Thermomechanical Behavior of Bone-Shaped SWCNT/Polyethylene Nanocomposites via Molecular Dynamics
Abstract
1. Introduction
2. Primary Geometry and Density Assumptions
2.1. Structure of Single Molecules
2.2. Unit Cells
3. MD Simulation
3.1. Geometry Optimization of Single Molecular Structures
3.2. Construction and Geometry Optimization of Unit Cells
3.3. Dynamic Analysis of Unit Cells
3.4. Thermomechanical Properties Calculation
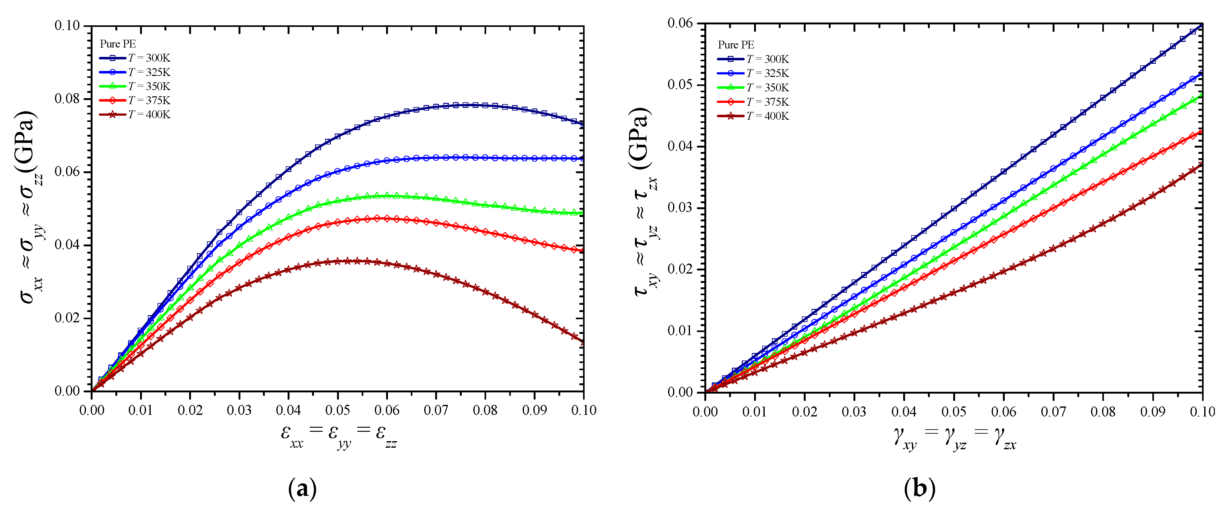
4. Results and Discussion
5. Conclusions
Author Contributions
Funding
Institutional Review Board Statement
Informed Consent Statement
Data Availability Statement
Conflicts of Interest
References
- Zhang, X.; Zheng, J.; Du, Y.Q.; Wang, Z.W.; Wu, Y.D.; Luo, G. Graphene-polymer nanocomposites for thermal conductive applications. IOP Conf. Ser. Mater. Sci. Eng. 2020, 770, 012015. [Google Scholar] [CrossRef]
- Chen, J.; Wei, H.; Bao, H.; Jiang, P.; Huang, X. Millefeuille-Inspired Thermally Conductive Polymer Nanocomposites with Overlapping BN Nanosheets for Thermal Management Applications. ACS Appl. Mater. Interfaces 2019, 11, 31402–31410. [Google Scholar] [CrossRef]
- Ogbonna, V.E.; Popoola, A.P.I.; Popoola, O.M.; Adeosun, S.O. A review on polyimide reinforced nanocomposites for mechanical, thermal, and electrical insulation application: Challenges and recommendations for future improvement. Polym. Bull. 2020, 1–33. [Google Scholar] [CrossRef]
- Kumar, A.; Sharma, K.; Dixit, A.R. A review of the mechanical and thermal properties of graphene and its hybrid polymer nanocomposites for structural applications. J. Mater. Sci. 2019, 54, 5992–6026. [Google Scholar] [CrossRef]
- Kianfar, A.; Seyyed Fakhrabadi, M.M.; Mashhadi, M.M. Prediction of mechanical and thermal properties of polymer nanocomposites reinforced by coiled carbon nanotubes for possible application as impact absorbent. Proc. Inst. Mech. Eng. Part C J. Mech. Eng. Sci. 2020, 234, 882–902. [Google Scholar] [CrossRef]
- Burgaz, E. Thermomechanical analysis of polymer nanocomposites. In Polymer Nanocomposites: Electrical and Thermal Properties, 1st ed.; Huang, X., Zhi, C., Eds.; Springer: Cham, Switzerland, 2016; pp. 191–242. [Google Scholar]
- Reddy, J.N.; Unnikrishnan, V.U.; Unnikrishnan, G.U. Recent developments in multiscale thermomechanical analysis of nanocomposites. In Advances in Nanocomposites: Modeling, Characterization and Applications, 1st ed.; Meguid, S.A., Ed.; Springer: Cham, Switzerland, 2016; pp. 177–188. [Google Scholar]
- Cho, M.; Yang, S. Atomistic simulations for the thermal and mechanical properties of CNT-polymer nanocomposites. Collect. Tech. Pap. AIAA/ASME/ASCE/AHS/ASC Struct. Struct. Dyn. Mater. Conf. 2007, 5, 4718–4726. [Google Scholar]
- Liu, J.; Wang, X.-L.; Zhao, L.; Zhang, G.; Lu, Z.-Y.; Li, Z.-S. The absorption and diffusion of polyethylene chains on the carbon nanotube: The molecular dynamics study. J. Polym. Sci. Part B Polym. Phys. 2007, 46, 272–280. [Google Scholar] [CrossRef]
- Herasati, S.; Ruan, H.; Zhang, L.C. Effect of Chain Morphology and Carbon-Nanotube Additives on the Glass Transition Temperature of Polyethylene. J. Nano Res. 2013, 23, 16–23. [Google Scholar] [CrossRef]
- Jeyranpour, F.; Alahyarizadeh, G.; Minuchehr, A. The thermo-mechanical properties estimation of fullerene-reinforced resin epoxy composites by molecular dynamics simulation—A comparative study. Polymer 2016, 88, 9–18. [Google Scholar] [CrossRef]
- Pandey, A.K.; Singh, K.; Kar, K.K. Thermo-mechanical properties of graphite-reinforced high-density polyethylene composites and its structure–property corelationship. J. Compos. Mater. 2017, 51, 1769–1782. [Google Scholar] [CrossRef]
- Zhou, X.; Zhang, X.; Xu, S.; Wu, S.; Liu, Q.; Fan, Z. Evaluation of thermo-mechanical properties of graphene/carbon-nanotubes modified asphalt with molecular simulation. Mol. Simul. 2016, 43, 312–319. [Google Scholar] [CrossRef]
- Park, C.; Jung, J.; Yun, G.J. Thermomechanical properties of mineralized nitrogen-doped carbon nanotube/polymer nanocomposites by molecular dynamics simulations. Compos. Part B Eng. 2019, 161, 639–650. [Google Scholar] [CrossRef]
- Singh, A.; Kumar, D. Temperature effects on the interfacial behavior of functionalized carbon nanotube–polyethylene nanocomposite using molecular dynamics simulation. Proc. Inst. Mech. Eng. Part N J. Nanomater. Nanoeng. Nanosyst. 2019, 233, 3–15. [Google Scholar] [CrossRef]
- Zhang, B.; Li, J.; Gao, S.; Liu, W.; Liu, Z. Comparison of Thermomechanical Properties for Weaved Polyethylene and Its Nanocomposite Based on the CNT Junction by Molecular Dynamics Simulation. J. Phys. Chem. C 2019, 123, 19412–19420. [Google Scholar] [CrossRef]
- Montazeri, A.; Rafii-Tabar, H. Multiscale modeling of graphene- and nanotube-based reinforced polymer nanocomposites. Phys. Lett. Sect. A Gen. At. Solid State Phys. 2011, 375, 4034–4040. [Google Scholar] [CrossRef]
- Tsiamaki, A.; Anifantis, N. Simulation of the thermomechanical behavior of graphene/PMMA nanocomposites via continuum mechanics. Int. J. Struct. Integr. 2019, 11, 655–669. [Google Scholar] [CrossRef]
- Fornes, T.D.; Paul, D.R. Modeling properties of nylon 6/clay nanocomposites using composite theories. Polymer 2003, 44, 4993–5013. [Google Scholar] [CrossRef]
- Giannopoulos, G.I. Linking MD and FEM to predict the mechanical behaviour of fullerene reinforced nylon-12. Compos. Part B Eng. 2019, 161, 455–463. [Google Scholar] [CrossRef]
- BIOVIA Materials Studio 2017. Available online: https://www.3ds.com/products-services/biovia/products/molecular-modeling-simulation/biovia-materials-studio/ (accessed on 29 March 2021).
- Zhu, Y.T.; Beyerlein, I.J. Issues on the design of bone-shaped short fiber composites. J. Adv. Mater. 2003, 35, 51–60. [Google Scholar]
- Xu, T.T.; Fisher, F.T.; Brinson, L.C.; Ruoff, R.S. Bone-shaped nanomaterials for nanocomposite applications. Nano Lett. 2003, 3, 1135–1139. [Google Scholar] [CrossRef]
- Giannopoulos, G.I. Introducing bone-shaped carbon nanotubes to reinforce polymer nanocomposites: A molecular dynamics investigation. Mater. Today Commun. 2019, 20, 100570. [Google Scholar] [CrossRef]
- Robinson, M.; Marks, N.A. NanoCap: A framework for generating capped carbon nanotubes and fullerenes. Comput. Phys. Commun. 2014, 185, 2519–2526. [Google Scholar] [CrossRef][Green Version]
- Terrones, M.; Terrones, G.; Terrones, H. Structure, chirality, and formation of giant icosahedral fullerenes and spherical graphitic onions. Struct. Chem. 2002, 13, 373–384. [Google Scholar] [CrossRef]
- Mayo, S.L.; Olafson, B.D.; Goddard III, W.A. DREIDING: A generic force field for molecular simulations. J. Phys. Chem. 1990, 94, 8897–8909. [Google Scholar] [CrossRef]
- Marx, D.; Hutter, J. Ab Initio Molecular Dynamics: Basic Theory and Advanced Methods, 1st ed.; Cambridge University Press: New York, NY, USA, 2009. [Google Scholar]
- Bao, Q.; Yang, Z.; Lu, Z. Molecular dynamics simulation of amorphous polyethylene (PE) under cyclic tensile-compressive loading below the glass transition temperature. Polymer 2020, 186, 121968. [Google Scholar] [CrossRef]
- Zhuang, X.; Zhou, S. Molecular dynamics study of an amorphous polyethylene/silica interface with shear tests. Materials 2018, 11, 929. [Google Scholar] [CrossRef]
- Yi, P.; Locker, C.R.; Rutledge, G.C. Molecular dynamics simulation of homogeneous crystal nucleation in polyethylene. Macromolecules 2013, 46, 4723–4733. [Google Scholar] [CrossRef]
- Tschopp, M.A.; Bouvard, J.L.; Ward, D.K.; Bammann, D.J.; Horstemeyer, M.F. Influence of Ensemble Boundary Conditions (Thermostat and Barostat) on the Deformation of Amorphous Polyethylene by Molecular Dynamics. arXiv 2013, arXiv:1310.0728. [Google Scholar]
- Vu-Bac, N.; Zhuang, X.; Rabczuk, T. Uncertainty quantification for mechanical properties of polyethylene based on fully atomistic model. Materials 2019, 12, 3613. [Google Scholar] [CrossRef] [PubMed]
- Al-Ostaz, A.; Pal, G.; Mantena, P.R.; Cheng, A. Molecular dynamics simulation of SWCNT-polymer nanocomposite and its constituents. J. Mater. Sci. 2008, 43, 164–173. [Google Scholar] [CrossRef]
- Arora, G.; Pathak, H. Experimental and numerical approach to study mechanical and fracture properties of high-density polyethylene carbon nanotubes composite. Mater. Today Commun. 2020, 22, 100829. [Google Scholar] [CrossRef]
- Mwanang’onze, H.; Moore, I.D.; Green, M. Coefficient of Thermal Expansion Characterization for Plain Polyethylene Pipe. Proc. ASCE Int. Conf. Pipeline Eng. Constr. N. Pipeline Technol. Secur. Saf. 2003, 2, 1302–1311. [Google Scholar]










| Simulated Material | Average Computed Linear Coefficient of Thermal Expansion for x-axis aLx (1/K) |
|---|---|
| Pure PE | 1.431 × 10−4 |
| OC SWCNT/PE nanocomposite | 1.257 × 10−4 |
| BS SWCNT/PE nanocomposite | 1.056 × 10−4 |
Publisher’s Note: MDPI stays neutral with regard to jurisdictional claims in published maps and institutional affiliations. |
© 2021 by the authors. Licensee MDPI, Basel, Switzerland. This article is an open access article distributed under the terms and conditions of the Creative Commons Attribution (CC BY) license (https://creativecommons.org/licenses/by/4.0/).
Share and Cite
Giannopoulos, G.I.; Georgantzinos, S.K. Thermomechanical Behavior of Bone-Shaped SWCNT/Polyethylene Nanocomposites via Molecular Dynamics. Materials 2021, 14, 2192. https://doi.org/10.3390/ma14092192
Giannopoulos GI, Georgantzinos SK. Thermomechanical Behavior of Bone-Shaped SWCNT/Polyethylene Nanocomposites via Molecular Dynamics. Materials. 2021; 14(9):2192. https://doi.org/10.3390/ma14092192
Chicago/Turabian StyleGiannopoulos, Georgios I., and Stylianos K. Georgantzinos. 2021. "Thermomechanical Behavior of Bone-Shaped SWCNT/Polyethylene Nanocomposites via Molecular Dynamics" Materials 14, no. 9: 2192. https://doi.org/10.3390/ma14092192
APA StyleGiannopoulos, G. I., & Georgantzinos, S. K. (2021). Thermomechanical Behavior of Bone-Shaped SWCNT/Polyethylene Nanocomposites via Molecular Dynamics. Materials, 14(9), 2192. https://doi.org/10.3390/ma14092192
