0.6 | 0.6 | 0.6 |
2.2. Specimen Preparation
2.3. Sulfate Attack Test for Concrete
2.4. Other Tests
2.4.1. Mass Change
2.4.2. Ultrasonic Impulse Method
2.4.3. Mechanical Test
2.4.4. Microanalysis
3. Experimental Results and Discussion
3.1. Characteristics of Apparent Degradation
3.2. Rate of Mass Change, Relative Dynamic Modulus of Elasticity and Corrosion Resistance Coefficient of Strength
4. Establishment of Evolution Model of Sulfate Erosion Damage
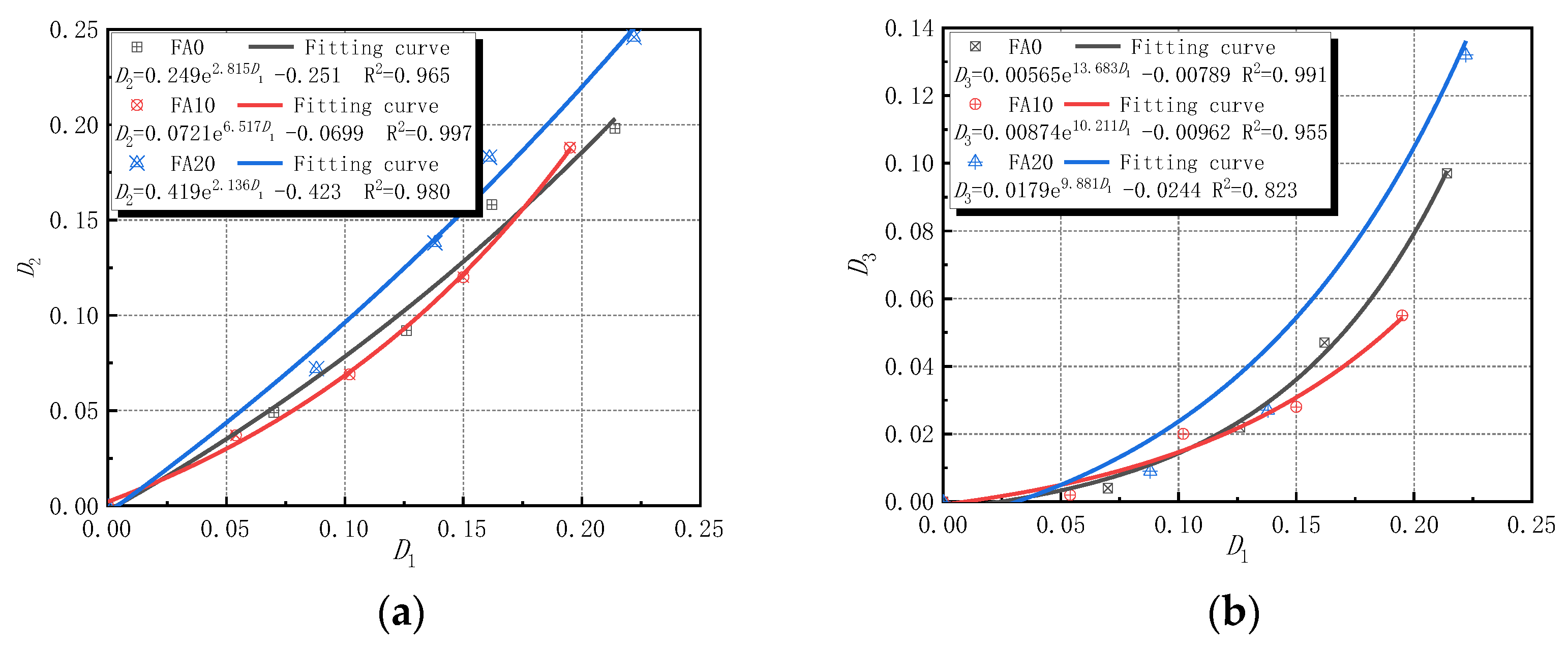
4.1. Model of Erosion Damage Based on Each Evaluation Index
4.2. Erosion Damage Model of Corrosion Resistance Coefficient of Compressive Strength Based on the Erosion Time and Fly Ash Content
5. Mechanism Analysis
5.1. XRD Analysis
5.2. SEM Analysis
6. Conclusions
Author Contributions
Funding
Institutional Review Board Statement
Informed Consent Statement
Data Availability Statement
Acknowledgments
Conflicts of Interest
Nomenclature
| n | the erosion time |
| the rate of mass change of the concrete specimen | |
| the mass of the specimen after the erosion time n | |
| the initial mass | |
| v | the longitudinal wave velocity |
| l | the path length |
| t | the average ultrasound time |
| the ultrasonic time value of each pair of measuring points | |
| the ultrasonic time value of each pair of measuring points | |
| the ultrasonic time value of each pair of measuring points | |
| the ultrasonic time value of each pair of measuring points | |
| the ultrasonic time value of each pair of measuring points | |
| the relative dynamic elastic modulus | |
| the dynamic elastic modulus after the erosion time n | |
| the initial dynamic elastic modulus | |
| the longitudinal wave velocity of the concrete specimen after the erosion time n | |
| the initial longitudinal wave velocity | |
| the corrosion resistance coefficient of compressive strength of the concrete specimen | |
| the compressive strength after the erosion time n | |
| the uncorroded compressive strength | |
| the corrosion resistance coefficient of splitting tensile strength of the concrete specimen | |
| the split tensile strength after the erosion time n | |
| the split tensile strength without sulfate attack | |
| D1 | the sulfate erosion damage variables corresponding to the corrosion resistance coefficient of compressive strength |
| D2 | the sulfate erosion damage variables corresponding to the corrosion resistance coefficient of splitting tensile strength |
| D3 | the sulfate erosion damage variables corresponding to the longitudinal wave velocity |
| fly ash content |
References
- Neville, A. The confused world of sulfate attack on concrete. Cem. Concr. Res. 2004, 34, 1275–1296. [Google Scholar] [CrossRef]
- Wang, J.; Huang, B.; Mao, Z.; Wang, Y. Study on Adsorption Properties of Calcined Mg–Al Hydrotalcite for Sulfate Ion and Chloride Ion in Cement Paste. Materials 2021, 14, 994. [Google Scholar] [CrossRef]
- Yildirim, K.; Sumer, M. Effects of sodium chloride and magnesium sulfate concentration on the durability of cement mortar with and without fly ash. Compos. Part B Eng. 2013, 52, 56–61. [Google Scholar] [CrossRef]
- Zhao, X.; Wang, H.; Zhou, B.; Gao, H.; Lin, Y. Resistance of Soda Residue–Fly Ash Based Geopolymer Mortar to Acid and Sulfate Environments. Materials 2021, 14, 785. [Google Scholar] [CrossRef] [PubMed]
- Zhou, R.; Cheng, H.; Li, M.; Zhang, L.; Hong, R. Energy Evolution Analysis and Brittleness Evaluation of High-Strength Concrete Considering the Whole Failure Process. Crystals 2020, 10, 1099. [Google Scholar] [CrossRef]
- Santhanam, M.; Cohen, M.D.; Olek, J. Mechanism of sulfate attack: A fresh look. Part 2. Proposed mechanisms. Cem. Concr. Res. 2003, 33, 341–346. [Google Scholar] [CrossRef]
- Zheng, J.M. Research on the Sulfate Attack of Concrete under the Dry and Wet Cycles and Carbonation; Yangzhou University: Yangzhou, China, 2009. [Google Scholar]
- Yin, G.J.; Zuo, X.B.; Tang, Y.J.; Ayinde, O.; Wang, J.L. Numerical simulation on time-dependent mechanical behavior of concrete under coupled axial loading and sulfate attack. Ocean Eng. 2017, 142, 115–124. [Google Scholar] [CrossRef]
- Li, T.; Zhu, P.T.; Zhang, B.; Ding, K.L.; Sun, Z.M. Experimental study on the corrosion reaction-diffusion process of concrete under sulfate attack. Bull. Chin. Ceram. Soc. 2020, 39, 50–55. [Google Scholar]
- Wang, Z.S.; Xing, L.X.; Zhao, K.; Lu, J.L.; Tian, J.B. Study on corrosion resistance and mechanical property degradation of basalt fiber reinforced concrete under magnesium sulfate erosion environment. Chin. J. Appl. Mech. 2020, 37, 134–141. [Google Scholar]
- Zhao, L.; Liu, J.H.; Zhou, W.J.; Ji, H.G. Damage evolution and mechanism of concrete erosion at sulfate environment in underground mine. J. China Coal Soc. 2016, 41, 1422–1428. [Google Scholar]
- Yi, C.F.; Chen, Z.; Bindiganavile, V. A non-homogeneous model to predict the service life of concrete subjected to external sulphate attack. Constr. Build. Mater. 2019, 212, 254–265. [Google Scholar] [CrossRef]
- Min, H.G.; Sui, L.L.; Xing, F.; Tian, H.; Zhou, Y.W. An effective transport model of sulfate attack in concrete. Constr. Build. Mater 2019, 216, 365–378. [Google Scholar] [CrossRef]
- Wang, X.Z.; He, J.J.; Zou, H.F.; Zheng, S.W.; Mustapha, A. Experimental research on sulfate corrosion of basalt-polypropylene hybrid fiber concrete. Concr. Cem. Prod. 2014, 5, 50–54. [Google Scholar]
- Marcalikova, Z.; Cajka, R.; Bilek, V.; Bujdos, D.; Sucharda, O. Determination of Mechanical Characteristics for Fiber-Reinforced Concrete with Straight and Hooked Fibers. Crystals 2020, 10, 545. [Google Scholar] [CrossRef]
- Li, Y.; Zhang, S. Resistance to sulfate attack of hybrid fiber concrete under dry-wet cycles. J. Northeast. Univ. 2016, 37, 895–898. [Google Scholar]
- He, R.; Tan, Y.W.; Li, D.; Sheng, Y.P. Sulfate corrosion resistance of hybrid fiber reinforced concrete. Bull. Chin. Ceram. Soc. 2017, 36, 1457–1463. [Google Scholar]
- Zhao, X.M.; Liu, S.G.; Yan, C.W.; Zhang, J.; Wang, Y.Q. Experimental studies on sulfate-resistance property of PVA-FRCC in wet-dry cycles. J. Inner Mong. Univ. Technol. 2016, 35, 303–308. [Google Scholar]
- Wang, J.B.; Niu, D.T.; Zhang, Y.L. Investigation of mechanical, permeability and durability performance of shotcrete with and without steel fiber. China Civ. Eng. J. 2016, 49, 96–109. [Google Scholar]
- Li, Y.; Wang, R.J.; Yan, F.; He, X.X.; Sun, Y. Effects of fly ash on antifreeze and sulfate resistance of concrete. J. Northwest A F Univ. 2017, 45, 219–226. [Google Scholar]
- Wang, J.B.; Niu, D.T.; He, H.; Song, Z.P. Durability deterioration and corrosion mechanism of shotcrete in salt lake environment. China Civ. Eng. J. 2019, 52, 67–80. [Google Scholar]
- Najjar, M.F.; Nehdi, M.L.; Soliman, A.M.; Azabi, T.M. Damage mechanisms of two-stage concrete exposed to chemical and physical sulfate attack. Constr. Build. Mater. 2017, 137, 141–152. [Google Scholar] [CrossRef]
- Liu, P.; Chen, Y.; Yu, Z.; Chen, L.K.; Zheng, Y.F.; Hariri-Ardebili, M.A. Research on sulfate attack mechanism of cement concrete based on chemical thermodynamics. Adv. Mater. Sci. Eng. 2020, 2020, 1–16. [Google Scholar] [CrossRef]
- Liu, H.; Ren, X.; Liang, S.X.; Li, J. Physical Mechanism of Concrete Damage under Compression. Materials 2019, 12, 3295. [Google Scholar] [CrossRef]
- Pan, Y.M.; Wang, B.X.; Wang, F.; Wang, Q. Macro-micro damage mechanism of concrete under the action of carbonate and sulfate. Bull. Chin. Ceram. Soc. 2019, 38, 3713–3718. [Google Scholar]
- Chen, J.K.; Qian, C.; Song, H. A new chemo-mechanical model of damage in concrete under sulfate attack. Constr. Build. Mater. 2016, 115, 536–543. [Google Scholar] [CrossRef]
- Bao, Y.L.; Chen, J.K. A New Model of Damage evolution in concrete under sulfate attack. J. Ningbo Univ. 2016, 29, 98–102. [Google Scholar]
- An, X.Z.; Yi, C.; Zhao, C.B.; Zhang, J.T. Research on the damage behaviors of the recycled aggregate concrete in the sulfate environment. J. Hebei Univ. Eng. 2012, 29, 1–6. [Google Scholar]
- Wu, K.; Kang, W.; Xu, L.L.; Sun, D.D.; Wang, F.Z.; Schutter, G.D. Damage evolution of blended cement concrete under sodium sulfate attack in relation to ITZ volume content. Constr. Build. Mater. 2018, 190, 452–465. [Google Scholar] [CrossRef]
- Xiao, Q.H.; Cao, Z.Y.; Guan, X.; Li, Q.; Liu, X.L. Damage to recycled concrete with different aggregate substitution rates from the coupled action of freeze-thaw cycles and sulfate attack. Constr. Build. Mater. 2019, 221, 74–83. [Google Scholar] [CrossRef]
- Yuan, M. Study on the Durability of Non-Spontaneous Combustion Gangue Concrete under Freeze-Thaw and Sulfate Attack; China University of Mining and Technology: Xuzhou, China, 2019. [Google Scholar]
- GB 175-2007, Standard for Common Portland Cement; Standards Press of China: Beijing, China, 2007.
- GB 1596-2005, Standard for Fly Ash Used for Cement and Concrete; Standards Press of China: Beijing, China, 2005.
- JGJ 55-2011, China Academy of Building Research. Specification for Mix Proportion Design of Ordinary Concrete; China Architecture & Building Press: Beijing, China, 2011.
- Zhu, J.H. Study on Basic Mechanical Properties and Durability of Hybrid Fiber Fly Ash Reinforced Concrete; Anhui University of Science and Technology: Huainan, China, 2019. [Google Scholar]
- Wu, Q.Y.; Ma, Q.Y.; Wang, Y. Compression-tensile tests and meso-structure of basalt fiber-slag powder-fly ash concrete under freeze-thaw cycles. Acta Mater. Compos. Sin. 2021, 38, 953–965. [Google Scholar]
- Cheng, M.; Zhang, J.S.; Duan, X.L.; Zhu, J.H. Experimental Study on Mechanical Properties of Concrete Reinforced With Hybrid Fiber and Fly Ash Subjected to Freeze-thaw Cycles. Sci. Technol. Eng. 2020, 20, 11288–11294. [Google Scholar]
- GB/T 50082-2009, China Academy of Building Research. Standard for the Test Methods of Long-Term Performance and Durability of Ordinary Concrete; China Architecture & Building Press: Beijing, China, 2009.
- GB/T 50081-2019, Standard for Test Methods of Concrete Physical and Mechanical Properties; China Architecture & Building Press: Beijing, China, 2019.
- Zhang, Z.Y.; Jin, X.G.; Luo, W. Long-term behaviors of concrete under low-concentration sulfate attack subjected to natural variation of environmental climate conditions. Cem. Concr. Res. 2019, 116, 217–230. [Google Scholar] [CrossRef]
- Xie, Y.P.; Jia, L.; Xue, B.Y.; Bai, W.T. Experimental study on corrosion resistance of high performance concrete in saline soil area of Southern Xinjiang. Sci. Technol. Eng. 2018, 18, 318–322. [Google Scholar]
- Nie, Q.K.; Bai, B.; Li, H.W.; Han, S.; Wang, Y.H. Effects of the content of fly ash and slag on the resistance to sulfate of concrete. Concrete 2015, 7, 1–3. [Google Scholar]
- Liu, Z.Q.; Li, X.N.; Hou, L.; Shi, B.L.; Deng, D.H. Accelerating effect of fly ash on damage of concrete partially immersed to sulfate environment. J. Build. Mater. 2017, 20, 439–443. [Google Scholar]
- Yu, X.F.; Dong, Y.W.; Wang, G.; Lu, H.L. Durability of fly ash concrete against sulfate erosion in complex environment. Concrete 2020, 6, 58–60. [Google Scholar]
- Sun, D.; Wu, K.; Shi, H.; Miramini, S.; Zhang, L.H. Deformation behaviour of concrete materials under the sulfate attack. Constr. Build. Mater. 2019, 210, 232–241. [Google Scholar] [CrossRef]
- Liu, P.; Chen, Y.; Wang, W.L.; Yu, Z.W. Effect of physical and chemical sulfate attack on performance degradation of concrete under different conditions. Chem. Phys. Lett. 2020, 745, 137254. [Google Scholar] [CrossRef]
- Zhang, M. Influence of Sulfate Corrosion on Microstructure Characteristics of Concrete. Bull. Chin. Ceramic Soc. 2020, 39, 1160–1165. [Google Scholar]

















| Time/Day | Fly Ash/% | Measured Data kc | Fitting Data kc1 | Error/% |
|---|---|---|---|---|
| 0 | 0 | 1 | 1.014 | 1.4 |
| 30 | 0 | 1.01 | 0.978 | −3.17 |
| 60 | 0 | 0.93 | 0.937 | 0.75 |
| 90 | 0 | 0.874 | 0.890 | 1.83 |
| 120 | 0 | 0.838 | 0.839 | 0.12 |
| 150 | 0 | 0.786 | 0.782 | −0.51 |
| 0 | 10 | 1 | 1.032 | 3.2 |
| 30 | 10 | 1.04 | 0.996 | −4.23 |
| 60 | 10 | 0.946 | 0.954 | 0.85 |
| 90 | 10 | 0.898 | 0.907 | 1.0 |
| 120 | 10 | 0.85 | 0.855 | 0.59 |
| 150 | 10 | 0.805 | 0.798 | −0.87 |
| 0 | 20 | 1 | 1.04 | 4.0 |
| 30 | 20 | 1.01 | 1.013 | 0.30 |
| 60 | 20 | 0.912 | 0.923 | 1.21 |
| 90 | 20 | 0.862 | 0.858 | −0.46 |
| 120 | 20 | 0.839 | 0.871 | 3.81 |
| 150 | 20 | 0.778 | 0.813 | 4.49 |
Publisher’s Note: MDPI stays neutral with regard to jurisdictional claims in published maps and institutional affiliations. |
© 2021 by the authors. Licensee MDPI, Basel, Switzerland. This article is an open access article distributed under the terms and conditions of the Creative Commons Attribution (CC BY) license (https://creativecommons.org/licenses/by/4.0/).
Share and Cite
Wu, Q.; Ma, Q.; Huang, X. Mechanical Properties and Damage Evolution of Concrete Materials Considering Sulfate Attack. Materials 2021, 14, 2343. https://doi.org/10.3390/ma14092343
Wu Q, Ma Q, Huang X. Mechanical Properties and Damage Evolution of Concrete Materials Considering Sulfate Attack. Materials. 2021; 14(9):2343. https://doi.org/10.3390/ma14092343
Chicago/Turabian StyleWu, Qianyun, Qinyong Ma, and Xianwen Huang. 2021. "Mechanical Properties and Damage Evolution of Concrete Materials Considering Sulfate Attack" Materials 14, no. 9: 2343. https://doi.org/10.3390/ma14092343
APA StyleWu, Q., Ma, Q., & Huang, X. (2021). Mechanical Properties and Damage Evolution of Concrete Materials Considering Sulfate Attack. Materials, 14(9), 2343. https://doi.org/10.3390/ma14092343

