Fabrication and Property Regulation of Small-Size Polyamine Microcapsules via Integrating Microfluidic T-Junction and Interfacial Polymerization
Abstract
1. Introduction
2. Experiment
2.1. Materials
2.2. Fabrication of Small Polyamine Microcapsules
2.3. Characterization Methods
3. Results and Discussion
3.1. Size Regulation of Polyamine Microcapsules
3.2. Influence of Shell-Forming Monomer in Reaction Solution
3.3. Influence of Solvent in Reaction Solution
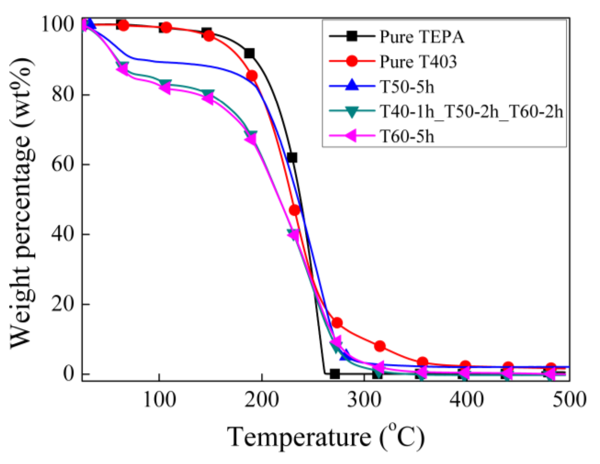
3.4. Influence of Reaction Condition
4. Conclusions
Author Contributions
Funding
Data Availability Statement
Conflicts of Interest
References
- White, S.R.; Sottos, N.R.; Geubelle, P.H.; Moore, J.S.; Kessler, M.R.; Sriram, S.R.; Brown, E.N.; Viswanathan, S. Autonomic healing of polymer composites. Nature 2001, 409, 794–797. [Google Scholar] [CrossRef] [PubMed]
- Davis, D.A.; Hamilton, A.; Yang, J.L.; Cremar, L.D.; Van Gough, D.; Potisek, S.L.; Ong, M.T.; Braun, P.V.; Martinez, T.J.; White, S.R.; et al. Force-induced activation of covalent bonds in mechanoresponsive polymeric materials. Nature 2009, 459, 68–72. [Google Scholar] [CrossRef] [PubMed]
- White, S.R.; Moore, J.S.; Sottos, N.R.; Krull, B.P.; Santa Cruz, W.A.; Gergely, R.C.R. Restoration of Large Damage Volumes in Polymers. Science 2014, 344, 620–623. [Google Scholar] [CrossRef] [PubMed]
- Li, W.; Matthews, C.C.; Yang, K.; Odarczenko, M.T.; White, S.R.; Sottos, N.R. Damage Detection: Autonomous Indication of Mechanical Damage in Polymeric Coatings. Adv. Mater. 2016, 28, 2275. [Google Scholar] [CrossRef]
- Patrick, J.F.; Robb, M.J.; Sottos, N.R.; Moore, J.S.; White, S.R. Polymers with autonomous life-cycle control. Nature 2016, 540, 363–370. [Google Scholar] [CrossRef]
- Zhang, H.; Zhang, X.; Bao, C.; Li, X.; Duan, F.; Friedrich, K.; Yang, J. Skin-Inspired, Fully Autonomous Self-Warning and Self-Repairing Polymeric Material under Damaging Events. Chem. Mater. 2019, 31, 2611–2618. [Google Scholar] [CrossRef]
- Cohades, A.; Branfoot, C.; Rae, S.; Bond, I.; Michaud, V. Progress in Self-Healing Fiber-Reinforced Polymer Composites. Adv. Mater. Interfaces 2018, 5, 20. [Google Scholar] [CrossRef]
- Kanu, N.J.; Gupta, E.; Vates, U.K.; Singh, G.K. Self-healing composites: A state-of-the-art review. Compos. Pt. A Appl. Sci. Manuf. 2019, 121, 474–486. [Google Scholar] [CrossRef]
- Christopher, J.E.P.; Sultan, M.T.H.; Selvan, C.P.; Irulappasamy, S.; Mustapha, F.; Basri, A.A.; Safri, S.N.A. Manufacturing challenges in self-healing technology for polymer composites—A review. J. Mater. Res. Technol. JMRT 2020, 9, 7370–7379. [Google Scholar] [CrossRef]
- Zhang, H.; Zhang, X.; Bao, C.; Li, X.; Sun, D.; Duan, F.; Friedrich, K.; Yang, J. Direct microencapsulation of pure polyamine by integrating microfluidic emulsion and interfacial polymerization for practical self-healing materials. J. Mater. Chem. A 2018, 6, 24092–24099. [Google Scholar] [CrossRef]
- Wu, D.Y.; Meure, S.; Solomon, D. Self-healing polymeric materials: A review of recent developments. Prog. Polym. Sci. 2008, 33, 479–522. [Google Scholar] [CrossRef]
- Zhu, D.Y.; Rong, M.Z.; Zhang, M.Q. Self-healing polymeric materials based on microencapsulated healing agents: From design to preparation. Prog. Polym. Sci. 2015, 49–50, 175–220. [Google Scholar] [CrossRef]
- Ilyaei, S.; Sourki, R.; Akbari, Y.H.A. Capsule-based healing systems in composite materials: A review. Crit. Rev. Solid State Mater. Sci. 2020. [Google Scholar] [CrossRef]
- Brown, E.N.; Sottos, N.R.; White, S.R. Fracture testing of a self-healing polymer composite. Exp. Mech. 2002, 42, 372–379. [Google Scholar] [CrossRef]
- Rule, J.D.; Sottos, N.R.; White, S.R. Effect of microcapsule size on the performance of self-healing polymers. Polymer 2007, 48, 3520–3529. [Google Scholar] [CrossRef]
- Zhang, H.; Yang, J. Development of self-healing polymers via amine–epoxy chemistry: II. Systematic evaluation of self-healing performance. Smart. Mater. Struct. 2014, 23, 065004. [Google Scholar] [CrossRef]
- Kosarli, M.; Bekas, D.G.; Tsirka, K.; Baltzis, D.; Vaimakis-Tsogkas, D.Τ.; Orfanidis, S.; Papavassiliou, G.; Paipetis, A.S. Microcapsule-based self-healing materials: Healing efficiency and toughness reduction vs. capsule size. Compos. Pt. B Eng. 2019, 171, 78–86. [Google Scholar] [CrossRef]
- Yin, T.; Zhou, L.; Rong, M.Z.; Zhang, M.Q. Self-healing woven glass fabric/epoxy composites with the healant consisting of micro-encapsulated epoxy and latent curing agent. Smart. Mater. Struct. 2008, 17, 015019. [Google Scholar] [CrossRef]
- Yuan, Y.C.; Ye, Y.; Rong, M.Z.; Chen, H.; Wu, J.; Zhang, M.Q.; Qin, S.X.; Yang, G.C. Self-healing of low-velocity impact damage in glass fabric/epoxy composites using an epoxy–mercaptan healing agent. Smart Mater. Struct. 2011, 20, 015024. [Google Scholar] [CrossRef]
- Wei, H.G.; Wang, Y.R.; Guo, J.; Shen, N.Z.; Jiang, D.W.; Zhang, X.; Yan, X.R.; Zhu, J.H.; Wang, Q.; Shao, L.; et al. Advanced micro/nanocapsules for self-healing smart anticorrosion coatings. J. Mater. Chem. A 2015, 3, 469–480. [Google Scholar] [CrossRef]
- Shchukin, D.G.; Möhwald, H. Self-Repairing Coatings Containing Active Nanoreservoirs. Small 2007, 3, 926–943. [Google Scholar] [CrossRef]
- Blaiszik, B.J.; Sottos, N.R.; White, S.R. Nanocapsules for self-healing materials. Compos. Sci. Technol. 2008, 68, 978–986. [Google Scholar] [CrossRef]
- Samadzadeh, M.; Boura, S.H.; Peikari, M.; Kasiriha, S.M.; Ashrafi, A. A review on self-healing coatings based on micro/nanocapsules. Prog. Org. Coat. 2010, 68, 159–164. [Google Scholar] [CrossRef]
- McIlroy, D.A.; Blaiszik, B.J.; Caruso, M.M.; White, S.R.; Moore, J.S.; Sottos, N.R. Microencapsulation of a Reactive Liquid-Phase Amine for Self-Healing Epoxy Composites. Macromolecules 2010, 43, 1855–1859. [Google Scholar] [CrossRef]
- Jin, H.H.; Mangun, C.L.; Stradley, D.S.; Moore, J.S.; Sottos, N.R.; White, S.R. Self-healing thermoset using encapsulated epoxy-amine healing chemistry. Polymer 2012, 53, 581–587. [Google Scholar] [CrossRef]
- Li, Q.; Siddaramaiah; Kim, N.H.; Hui, D.; Lee, J.H. Effects of dual component microcapsules of resin and curing agent on the self-healing efficiency of epoxy. Compos. Pt. B Eng. 2013, 55, 79–85. [Google Scholar] [CrossRef]
- Zhang, H.; Yang, J. Etched glass bubbles as robust micro-containers for self-healing materials. J. Mater. Chem. A 2013, 1, 12715–12720. [Google Scholar] [CrossRef]
- Jin, H.H.; Mangun, C.L.; Griffin, A.S.; Moore, J.S.; Sottos, N.R.; White, S.R. Thermally Stable Autonomic Healing in Epoxy using a Dual-Microcapsule System. Adv. Mater. 2014, 26, 282–287. [Google Scholar] [CrossRef]
- Neuser, S.; Chen, P.W.; Studart, A.R.; Michaud, V. Fracture Toughness Healing in Epoxy Containing Both Epoxy and Amine Loaded Capsules. Adv. Eng. Mater. 2014, 16, 581–587. [Google Scholar] [CrossRef]
- Zhang, H.; Wang, P.; Yang, J. Self-healing epoxy via epoxy–amine chemistry in dual hollow glass bubbles. Compos. Sci. Technol. 2014, 94, 23–29. [Google Scholar] [CrossRef]
- Yi, H.; Deng, Y.H.; Wang, C.Y. Pickering emulsion-based fabrication of epoxy and amine microcapsules for dual core self-healing coating. Compos. Sci. Technol. 2016, 133, 51–59. [Google Scholar] [CrossRef]
- Hu, H.; Zhang, L.; Yu, R.; Yuan, L.; Yang, Y.; He, X.; Wang, J.; Li, Z. Microencapsulation of ethylenediamine and its application in binary self-healing system using dual-microcapsule. Mater. Des. 2020, 189, 108535. [Google Scholar] [CrossRef]
- Li, Q.; Mishra, A.K.; Kim, N.H.; Kuila, T.; Lau, K.-t.; Lee, J.H. Effects of processing conditions of poly(methylmethacrylate) encapsulated liquid curing agent on the properties of self-healing composites. Compos. Pt. B Eng. 2013, 49, 6–15. [Google Scholar] [CrossRef]
- Lu, X.; Katz, J.S.; Schmitt, A.K.; Moore, J.S. A Robust Oil-in-Oil Emulsion for the Nonaqueous Encapsulation of Hydrophilic Payloads. J. Am. Chem. Soc. 2018, 140, 3619–3625. [Google Scholar] [CrossRef]
- Yuan, L.Y.; Sun, T.Q.; Hu, H.L.; Yuan, S.X.; Yang, Y.; Wang, R.G.; Lyu, C.X.; Yang, F.; Lyu, X.X. Preparation and Characterization of Microencapsulated Ethylenediamine with Epoxy Resin for Self-healing Composites. Sci. Rep. 2019, 9, 10. [Google Scholar] [CrossRef]
- Zhang, H.; Zhang, X.; Chong, Y.B.; Peng, J.; Fang, X.; Yan, Z.; Liu, B.; Yang, J. Shell Formation Mechanism for Direct Microencapsulation of Nonequilibrium Pure Polyamine Droplet. J. Phys. Chem. C 2019, 123, 22413–22423. [Google Scholar] [CrossRef]
- Yang, Z.; Fang, X.; Peng, J.; Cao, X.; Liao, Z.; Yan, Z.; Jiang, C.; Liu, B.; Zhang, H. Versatility of the microencapsulation technique via integrating microfluidic T-Junction and interfacial polymerization in encapsulating different polyamines. Colloid. Surf. A 2020, 604, 125097. [Google Scholar] [CrossRef]
- Yuan, Y.C.; Ye, X.J.; Rong, M.Z.; Zhang, M.Q.; Yang, G.C.; Zhao, J.Q. Self-healing epoxy composite with heat-resistant healant. ACS Appl. Mater. Interfaces 2011, 3, 4487–4495. [Google Scholar] [CrossRef]
- Ye, X.J.; Zhu, Y.; Yuan, Y.C.; Song, Y.X.; Yang, G.C.; Rong, M.Z.; Zhang, M.Q. Improvement of fatigue resistance of epoxy composite with microencapsulated epoxy-SbF5 self-healing system. Express Polym. Lett. 2017, 11, 853–862. [Google Scholar] [CrossRef]
- Cao, X.W.; Peng, J.J.; Fang, X.L.; Yang, Z.T.; Liao, Z.C.; Yan, Z.B.; Jiang, C.X.; Liu, B.; Zhang, H. Process regulation for encapsulating pure polyamine via integrating microfluidic T-junction and interfacial polymerization. J. Polym. Sci. 2020, 58, 1810–1824. [Google Scholar] [CrossRef]








| Table | Feeding Rate for Polyamine (V, mL/h) | HMDI (M, g) | Solvent b (S) | Reaction Condition c |
|---|---|---|---|---|
| T1/T2 | 0.6 | 6.0 | C10 | T40-1h_T50-2h_T60-2h |
| T1/T2 | 0.3 | 6.0 | C10 | T40-1h_T50-2h_T60-2h |
| T0/T2 | 0.3 | 6.0 | C10 | T40-1h_T50-2h_T60-2h |
| T1/T2 | 0.3 | 9.0 | C10 | T40-1h_T50-2h_T60-2h |
| T1/T2 | 0.3 | 12.0 | C10 | T40-1h_T50-2h_T60-2h |
| T1/T2 | 0.3 | 9.0 | 50C10–50C16 | T40-1h_T50-2h_T60-2h |
| T1/T2 | 0.3 | 9.0 | C16 | T40-1h_T50-2h_T60-2h |
| T1/T2 | 0.3 | 9.0 | C16-C10 | T50-5h |
| T1/T2 | 0.3 | 9.0 | C16-C10 | T60-5h |
Publisher’s Note: MDPI stays neutral with regard to jurisdictional claims in published maps and institutional affiliations. |
© 2021 by the authors. Licensee MDPI, Basel, Switzerland. This article is an open access article distributed under the terms and conditions of the Creative Commons Attribution (CC BY) license (https://creativecommons.org/licenses/by/4.0/).
Share and Cite
Lai, S.; He, Y.; Xiong, D.; Wang, Y.; Xiao, K.; Yan, Z.; Zhang, H. Fabrication and Property Regulation of Small-Size Polyamine Microcapsules via Integrating Microfluidic T-Junction and Interfacial Polymerization. Materials 2021, 14, 1800. https://doi.org/10.3390/ma14071800
Lai S, He Y, Xiong D, Wang Y, Xiao K, Yan Z, Zhang H. Fabrication and Property Regulation of Small-Size Polyamine Microcapsules via Integrating Microfluidic T-Junction and Interfacial Polymerization. Materials. 2021; 14(7):1800. https://doi.org/10.3390/ma14071800
Chicago/Turabian StyleLai, Shaochuan, Yongjun He, Daoying Xiong, Yao Wang, Kaibin Xiao, Zhibin Yan, and He Zhang. 2021. "Fabrication and Property Regulation of Small-Size Polyamine Microcapsules via Integrating Microfluidic T-Junction and Interfacial Polymerization" Materials 14, no. 7: 1800. https://doi.org/10.3390/ma14071800
APA StyleLai, S., He, Y., Xiong, D., Wang, Y., Xiao, K., Yan, Z., & Zhang, H. (2021). Fabrication and Property Regulation of Small-Size Polyamine Microcapsules via Integrating Microfluidic T-Junction and Interfacial Polymerization. Materials, 14(7), 1800. https://doi.org/10.3390/ma14071800

