A Combined Experimental and First-Principles Based Assessment of Finite-Temperature Thermodynamic Properties of Intermetallic Al3Sc
Abstract
1. Introduction
2. Methodology
2.1. Electronic Contribution
2.2. Vibrational Contributions
2.3. Electron–Phonon Coupling
2.4. Elastic Constants
2.5. Computational Details
2.6. Experimental Details
2.6.1. Low Temperature Heat Capacity Measurements
2.6.2. Dilatometric Measurements
3. Results and Discussion
3.1. Ground State Properties
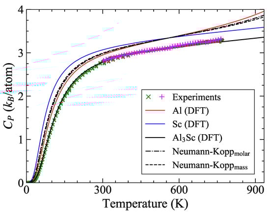
3.2. Heat Capacity
3.3. Lattice Expansion
3.3.1. Verifying Vegard’s Law for the Sc Solid Solution
3.3.2. Coefficient of Thermal Expansion
3.4. Critical Particle Size for Coherency Loss
4. Conclusions
Author Contributions
Funding
Institutional Review Board Statement
Informed Consent Statement
Data Availability Statement
Acknowledgments
Conflicts of Interest
References
- Clouet, E.; Laé, L.; Épicier, T.; Lefebvre, W.; Nastar, M.; Deschamps, A. Complex precipitation pathways in multicomponent alloys. Nat. Mater. 2006, 5, 482. [Google Scholar] [CrossRef]
- Radmilovic, V.; Ophus, C.; Marquis, E.A.; Rossell, M.D.; Tolley, A.; Gautam, A.; Asta, M.; Dahmen, U. Highly monodisperse core–shell particles created by solid-state reactions. Nat. Mater. 2011, 10, 710. [Google Scholar] [CrossRef] [PubMed]
- Parker, B.A.; Zhou, Z.F.; Nolle, P. The effect of small additions of scandium on the properties of aluminium alloys. J. Mater. Sci. 1995, 30, 452. [Google Scholar] [CrossRef]
- Drits, M.E.; Dutkiewicz, J.; Toropova, L.S.; Salawa, J. The effect of solution treatment on the aging processes of Al-Sc alloys. Cryst. Res. Technol. 1984, 19, 1325. [Google Scholar] [CrossRef]
- Elagin, V.I.; Zakharov, V.V.; Rostova, T.D. Effect of scandium on the structure and properties of alloy Al-5.5% Zn-2.0% Mg. Met. Sci. Heat Treat. 1992, 34, 37. [Google Scholar] [CrossRef]
- Rostova, T.D.; Davydov, V.G.; Yelagin, V.I.; Zakharov, V.V. Effect of Scandium on Recrystallization of Aluminum and its Alloys. Mater. Sci. Forum 2000, 331–337, 793. [Google Scholar] [CrossRef]
- Norman, A.F.; Prangnell, P.B.; McEwen, R.S. The solidification behavior of dilute aluminium–scandium alloys. Acta Mater. 1998, 46, 5715. [Google Scholar] [CrossRef]
- Milman, Y.V.; Lotsko, D.V.; Sirko, O.I. ‘Sc Effect’ of Improving Mechanical Properties in Aluminium Alloys. Mater. Sci. Forum 2000, 331–337, 1107. [Google Scholar] [CrossRef]
- Bilić, A.; Gale, J.D.; Gibson, M.A.; Wilson, N.; McGregor, K. Prediction of novel alloy phases of Al with Sc or Ta. Sci. Rep. 2015, 5, 1–8. [Google Scholar] [CrossRef]
- Harada, Y.; Dunand, D.C. Microstructure of Al3Sc with ternary transition-metal additions. Mater. Sci. Eng. A 2002, 329–331, 686. [Google Scholar] [CrossRef]
- Hyland, R.W. Homogeneous nucleation kinetics of Al3Sc in a dilute Al-Sc alloy. Metall. Mater. Trans. A 1992, 23, 1947. [Google Scholar] [CrossRef]
- Harada, Y.; Dunand, D.C. Thermal expansion of al3sc and al3 (sc0.75 x 0.25). Scr. Mater. 2003, 48, 219. [Google Scholar] [CrossRef]
- Ahmad, Z. The properties and application of scandium-reinforced aluminum. JOM 2003, 55, 35. [Google Scholar] [CrossRef]
- Asta, M.; Ozolins, V. Structural, vibrational, and thermodynamic properties of Al-Sc alloys and intermetallic compounds. Phys. Rev. B 2001, 64, 094104. [Google Scholar] [CrossRef]
- Asta, M.; Foiles, S.M.; Quong, A.A. First-principles calculations of bulk and interfacial thermodynamic properties for fcc-based Al-Sc alloys. Phys. Rev. B 1998, 57, 11265. [Google Scholar] [CrossRef]
- Marquis, E.A.; Seidman, D.N. Nanoscale structural evolution of Al3Sc precipitates in Al (Sc) alloys. Acta Mater. 2001, 49, 1909. [Google Scholar] [CrossRef]
- Marquis, E.A.; Seidman, D.N.; Asta, M.; Woodward, C. Composition evolution of nanoscale Al3Sc precipitates in an Al–Mg–Sc alloy: Experiments and computations. Acta Mater. 2006, 54, 119. [Google Scholar] [CrossRef]
- Krug, M.E.; Dunand, D.C.; Seidman, D.N. Composition profiles within Al3Li and Al3Sc/Al3Li nanoscale precipitates in aluminum. Appl. Phys. Lett. 2008, 92, 124107. [Google Scholar] [CrossRef]
- Yset, J.R.; Ryum, N. Scandium in aluminium alloys. Int. Mater. Rev. 2005, 50, 19. [Google Scholar]
- Clouet, E.; Barbu, A.; Laé, L.; Martin, G. Precipitation kinetics of Al3Zr and Al3Sc in aluminum alloys modeled with cluster dynamics. Acta Mater. 2005, 53, 2313. [Google Scholar] [CrossRef]
- Clouet, E.; Nastar, M.; Sigli, C. Nucleation of Al3Zr and Al3Sc in aluminum alloys: From kinetic Monte Carlo simulations to classical theory. Phys. Rev. B 2004, 69, 064109. [Google Scholar] [CrossRef]
- Saha, S.; Todorova, T.Z.; Zwanziger, J.W. Temperature dependent lattice misfit and coherency of Al3X (X = Sc, Zr, Ti and Nb) particles in an Al matrix. Acta Mater. 2015, 89, 109. [Google Scholar] [CrossRef]
- Fukunaga, K.; Shouji, T.; Miura, Y. Temperature dependence of dislocation structure of L12–Al3Sc. Mater. Sci. Eng. A 1997, 240, 202. [Google Scholar] [CrossRef]
- Willey, L.A. Aluminum scandium alloy. U.S. Patent 3619181, 9 November 1971. [Google Scholar]
- Buranova, Y.; Kulitskiy, V.; Peterlechner, M.; Mogucheva, A.; Kaibyshev, R.; Divinski, S.V.; Wilde, G. Al-3(Sc,Zr)-based precipitates in Al–Mg alloy: Effect of severe deformation. Acta Mater. 2017, 124, 210. [Google Scholar] [CrossRef]
- Fujikawa, S.I. Scandium in pure aluminum and aluminum alloys—Its behavior and addition effects. J. Jpn. Inst. Light Met. 1999, 49, 128. [Google Scholar] [CrossRef]
- Gupta, A.; Kavakbasi, B.T.; Dutta, B.; Grabowski, B.; Peterlechner, M.; Hickel, T.; Divinski, S.V.; Wilde, G.; Neugebauer, J. Low-temperature features in the heat capacity of unary metals and intermetallics for the example of bulk aluminum and Al3Sc. Phys. Rev. B 2017, 95, 094307. [Google Scholar] [CrossRef]
- Zhang, X.; Jiang, W. First-principles investigation on the mechanical, vibrational and thermodynamics properties of AuCu3-type X3Sc (X = Al, Ga, In) intermetallic compounds. Comput. Mater. Sci. 2015, 106, 38. [Google Scholar] [CrossRef]
- Zhou, Z.; Wu, B.; Dou, S.; Zhao, C.; Xiong, Y.; Wu, Y.; Yang, S.; Wei, Z. Thermodynamic Properties of Elements and Compounds in Al-Sc Binary System from Ab Initio Calculations Based on Density Functional Theory. Metall. Mater. Trans. A 2014, 45, 1720. [Google Scholar] [CrossRef]
- Grabowski, B.; Ismer, L.; Hickel, T.; Neugebauer, J. Ab initio up to the melting point: Anharmonicity and vacancies in aluminum. Phys. Rev. B 2009, 79, 134106. [Google Scholar] [CrossRef]
- Glensk, A.; Grabowski, B.; Hickel, T.; Neugebauer, J. Understanding Anharmonicity in fcc Materials: From its Origin to ab initio Strategies beyond the Quasiharmonic Approximation. Phys. Rev. Lett. 2015, 114, 195901. [Google Scholar] [CrossRef] [PubMed]
- Duff, A.I.; Davey, T.; Korbmacher, D.; Glensk, A.; Grabowski, B.; Neugebauer, J.; Finnis, M.W. Improved method of calculating ab initio high-temperature thermodynamic properties with application to ZrC. Phys. Rev. B 2015, 91, 214311. [Google Scholar] [CrossRef]
- Kaplan, B.; Korbmacher, D.; Blomqvist, A.; Grabowski, B. Finite temperature ab initio calculated thermodynamic properties of orthorhombic Cr3C2. CALPHAD 2016, 53, 72. [Google Scholar] [CrossRef]
- Glensk, A. Anharmonic Contributions to ab initio Computed Thermodynamic Material Properties. Ph.D. Thesis, University of Paderborn, Paderborn, Germany, 2015. [Google Scholar]
- Grabowski, B.; Söderlind, P.; Hickel, T.; Neugebauer, J. Temperature-driven phase transitions from first principles including all relevant excitations: The fcc-to-bcc transition in Ca. Phys. Rev. B 2011, 84, 214107. [Google Scholar] [CrossRef]
- Mermin, N.D. Thermal properties of the inhomogeneous electron gas. Phys. Rev. 1965, 137, A1441. [Google Scholar] [CrossRef]
- Wallace, D.C. Thermodynamics of Crystals; Dover: New York, NY, USA, 1998. [Google Scholar]
- Zhang, X.; Grabowski, B.; Hickel, T.; Neugebauer, J. Calculating free energies of point defects from ab initio. Comput. Mater. Sci. 2018, 148, 249–259. [Google Scholar] [CrossRef]
- Zhang, X.; Grabowski, B.; Körmann, F.; Freysoldt, C.; Neugebauer, J. Accurate electronic free energies of the 3d, 4d, and 5d transition metals at high temperatures. Phys. Rev. B 2017, 95, 165126. [Google Scholar] [CrossRef]
- Friak, M.; Hickel, T.; Körmann, F.; Udyansky, A.; Dick, A.; von Pezold, J.; Ma, D.; Kim, O.; Counts, W.A.; Šob, M. Determining the Elasticity of Materials Employing Quantum-mechanical Approaches: From the Electronic Ground State to the Limits of Materials Stability. Steel Res. Int. 2011, 82, 86. [Google Scholar] [CrossRef]
- Psiachos, D.; Hammerschmidt, T.; Drautz, R. Ab initio study of the modification of elastic properties of α-iron by hydrostatic strain and by hydrogen interstitials. Acta Mater. 2011, 59, 4255. [Google Scholar] [CrossRef]
- Murnaghan, F.D. The compressibility of media under extreme pressures. Proc. Natl. Acad. Sci. USA 1944, 30, 244. [Google Scholar] [CrossRef]
- Gupta, A. Ab initio Based Study of Precipitate Formation in Advanced Structural Al-Based Alloys. Ph.D Thesis, Ruhr-University Bochum, Bochum, Germany, 2019. [Google Scholar]
- Kresse, G.; Hafner, J. Ab initio molecular dynamics for liquid metals. Phys. Rev. B 1993, 47, RC558. [Google Scholar] [CrossRef] [PubMed]
- Kresse, G.; Furthmüller, J. Efficient iterative schemes for ab initio total-energy calculations using a plane-wave basis set. Phys. Rev. B 1996, 54, 11169. [Google Scholar] [CrossRef]
- Blöchl, P.E. Generalized separable potentials for electronic-structure calculations. Phys. Rev. B 1994, 50, 17953. [Google Scholar] [CrossRef]
- Perdew, J.P.; Burke, K.; Ernzerhof, M. Generalized gradient approximation made simple. Phys. Rev. Lett. 1996, 77, 3865. [Google Scholar] [CrossRef] [PubMed]
- Grabowski, B.; Hickel, T.; Neugebauer, J. Ab initio study of the thermodynamic properties of nonmagnetic elementary fcc metals: Exchange-correlation-related error bars and chemical trends. Phys. Rev. B 2007, 76, 024309. [Google Scholar] [CrossRef]
- Kresse, G.; Furthmüller, J.; Hafner, J. Ab initio force constant approach to phonon dispersion relations of diamond and graphite. Europhys. Lett. 1995, 32, 729. [Google Scholar] [CrossRef]
- Monkhorst, H.J.; Pack, J.D. Special points for Brillouin-zone integrations. Phys. Rev. B 1976, 13, 5188. [Google Scholar] [CrossRef]
- Methfessel, M.; Paxton, A.T. High-precision sampling for Brillouin-zone integration in metals. Phys. Rev. B 1989, 40, 3616. [Google Scholar] [CrossRef] [PubMed]
- Gonze, X.; Beuken, J.-M.; Caracas, R.; Detraux, F.; Fuchs, M.; Rignanese, G.-M.; Sindic, L.; Verstraete, M.; Zerah, G.; Jollet, F.; et al. First-principles computation of material properties: The ABINIT software project. Comput. Mat. Sci. 2002, 25, 478. [Google Scholar] [CrossRef]
- Torrent, M.; Jollet, F.; Bottin, F.; Zerah, G.; Gonze, X. Implementation of the projector augmented-wave method in the ABINIT code: Application to the study of iron under pressure. Comput. Mat. Sci. 2008, 42, 337. [Google Scholar] [CrossRef]
- Gonze, X.; Lee, C. Dynamical matrices, Born effective charges, dielectric permittivity tensors, and interatomic force constants from density-functional perturbation theory. Phys. Rev. B 1997, 55, 10355. [Google Scholar] [CrossRef]
- Perdew, J.P.; Wang, Y. Accurate and simple analytic representation of the electron-gas correlation energy. Phys. Rev. B 1992, 45, 13244. [Google Scholar] [CrossRef]
- Hÿtch, M.; Snoeck, E.; Kilaas, R. Quantitative measurement of displacement and strain fields from HREM micrographs. Ultramicroscopy 1998, 74, 131. [Google Scholar] [CrossRef]
- Quantum Design. Physical Property Measurement System, Heat Capacity Option User’s Manual; Quantum Design: San Diego, CA, USA, 2004. [Google Scholar]
- Hyland, R.W., Jr.; Stiffler, R.C. Determination of the elastic constants of polycrystalline Al3Sc. Scrip. Metall. Mater. 1991, 25, 473. [Google Scholar] [CrossRef]
- Cacciamani, G.; Riani, P.; Borzone, G.; Parodi, N.; Saccone, A.; Ferro, R.; Pisch, A.; Schmid-Fetzer, R. Thermodynamic measurements and assessment of the Al–Sc system. Intermetallics 1999, 7, 101. [Google Scholar] [CrossRef]
- Fu, C.L. Electronic, elastic, and fracture properties of trialuminide alloys: Al3Sc and Al3Ti. J. Mater. Res. 1990, 5, 971. [Google Scholar] [CrossRef]
- Mao, Z.; Chen, W.; Seidman, D.N.; Wolverton, C. First-principles study of the nucleation and stability of ordered precipitates in ternary Al–Sc–Li alloys. Acta Mater. 2011, 59, 3012. [Google Scholar] [CrossRef]
- Woodward, C.; Asta, M.; Kresse, G.; Hafner, J. Density of constitutional and thermal point defects in L12 Al3Sc. Phys. Rev. B 2001, 63, 094103. [Google Scholar] [CrossRef]
- Hua, W.C.; Liu, Y.; Li, D.J.; Zeng, X.Q.; Xu, C.S. Mechanical and thermodynamic properties of Al3Sc and Al3Li precipitates in Al–Li–Sc alloys from first-principles calculations. Phys. B 2013, 427, 85. [Google Scholar] [CrossRef]
- Touloukian, Y.S.; Kirby, R.K.; Taylor, R.E.; Desai, P.D. Thermal Expansion: Metallic Elements and Alloys, Thermophysical Properties of Matterials; Plenum: New York, NY, USA, 1975; Volume 12. [Google Scholar]
- Nix, F.C.; MacNair, D. The thermal expansion of pure metals: Copper, gold, aluminum, nickel, and iron. Phys. Rev. 1941, 60, 597. [Google Scholar] [CrossRef]
- Wilson, A.J.C. The thermal expansion of aluminium from 0 to 650 C. Proc. Phys. Soc. 1941, 53, 235. [Google Scholar] [CrossRef]
- Mardon, P.G.; Nichols, J.L.; Pearce, J.H.; Poole, D.M. Some properties of scandium metal. Nature 1961, 189, 566. [Google Scholar] [CrossRef]
- Hanak, J.J. High Temperature Allotropy of the Rare-Earth Metals. Ph.D Thesis, Iowa State University of Science and Technology, Ames, IA, USA, 1959. [Google Scholar]
- Geiselman, D. The metallurgy of scandium. J. Less-Common Met. 1962, 4, 362. [Google Scholar] [CrossRef]
- Gerstein, B.C.; Taylor, W.A.; Schickell, W.D.; Spedding, F.H. Heat Capacity of Scandium from 6 to 350∘K. J. Chem. Phys. 1971, 54, 4723. [Google Scholar] [CrossRef]
- Dennison, D.H.; Gschneidner, K.A., Jr.; Daane, A.H. High-Temperature Heat Contents and Related Thermodynamic Functions of Eight Rare-Earth Metals: Sc, Gd, Tb, Dy, Ho, Er, Tm, and Lu. J. Chem. Phys. 1966, 44, 4273. [Google Scholar] [CrossRef]
- Weller, W.W.; Kelley, K.K. Low-temperature heat capacities and entropies at 298.15∘ K of sodium dimolybdate and sodium ditungstate. Bur. Mines Rep. Invest. 1962, 1–3, 5984. [Google Scholar]
- Grimvall, G. Thermophysical Properties of Materials; Elsevier Science: Amsterdam, The Netherlands, 1999. [Google Scholar]
- Zhai, W.; Geng, D.L.; Wang, W.L.; Wei, B. A calorimetric study of thermodynamic properties for binary Cu–Ge alloys. J. Alloys Comp. 2012, 535, 70. [Google Scholar] [CrossRef]
- Liu, H.S.; Wang, J.; Jin, Z.P. Thermodynamic optimization of the Ni–Sn binary system. CALPHAD 2004, 28, 363. [Google Scholar] [CrossRef]
- Walker, R.A.; Darby, J.B., Jr. Thermodynamic properties of solid nickel-platinum alloys. Acta Metall. 1970, 18, 1261. [Google Scholar] [CrossRef]
- Huang, W.; Chang, Y.A. A thermodynamic analysis of the Al-Re system. J. Phase Equil. 1998, 19, 361. [Google Scholar] [CrossRef]
- Hu, R.; Nash, P.; Chen, Q.; Zhang, L.; Du, Y. Heat capacities of several Al–Ni–Ti compounds. Thermochim. Acta 2009, 486, 57. [Google Scholar] [CrossRef]
- Amirkhanyan, L.; Weissbach, T.; Gruber, T.; Zienert, T.; Fabrichnaya, O.; Kortus, J. Thermodynamic investigation of the Al–Fe–Si intermetallic ternary phase: A density-functional theory study. J. Alloys Comp. 2014, 598, 137. [Google Scholar] [CrossRef]
- Leitner, J.; Chuchvalec, P.; Sedmidubsky, D.; Strejc, A.; Abrman, P. Estimation of heat capacities of solid mixed oxides. Thermochim. Acta 2003, 395, 27. [Google Scholar] [CrossRef]
- Jacob, K.T.; Rajitha, G.; Kale, G.M.; Watson, A.; Wang, Z. High-temperature heat capacity and heat content of CaCu3Ti4O12 (CCTO). J. Alloys Comp. 2009, 488, 35. [Google Scholar] [CrossRef]
- Leitner, J.; Voňka, P.; Sedmidubský, D.; Svoboda, P. Application of Neumann–Kopp rule for the estimation of heat capacity of mixed oxides. Thermochim. Acta 2010, 497, 7. [Google Scholar] [CrossRef]
- Reichmann, T.L.; Richter, K.W.; Delsante, S.; Borzone, G.; Ipser, H. Enthalpies of formation of Cd–Pr intermetallic compounds and thermodynamic assessment of the Cd–Pr system. CALPHAD 2014, 47, 56. [Google Scholar] [CrossRef]
- Smith, A.L.; Griveau, J.C.; Colineau, E.; Raison, P.E.; Konings, R.J.M. Low temperature heat capacity of α-Na2NpO4. Thermochim. Acta 2015, 617, 129. [Google Scholar] [CrossRef]
- Benigni, P.; Mikaelian, G.; Pothin, R.; Berche, A.; Ayral, R.M.; Tedenac, J.C.; Jund, P.; Rogez, J. Measurement of the heat capacity of ZnSb by DSC between 300 and 673 K. CALPHAD 2016, 55, 238. [Google Scholar] [CrossRef]
- Kriegel, M.J.; Pavlyuchkov, D.; Fabrichnaya, O.; Rohde, M.; Rafaja, D.; Seifert, H.J. Specific Heat Capacity Measurements of Intermetallic Phases in the Ternary Al-Ti-Cr System. J. Alloys Comp. 2014, 35, 658. [Google Scholar] [CrossRef]
- Povoden-Karadeniz, E.; Cirstea, D.C.; Lang, P.; Wojcik, T.; Kozeschnik, E. Thermodynamics of Ti–Ni shape memory alloys. CALPHAD 2013, 41, 128. [Google Scholar] [CrossRef]
- Meyer, S. Ueber die Additivität der Atomwärmen. Ann. Phys. 1900, 2, 135. [Google Scholar] [CrossRef]
- Van Aubel, E. Ueber die Molecularwärmen zusammengesetzter Körper und das Gesetz Neumann-Joule-Kopp. Ann. Phys. 1901, 4, 420. [Google Scholar] [CrossRef]
- Jacob, K.T.; Raj, S.; Rannesh, L. Vegard’s law: A fundamental relation or an approximation? J. Mater. Res. 2007, 98, 776. [Google Scholar] [CrossRef]
- Očko, M.; Babić, E.; Krsmik, R.; Girt, E.; Leontić, B. Some properties of AlSc solid solutions. J. Phys. F Met. Phys. 1976, 6, 703. [Google Scholar] [CrossRef]
- Ozolins, V.; Asta, M. Large vibrational effects upon calculated phase boundaries in Al-Sc. Phys. Rev. Lett. 2001, 86, 448. [Google Scholar] [CrossRef]
- Finkler, D.K.; Maurer, A.E.; Campbell, S.J.; Heck, T.; Gonser, U. Precision determination of the lattice parameters of CuAuFe alloys. Phys. B C 1987, 145, 335. [Google Scholar] [CrossRef]
- Lubarda, V.A. On the effective lattice parameter of binary alloys. Mech. Mater. 2003, 35, 53. [Google Scholar] [CrossRef]
- Gschneidner, K.A., Jr.; Vineyard, G.H. Departures from Vegard’s law. J. Appl. Phys. 1962, 33, 3444. [Google Scholar] [CrossRef]
- Song, L.L.; Liu, S.; Mao, X. A new method for fast statistical measurement of interfacial misfit strain around nano-scale semicoherent particles. R. Soc. Chem. Adv. 2017, 7, 28506. [Google Scholar]
- Jesser, W.A. On the theory of loss of coherency by spherical precipitates. Philos. Mag. 1969, 19, 993. [Google Scholar] [CrossRef]
- Iwamura, S.; Miura, Y. Loss in coherency and coarsening behavior of Al3Sc precipitates. Acta Mater. 2004, 52, 591. [Google Scholar] [CrossRef]
- Comte, C.; von Stebut, J. Microprobe-type measurement of Young’s modulus and Poisson coefficient by means of depth sensing indentation and acoustic microscopy. Surf. Coat. Tech. 2002, 154, 42. [Google Scholar] [CrossRef]
- Yset, J.R.; Ryum, N. Some comments on the misfit and coherency loss of Al3Sc particles in Al–Sc alloys. Scr. Mater. 2005, 52, 1275. [Google Scholar]
- Gupta, A.; Kulitcki, V.; Kavakbasi, B.T.; Buranova, Y.; Neugebauer, J.; Wilde, G.; Hickel, T.; Divinski, S.V. Precipitate-induced nonlinearities of diffusion along grain boundaries in Al-based alloys. Phys. Rev. Mater. 2018, 2, 073801. [Google Scholar] [CrossRef]
- Watanabe, C.; Kondo, T.; Monzen, R. Coarsening of Al 3 Sc precipitates in an Al-0.28 wt pct Sc alloy. Metall. Mater. Trans. A 2004, 35, 3003. [Google Scholar] [CrossRef]
- Riddle, Y.W.; Sanders, T.H., Jr. Recrystallization performance of AA7050 varied with Sc and Zr. Mater. Sci. Forum A 2000, 331–337, 939. [Google Scholar] [CrossRef]
- Jones, M.J.; Humphreys, F.J. Interaction of recrystallization and precipitation: The effect of Al3Sc on the recrystallization behavior of deformed aluminium. Acta Mater. 2003, 51, 2149. [Google Scholar] [CrossRef]
- Berezina, A.L.; Volkov, V.A.; Domashnikov, B.P.; Ivanov, S.V.; Chuistov, K.V. Kinetics and morphology of Al-Sc alloy decomposition. Phys. Metall. 1990, 10, 296. [Google Scholar]
- Riddle, Y.W.; Sanders, T.H., Jr. A study of coarsening, recrystallization, and morphology of microstructure in Al-Sc-(Zr)-(Mg) alloys. Metall. Mater. Trans. A 2004, 35, 341. [Google Scholar] [CrossRef]







| B | ||||||
|---|---|---|---|---|---|---|
| (Å) | (GPa) | (eV/atom) | ||||
| Calc. (Present) | 4.103 | 89.55 | 184.59 | 42.03 | 73.23 | −0.445 |
| Calc. (FLAPW) | 4.04 | 92 , 96 | 189 | 43 | 66 | −0.5 , −0.48 |
| Calc. ( GGA) | 4.103 | 91.8 | 188 | 43.7 | 71.4 | −0.453 |
| Calc. ( USPP /NCPP ) | 4.038 | 92 | 191 | 43 | 82 | −0.523 |
| Experiments | 4.103 | – | 189 | 43 | 66 | −0.451 |
| – | 91.5 | 182.6 | 45.9 | 68.4 | – | |
| – | 1.1 | 2.1 | 0.6 | 0.8 | – | |
Publisher’s Note: MDPI stays neutral with regard to jurisdictional claims in published maps and institutional affiliations. |
© 2021 by the authors. Licensee MDPI, Basel, Switzerland. This article is an open access article distributed under the terms and conditions of the Creative Commons Attribution (CC BY) license (https://creativecommons.org/licenses/by/4.0/).
Share and Cite
Gupta, A.; Tas, B.; Korbmacher, D.; Dutta, B.; Neitzel, Y.; Grabowski, B.; Hickel, T.; Esin, V.; Divinski, S.V.; Wilde, G.; et al. A Combined Experimental and First-Principles Based Assessment of Finite-Temperature Thermodynamic Properties of Intermetallic Al3Sc. Materials 2021, 14, 1837. https://doi.org/10.3390/ma14081837
Gupta A, Tas B, Korbmacher D, Dutta B, Neitzel Y, Grabowski B, Hickel T, Esin V, Divinski SV, Wilde G, et al. A Combined Experimental and First-Principles Based Assessment of Finite-Temperature Thermodynamic Properties of Intermetallic Al3Sc. Materials. 2021; 14(8):1837. https://doi.org/10.3390/ma14081837
Chicago/Turabian StyleGupta, Ankit, Bengü Tas, Dominique Korbmacher, Biswanath Dutta, Yulia Neitzel, Blazej Grabowski, Tilmann Hickel, Vladimir Esin, Sergiy V. Divinski, Gerhard Wilde, and et al. 2021. "A Combined Experimental and First-Principles Based Assessment of Finite-Temperature Thermodynamic Properties of Intermetallic Al3Sc" Materials 14, no. 8: 1837. https://doi.org/10.3390/ma14081837
APA StyleGupta, A., Tas, B., Korbmacher, D., Dutta, B., Neitzel, Y., Grabowski, B., Hickel, T., Esin, V., Divinski, S. V., Wilde, G., & Neugebauer, J. (2021). A Combined Experimental and First-Principles Based Assessment of Finite-Temperature Thermodynamic Properties of Intermetallic Al3Sc. Materials, 14(8), 1837. https://doi.org/10.3390/ma14081837

