A Numerical Study on the Effect of Variable Wear Coefficient on Fretting Wear Characteristics
Abstract
1. Introduction
2. Wear Models and Problem Description
3. Experimental Setup
4. Numerical Models
4.1. FE Model
4.2. Modeling the Variation in Wear Coefficient
4.3. Numerical Implementation
5. Results and Discussion
5.1. Gross Sliding Regime
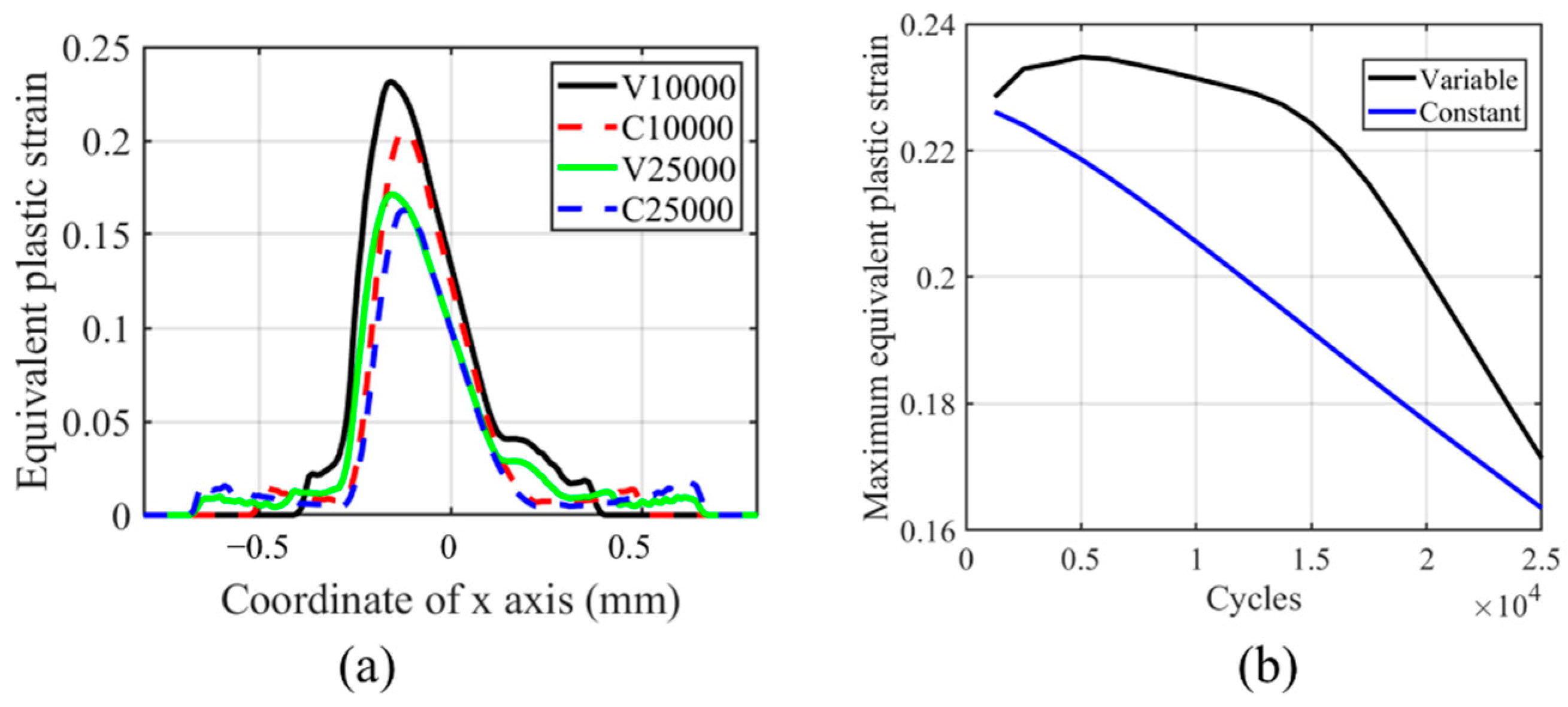
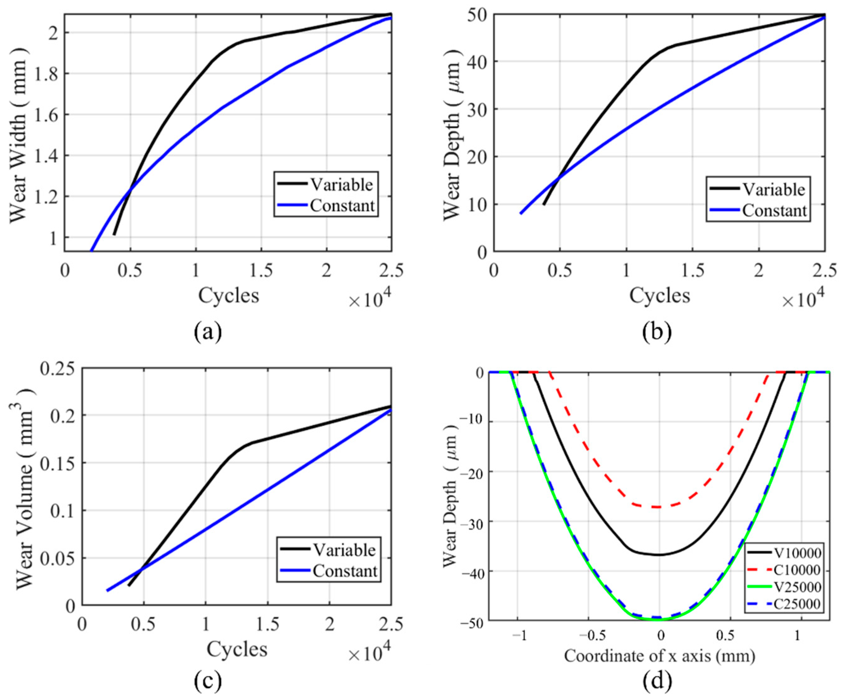
5.1.1. Flat Specimen
5.1.2. Cylindrical Pad
5.2. Partial Slip Regime
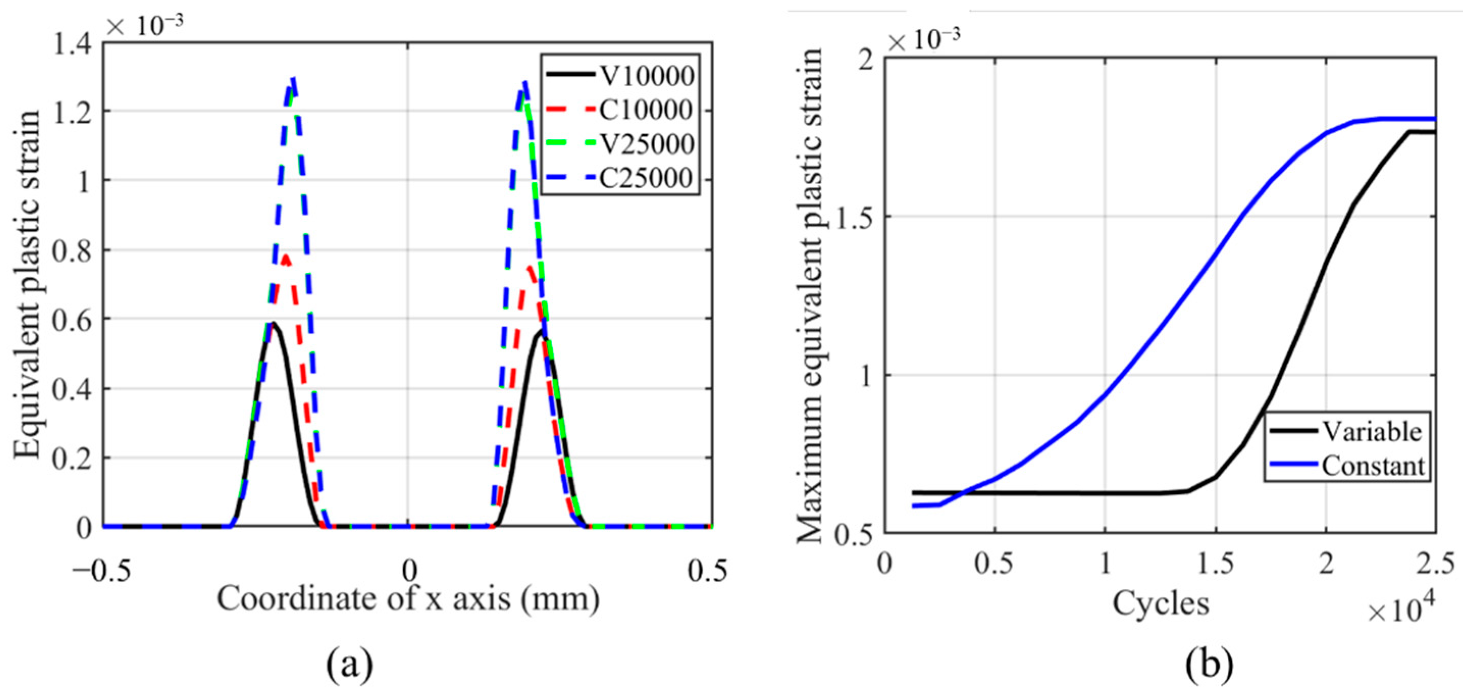
5.2.1. Flat Specimen
5.2.2. Cylindrical Pad
6. Conclusions
Author Contributions
Funding
Institutional Review Board Statement
Informed Consent Statement
Data Availability Statement
Conflicts of Interest
References
- Vingsbo, O.; Söderberg, S. On fretting maps. Wear 1988, 126, 131–147. [Google Scholar] [CrossRef]
- Berthier, Y.; Vincent, L.; Godet, M. Fretting fatigue and fretting wear. Tribol. Int. 1989, 22, 235–242. [Google Scholar] [CrossRef]
- Bhatti, N.A.; Wahab, M.A. Fretting fatigue crack nucleation: A review. Tribol. Int. 2018, 121, 121–138. [Google Scholar] [CrossRef]
- Wright, K. An investigation of fretting corrosion. Proc. Inst. Mech. Eng. 1953, 167, 556–574. [Google Scholar] [CrossRef]
- Hurricks, P. The mechanism of fretting—A review. Wear 1970, 15, 389–409. [Google Scholar] [CrossRef]
- Yue, T.; Wahab, M.A. Finite element analysis of fretting wear under variable coefficient of friction and different contact regimes. Tribol. Int. 2017, 107, 274–282. [Google Scholar] [CrossRef]
- Blanchard, P.C.V.S.; Colombie, C.; Pellerin, V.; Fayeulle, S.; Vincent, L. Material effects in fretting wear: Application to iron, titanium, and aluminum alloys. Metall. Trans. A 1991, 22, 1535–1544. [Google Scholar] [CrossRef]
- Warmuth, A.R.; Pearson, S.R.; Shipway, P.H.; Sun, W. The effect of contact geometry on fretting wear rates and mechanisms for a high strengthsteel. Wear 2013, 301, 491–500. [Google Scholar] [CrossRef]
- Zhang, T.; McHugh, P.; Leen, S. Computational study on the effect of contact geometry on fretting behaviour. Wear 2011, 271, 1462–1480. [Google Scholar] [CrossRef]
- Zhou, Z.; Fayeulle, S.; Vincent, L. Cracking behaviour of various aluminium alloys during fretting wear. Wear 1992, 155, 317–330. [Google Scholar] [CrossRef]
- Guo, X.; Lai, P.; Tang, L.; Wang, J.; Zhang, L. Effects of sliding amplitude and normal load on the fretting wear behavior of alloy 690 tube exposed to high temperature water. Tribol. Int. 2017, 116, 155–163. [Google Scholar] [CrossRef]
- Warmuth, A.; Shipway, P.; Sun, W. Fretting wear mapping: The influence of contact geometry and frequency on debris formation and ejection for a steel-on-steel pair. Proc. R. Soc. A Math. Phys. Eng. Sci. 2015, 471, 20140291. [Google Scholar] [CrossRef]
- Yue, T.; Abdel Wahab, M. A numerical study on the effect of debris layer on fretting wear. Materials 2016, 9, 597. [Google Scholar] [CrossRef]
- Madge, J.J.; Leen, S.B.; McColl, I.R.; Shipway, P.H. Contact-evolution based prediction of fretting fatigue life: Effect of slip amplitude. Wear 2007, 262, 1159–1170. [Google Scholar] [CrossRef]
- Madge, J.; Leen, S.; Shipway, P. The critical role of fretting wear in the analysis of fretting fatigue. Wear 2007, 263, 542–551. [Google Scholar] [CrossRef]
- McCarthy, O.J.; McGarry, J.; Leen, S.B. Micro-mechanical modelling of fretting fatigue crack initiation and wear in Ti–6Al–4V. Int. J. Fatigue 2014, 62, 180–193. [Google Scholar] [CrossRef]
- Zeise, B.; Liebich, R.; Prölß, M. Simulation of fretting wear evolution for fatigue endurance limit estimation of assemblies. Wear 2014, 316, 49–57. [Google Scholar] [CrossRef]
- Cruzado, A.; Leen, S.B.; Urchegui, M.A.; Gómez, X. Finite element simulation of fretting wear and fatigue in thin steel wires. Int. J. Fatigue 2013, 55, 7–21. [Google Scholar] [CrossRef]
- Fouvry, S.; Liskiewicz, T.; Kapsa, P.; Hannel, S.; Sauger, E. An energy description of wear mechanisms and its applications to oscillating sliding contacts. Wear 2003, 255, 287–298. [Google Scholar] [CrossRef]
- Varenberg, M.; Halperin, G.; Etsion, I. Different aspects of the role of wear debris in fretting wear. Wear 2002, 252, 902–910. [Google Scholar] [CrossRef]
- Zhu, M.H.; Cai, Z.B.; Lin, X.Z.; Ren, P.D.; Tan, J.; Zhou, Z.R. Fretting wear behaviour of ceramic coating prepared by micro-arc oxidation on Al–Si alloy. Wear 2007, 263, 472–480. [Google Scholar] [CrossRef]
- Yoon, Y.; Etsion, I.; Talke, F. The evolution of fretting wear in a micro-spherical contact. Wear 2011, 270, 567–575. [Google Scholar] [CrossRef]
- Madge, J.J. Numerical Modelling of the Effect of Fretting Wear on Fretting Fatigue. Ph.D. Thesis, University of Nottingham, Nottingham, UK, 2009. [Google Scholar]
- Soh, H.P. Fretting Wear Studies of Aeroengine Materials. Ph.D. Thesis, University of Nottingham, Nottingham, UK, 2006. [Google Scholar]
- Cruzado, A.; Urchegui, M.; Gómez, X. Finite element modeling of fretting wear scars in the thin steel wires: Application in crossed cylinder arrangements. Wear 2014, 318, 98–105. [Google Scholar] [CrossRef]
- Archard, J. Contact and rubbing of flat surfaces. J. Appl. Phys. 1953, 24, 981–988. [Google Scholar] [CrossRef]
- McColl, I.; Ding, J.; Leen, S. Finite element simulation and experimental validation of fretting wear. Wear 2004, 256, 1114–1127. [Google Scholar] [CrossRef]
- Paulin, C.; Fouvry, S.; Meunier, C. Finite element modelling of fretting wear surface evolution: Application to a Ti–6A1–4V contact. Wear 2008, 264, 26–36. [Google Scholar] [CrossRef]
- Chen, G.; Zhou, Z. Study on transition between fretting and reciprocating sliding wear. Wear 2001, 250, 665–672. [Google Scholar] [CrossRef]
- Fridrici, V.; Fouvry, S.; Kapsa, P. Effect of shot peening on the fretting wear of Ti–6Al–4V. Wear 2001, 250, 642–649. [Google Scholar] [CrossRef]
- Sauger, E.; Fouvry, S.; Ponsonnet, L.; Kapsa, P.; Martin, J.M.; Vincent, L. Tribologically transformed structure in fretting. Wear 2000, 245, 39–52. [Google Scholar] [CrossRef]
- Sauger, E.; Ponsonnet, L.; Martin, J.M.; Vincent, L. Study of the tribologically transformed structure created during fretting tests. Tribol. Int. 2000, 33, 743–750. [Google Scholar] [CrossRef]
- Zhou, Z.R.; Sauger, E.; Liu, J.J.; Vincent, L. Nucleation and early growth of tribologically transformed structure (TTS) induced by fretting. Wear 1997, 212, 50–58. [Google Scholar] [CrossRef]
- Dang, V. Contribution Á L’Étude de la Transformation Tribologique Superficielle en Fretting. Ph.D. Thesis, INSA de Lyon, Villeurbanne, France, 1997. [Google Scholar]
- Shen, F.; Hu, W.; Meng, Q. A damage mechanics approach to fretting fatigue life prediction with consideration of elastic–Plastic damage model and wear. Tribol. Int. 2015, 82, 176–190. [Google Scholar] [CrossRef]
- Tobi, A.M.; Ding, J.; Bandak, G.; Leen, S.B.; Shipway, P.H. A study on the interaction between fretting wear and cyclic plasticity for Ti–6Al–4V. Wear 2009, 267, 270–282. [Google Scholar] [CrossRef]
- Nagentrau, M.; Siswanto, W.A.; Mohd Tobi, A.L. Predicting the sliding amplitude of plastic deformation in the reciprocating sliding contact. ARPN J. Eng. Appl. Sci. 2016, 11, 2266–2271. [Google Scholar]
- Tobi, A.M.; Sun, W.; Shipway, P. Investigation on the plasticity accumulation of Ti-6Al-4V fretting wear by decoupling the effects of wear and surface profile in finite element modelling. Tribol. Int. 2017, 113, 448–459. [Google Scholar] [CrossRef]



























| Young’s Modulus (GPa) | 119 |
| Poisson Ratio | 0.29 |
| Yield sStress (MPa) | 970 |
Publisher’s Note: MDPI stays neutral with regard to jurisdictional claims in published maps and institutional affiliations. |
© 2021 by the authors. Licensee MDPI, Basel, Switzerland. This article is an open access article distributed under the terms and conditions of the Creative Commons Attribution (CC BY) license (https://creativecommons.org/licenses/by/4.0/).
Share and Cite
Wang, S.; Wahab, M.A. A Numerical Study on the Effect of Variable Wear Coefficient on Fretting Wear Characteristics. Materials 2021, 14, 1840. https://doi.org/10.3390/ma14081840
Wang S, Wahab MA. A Numerical Study on the Effect of Variable Wear Coefficient on Fretting Wear Characteristics. Materials. 2021; 14(8):1840. https://doi.org/10.3390/ma14081840
Chicago/Turabian StyleWang, Shengjie, and Magd Abdel Wahab. 2021. "A Numerical Study on the Effect of Variable Wear Coefficient on Fretting Wear Characteristics" Materials 14, no. 8: 1840. https://doi.org/10.3390/ma14081840
APA StyleWang, S., & Wahab, M. A. (2021). A Numerical Study on the Effect of Variable Wear Coefficient on Fretting Wear Characteristics. Materials, 14(8), 1840. https://doi.org/10.3390/ma14081840

