Effect of D-Mannitol on the Microstructure and Rheology of Non-Aqueous Carbopol Microgels
Abstract
1. Introduction
2. Materials and Methods
2.1. Chemicals
2.2. Samples Preparation
2.3. Rheological Measurements
2.4. Sequence of Physical Processes (Spp) Analysis
3. Results
3.1. Swollen Particle Size
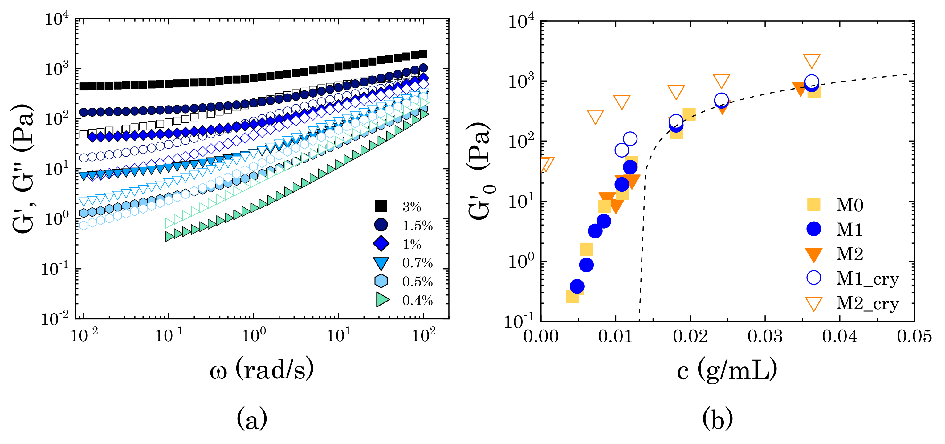
3.2. Linear Viscoelastic Properties
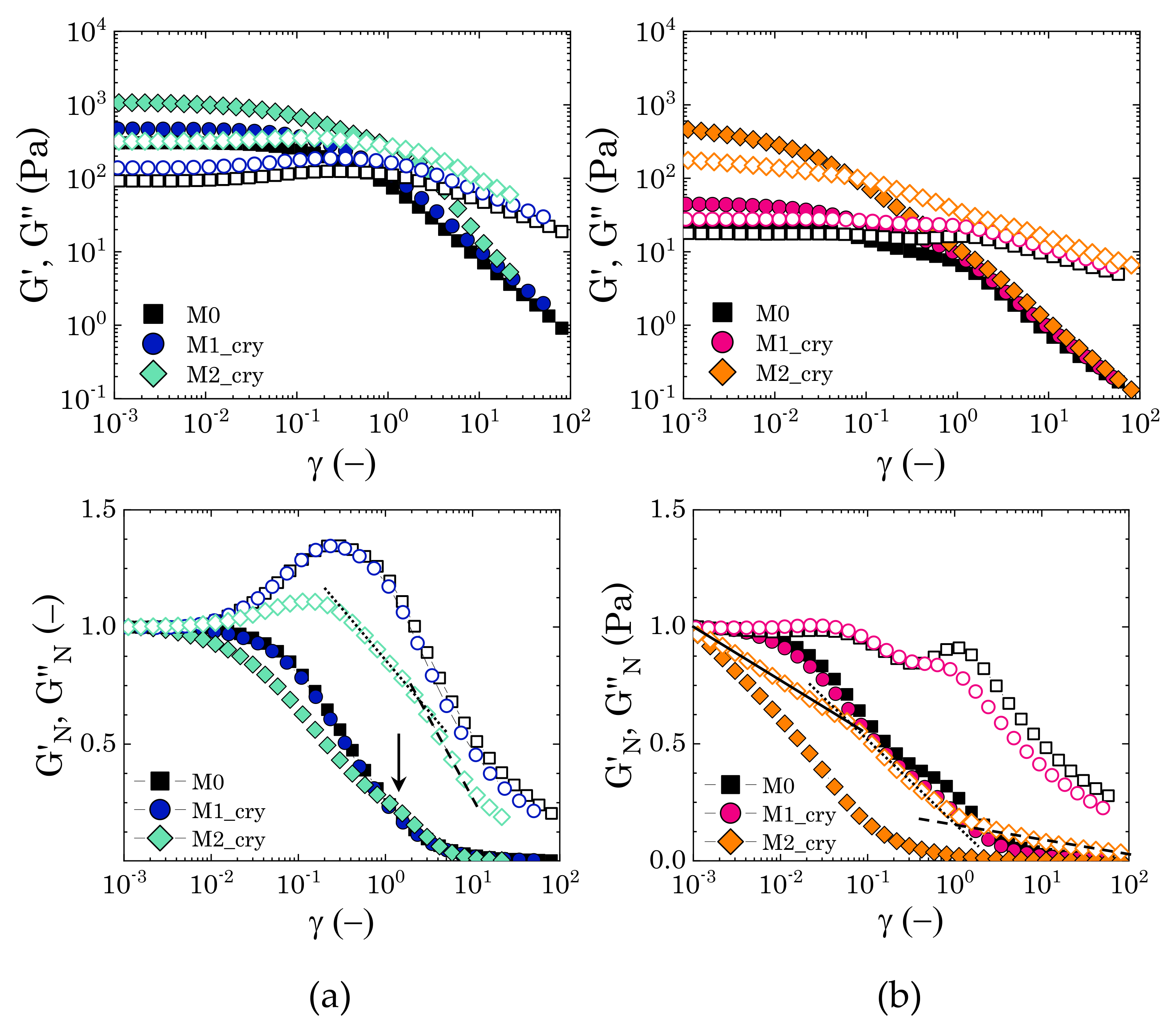
3.3. Nonlinear Viscoelastic Properties
3.3.1. Average Viscoelastic Properties
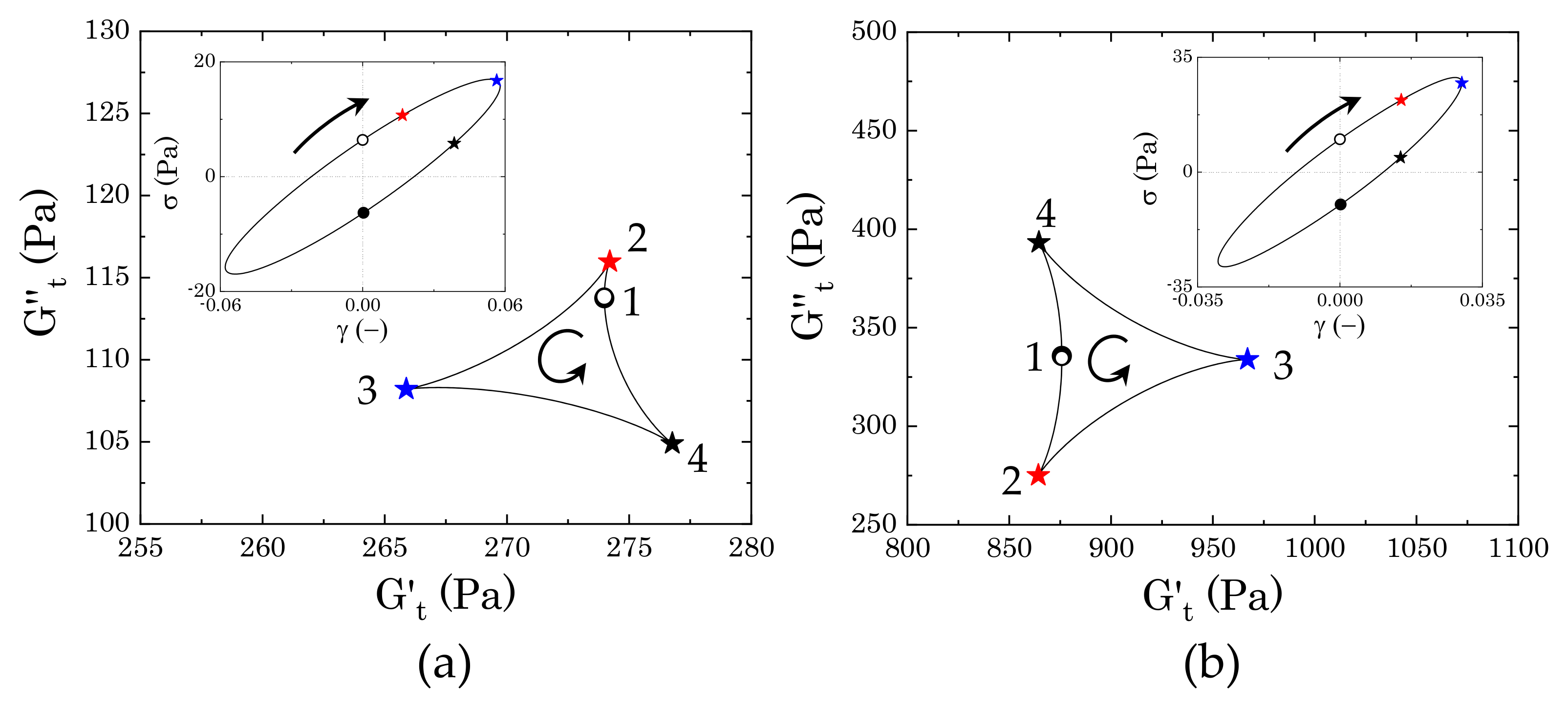
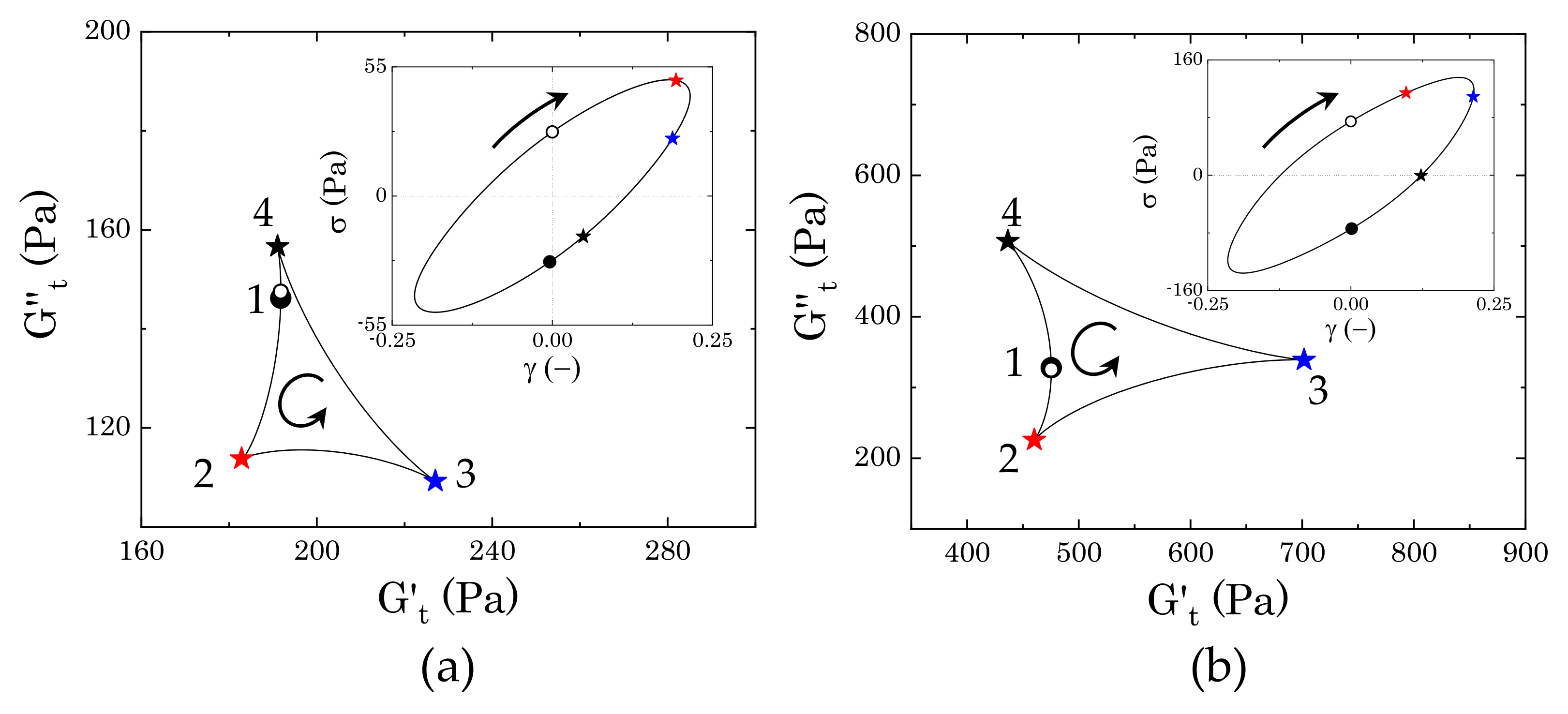
3.3.2. Evolution of the Instantaneous Moduli for
3.3.3. Evolution of the Instantaneous Moduli for
4. Discussion and Conclusions
Supplementary Materials
Author Contributions
Funding
Institutional Review Board Statement
Informed Consent Statement
Acknowledgments
Conflicts of Interest
References
- Lyon, L.A.; Fernandez-Nieves, A. The Polymer/Colloid Duality of Microgel Suspensions. Annu. Rev. Phys. Chem. 2012, 63, 25–43. [Google Scholar] [CrossRef] [PubMed]
- Karg, M.; Pich, A.; Hellweg, T.; Hoare, T.; Lyon, L.A.; Crassous, J.J.; Suzuki, D.; Gumerov, R.A.; Schneider, S.; Potemkin, I.I.; et al. Nanogels and Microgels: From Model Colloids to Applications, Recent Developments, and Future Trends. Langmuir 2019, 35, 6231–6255. [Google Scholar] [CrossRef] [PubMed]
- Smeets, N.M.; Hoare, T. Designing responsive microgels for drug delivery applications. J. Polym. Sci. Part Polym. Chem. 2013, 51, 3027–3043. [Google Scholar] [CrossRef]
- Torres, O.; Murray, B.; Sarkar, A. Design of novel emulsion microgel particles of tuneable size. Food Hydrocoll. 2017, 71, 47–59. [Google Scholar] [CrossRef]
- Boulmedarat, L.; Grossiord, J.L.; Fattal, E.; Bochot, A. Influence of methyl-β-cyclodextrin and liposomes on rheological properties of Carbopol® 974P NF gels. Int. J. Pharm. 2003, 254, 59–64. [Google Scholar] [CrossRef]
- Batool, S.; Zahid, F.; Naz, S.S.; Dar, M.J.; Khan, M.W.; Zeb, A.; Majid, G. Macrophage targeting with the novel carbopol-based miltefosine-loaded transfersomal gel for the treatment of cutaneous leishmaniasis: In vitro and in vivo analyses. Drug Dev. Ind. Pharm. 2021, 1–14. [Google Scholar] [CrossRef]
- Szabó, B.; Süvegh, K.; Zelkó, R. Effect of storage on microstructural changes of Carbopol polymers tracked by the combination of positron annihilation lifetime spectroscopy and FT-IR spectroscopy. Int. J. Pharm. 2011, 416, 160–163. [Google Scholar] [CrossRef]
- Nagarajan, M.K.; Ambuter, H. Polymer Stabilizers for Liquid Detergents. In Liquid Detergents; Lai, K.Y., Ed.; Marcel Dekker, Inc.: New York, NY, USA, 1996. [Google Scholar]
- Donley, G.J.; de Bruyn, J.R.; McKinley, G.H.; Rogers, S.A. Time-resolved dynamics of the yielding transition in soft materials. J. Non Newton. Fluid Mech. 2019, 264, 117–134. [Google Scholar] [CrossRef]
- Divoux, T.; Tamarii, D.; Barentin, C.; Manneville, S. Transient shear banding in a simple yield stress fluid. Phys. Rev. Lett. 2010, 104, 1–4. [Google Scholar] [CrossRef]
- Bonn, D.; Denn, M.M.; Berthier, L.; Divoux, T.; Manneville, S. Yield stress materials in soft condensed matter. Rev. Mod. Phys. 2017, 89, 1–40. [Google Scholar] [CrossRef]
- Cloitre, M.; Borrega, R.; Monti, F.; Leibler, L. Structure and flow of polyelectrolyte microgels: From suspensions to glasses. Comptes Rendus Phys. 2003, 4, 221–230. [Google Scholar] [CrossRef]
- Lee, D.; Gutowski, I.A.; Bailey, A.E.; Rubatat, L.; de Bruyn, J.R.; Frisken, B.J. Investigating the microstructure of a yield-stress fluid by light scattering. Phys. Rev. E 2011, 83, 031401. [Google Scholar] [CrossRef]
- Barry, B.W.; Meyer, M.C. The rheological properties of carbopol gels I. Continuous shear and creep properties of carbopol gels. Int. J. Pharm. 1979, 2, 1–25. [Google Scholar] [CrossRef]
- Piau, J.M. Carbopol gels: Elastoviscoplastic and slippery glasses made of individual swollen sponges. Meso- and macroscopic properties, constitutive equations and scaling laws. J. Non Newton. Fluid Mech. 2007, 144, 1–29. [Google Scholar] [CrossRef]
- Bhattacharjee, T.; Kabb, C.P.; O’Bryan, C.S.; Urueña, J.M.; Sumerlin, B.S.; Sawyer, W.G.; Angelini, T.E. Polyelectrolyte scaling laws for microgel yielding near jamming. Soft Matter 2018, 14, 1559–1570. [Google Scholar] [CrossRef]
- Jofore, B.D.; Erni, P.; Vleminckx, G.; Moldenaers, P.; Clasen, C. Rheology of microgels in single particle confinement. Rheol. Acta 2015, 54, 581–600. [Google Scholar] [CrossRef]
- Oppong, F.K.; de Bruyn, J.R. Microrheology and jamming in a yield-stress fluid. Rheol. Acta 2011, 50, 317–326. [Google Scholar] [CrossRef]
- Shao, Z.; Negi, A.S.; Osuji, C.O. Role of interparticle attraction in the yielding response of microgel suspensions. Soft Matter 2013, 9, 5492–5500. [Google Scholar] [CrossRef]
- Barreiro-Iglesias, R.; Alvarez-Lorenzo, C.; Concheiro, A. Poly(acrylic acid) microgels (carbopol® 934)/surfactant interactions in aqueous media-Part I: Nonionic surfactants. Int. J. Pharm. 2003, 258, 165–177. [Google Scholar] [CrossRef]
- Barreiro-Iglesias, R.; Alvarez-Lorenzo, C.; Concheiro, A. Poly(acrylic acid) microgels (carbopol® 934)/surfactant interactions in aqueous media-Part II: Ionic surfactants. Int. J. Pharm. 2003, 258, 179–191. [Google Scholar] [CrossRef]
- Barreiro-Iglesias, R.; Alvarez-Lorenzo, C.; Concheiro, A. Incorporation of small quantities of surfactants as a way to improve the rheological and diffusional behavior of carbopol gels. J. Control. Release 2001, 77, 59–75. [Google Scholar] [CrossRef]
- Lefrançois, P.; Ibarboure, E.; Payré, B.; Gontier, E.; Le Meins, J.F.; Schatz, C. Insights into Carbopol gel formulations: Microscopy analysis of the microstructure and the influence of polyol additives. J. Appl. Polym. Sci. 2015, 132. [Google Scholar] [CrossRef]
- Migliozzi, S.; Angeli, P.; Mazzei, L. Gelation kinetics of non-aqueous Carbopol dispersions. Colloids Surf. A 2019, 577, 84–95. [Google Scholar] [CrossRef]
- Migliozzi, S.; Meridiano, G.; Angeli, P.; Mazzei, L. Investigation of the swollen state of Carbopol molecules in non-aqueous solvents through rheological characterization. Soft Matter 2020, 16, 9799–9815. [Google Scholar] [CrossRef] [PubMed]
- Ikeda, A.; Berthier, L.; Sollich, P. Disentangling glass and jamming physics in the rheology of soft materials. Soft Matter 2013, 9, 7669–7683. [Google Scholar] [CrossRef]
- Nordstrom, K.N.; Verneuil, E.; Arratia, P.E.; Basu, A.; Zhang, Z.; Yodh, A.G.; Gollub, J.P.; Durian, D.J. Microfluidic rheology of soft colloids above and below jamming. Phys. Rev. Lett. 2010, 105, 175701. [Google Scholar] [CrossRef] [PubMed]
- Seth, J.R.; Mohan, L.; Locatelli-Champagne, C.; Cloitre, M.; Bonnecaze, R.T. A micromechanical model to predict the flow of soft particle glasses. Nat. Mater. 2011, 10, 838–843. [Google Scholar] [CrossRef]
- Rogers, S.A. A sequence of physical processes determined and quantified in LAOS: An instantaneous local 2D/3D approach. J. Rheol. 2012, 56, 1129–1151. [Google Scholar] [CrossRef]
- Rogers, S.A. In search of physical meaning: Defining transient parameters for nonlinear viscoelasticity. Rheol. Acta 2017, 56, 501–525. [Google Scholar] [CrossRef]
- Park, J.D.; Rogers, S.A. Rheological manifestation of microstructural change of colloidal gel under oscillatory shear flow. Phys. Fluids 2020, 32. [Google Scholar] [CrossRef]
- Choi, J.; Nettesheim, F.; Rogers, S.A. The unification of disparate rheological measures in oscillatory shearing. Phys. Fluids 2019, 31. [Google Scholar] [CrossRef]
- Rogers, S.A.; Lettinga, M.P. A sequence of physical processes determined and quantified in large-amplitude oscillatory shear (LAOS): Application to theoretical nonlinear models. J. Rheol. 2012, 56, 1–25. [Google Scholar] [CrossRef]
- Rowe, R.C.; Sheskey, P.J.; Cook, W.G.; Fenton, M.E.; Association, A.P. Handbook of Pharmaceutical Excipients, 7th ed.; APhA/Pharmaceutical Press: London, UK, 2012. [Google Scholar]
- Debord, B.; Lefebvre, C.; Guyot-Hermann, A.M.; Hubert, J.; Bouché, R.; Cuyot, J.C. Study of Different Crystalline forms of Mannitol: Comparative Behaviour under Compression. Drug Dev. Ind. Pharm. 1987, 13, 1533–1546. [Google Scholar] [CrossRef]
- Cornel, J.; Kidambi, P.; Mazzotti, M. Precipitation and transformation of the three polymorphs of d-mannitol. Ind. Eng. Chem. Res. 2010, 49, 5854–5862. [Google Scholar] [CrossRef]
- Zhu, M.; Yu, L. Polyamorphism of D-mannitol. J. Chem. Phys. 2017, 146. [Google Scholar] [CrossRef]
- De Souza Mendes, P.R.; Alicke, A.A.; Thompson, R.L. Parallel-plate geometry correction for transient rheometric experiments. Appl. Rheol. 2014, 24, 1–10. [Google Scholar] [CrossRef]
- Wilhelm, M.; Maring, D.; Spiess, H.W. Fourier-transform rheology. Rheol. Acta 1998, 37, 399–405. [Google Scholar] [CrossRef]
- Ewoldt, R.H.; Hosoi, A.E.; McKinley, G.H. New measures for characterizing nonlinear viscoelasticity in large amplitude oscillatory shear. J. Rheol. 2008, 52, 1427–1458. [Google Scholar] [CrossRef]
- Cho, K.S.; Hyun, K.; Ahn, K.H.; Lee, S.J. A geometrical interpretation of large amplitude oscillatory shear response. J. Rheol. 2005, 49, 747–758. [Google Scholar] [CrossRef]
- Klein, C.O.; Spiess, H.W.; Calin, A.; Balan, C.; Wilhelm, M. Separation of the nonlinear oscillatory response into a superposition of linear, strain hardening, strain softening, and wall slip response. Macromolecules 2007, 40, 4250–4259. [Google Scholar] [CrossRef]
- Hyun, K.; Wilhelm, M.; Klein, C.O.; Cho, K.S.; Nam, J.G.; Ahn, K.H.; Lee, S.J.; Ewoldt, R.H.; McKinley, G.H. A review of nonlinear oscillatory shear tests: Analysis and application of large amplitude oscillatory shear (LAOS). Prog. Polym. Sci. (Oxf.) 2011, 36, 1697–1753. [Google Scholar] [CrossRef]
- Lee, C.W.; Rogers, S.A. A sequence of physical processes quantified in LAOS by continuous local measures. Korea Aust. Rheol. J. 2017, 29, 269–279. [Google Scholar] [CrossRef]
- Mooney, M. The viscosity of concentrated suspension of spherical particles. J. Colloid Sci. 1951, 6, 162–170. [Google Scholar] [CrossRef]
- Sollich, P. Rheological constitutive equation for a model of soft glassy materials. Phys. Rev. E Stat. Phys. Plasmas Fluids Relat. Interdiscip. Top. 1998, 58, 738–759. [Google Scholar] [CrossRef]
- Vlassopoulos, D.; Cloitre, M. Tunable rheology of dense soft deformable colloids. Curr. Opin. Colloid Interface Sci. 2014, 19, 561–574. [Google Scholar] [CrossRef]
- Menut, P.; Seiffert, S.; Sprakel, J.; Weitz, D.A. Does size matter? Elasticity of compressed suspensions of colloidal- and granular-scale microgels. Soft Matter 2012, 8, 156–164. [Google Scholar] [CrossRef]
- Di Lorenzo, F.; Seiffert, S. Particulate and continuum mechanics of microgel pastes: Effect and non-effect of compositional heterogeneity. Colloid Polym. Sci. 2013, 291, 2927–2933. [Google Scholar] [CrossRef]
- Conley, G.M.; Zhang, C.; Aebischer, P.; Harden, J.L.; Scheffold, F. Relationship between rheology and structure of interpenetrating, deforming and compressing microgels. Nat. Commun. 2019, 10, 1–8. [Google Scholar] [CrossRef]
- Sessoms, D.A.; Bischofberger, I.; Cipelletti, L.; Trappe, V. Multiple dynamic regimes in concentrated microgel systems. Philos. Trans. R. Soc. Math. Phys. Eng. Sci. 2009, 367, 5013–5032. [Google Scholar] [CrossRef][Green Version]
- Cloitre, M.; Borrega, R.; Monti, F.; Leibler, L. Glassy dynamics and flow properties of soft colloidal pastes. Phys. Rev. Lett. 2003, 90, 068303. [Google Scholar] [CrossRef]
- Scheffold, F.; Díaz-Leyva, P.; Reufer, M.; Braham, N.B.; Lynch, I.; Harden, J.L. Brushlike interactions between thermoresponsive microgel particles. Phys. Rev. Lett. 2010, 104, 128304. [Google Scholar] [CrossRef] [PubMed]
- Pellet, C.; Cloitre, M. The glass and jamming transitions of soft polyelectrolyte microgel suspensions. Soft Matter 2016, 12, 3710–3720. [Google Scholar] [CrossRef] [PubMed]
- Prasad, V.; Trappe, V.; Dinsmore, A.D.; Segre, P.N.; Cipelletti, L.; Weitz, D.A. Rideal Lecture: Universal features of the fluid to solid transition for attractive colloidal particles. Faraday Discuss. 2003, 123, 1–12. [Google Scholar] [CrossRef] [PubMed]
- Ghosh, A.; Chaudhary, G.; Kang, J.G.; Braun, P.V.; Ewoldt, R.H.; Schweizer, K.S. Linear and nonlinear rheology and structural relaxation in dense glassy and jammed soft repulsive pNIPAM microgel suspensions. Soft Matter 2019, 15, 1038–1052. [Google Scholar] [CrossRef] [PubMed]
- Seth, J.R.; Cloitre, M.; Bonnecaze, R.T. Elastic properties of soft particle pastes. J. Rheol. 2006, 50, 353–376. [Google Scholar] [CrossRef]
- Di Lorenzo, F.; Seiffert, S. Macro- and microrheology of heterogeneous microgel packings. Macromolecules 2013, 46, 1962–1972. [Google Scholar] [CrossRef]
- Carrier, V.; Petekidis, G. Nonlinear rheology of colloidal glasses of soft thermosensitive microgel particles. J. Rheol. 2009, 53, 245–273. [Google Scholar] [CrossRef]
- Koumakis, N.; Petekidis, G. Two step yielding in attractive colloids: Transition from gels to attractive glasses. Soft Matter 2011, 7, 2456–2470. [Google Scholar] [CrossRef]















Publisher’s Note: MDPI stays neutral with regard to jurisdictional claims in published maps and institutional affiliations. |
© 2021 by the authors. Licensee MDPI, Basel, Switzerland. This article is an open access article distributed under the terms and conditions of the Creative Commons Attribution (CC BY) license (https://creativecommons.org/licenses/by/4.0/).
Share and Cite
Migliozzi, S.; Angeli, P.; Mazzei, L. Effect of D-Mannitol on the Microstructure and Rheology of Non-Aqueous Carbopol Microgels. Materials 2021, 14, 1782. https://doi.org/10.3390/ma14071782
Migliozzi S, Angeli P, Mazzei L. Effect of D-Mannitol on the Microstructure and Rheology of Non-Aqueous Carbopol Microgels. Materials. 2021; 14(7):1782. https://doi.org/10.3390/ma14071782
Chicago/Turabian StyleMigliozzi, Simona, Panagiota Angeli, and Luca Mazzei. 2021. "Effect of D-Mannitol on the Microstructure and Rheology of Non-Aqueous Carbopol Microgels" Materials 14, no. 7: 1782. https://doi.org/10.3390/ma14071782
APA StyleMigliozzi, S., Angeli, P., & Mazzei, L. (2021). Effect of D-Mannitol on the Microstructure and Rheology of Non-Aqueous Carbopol Microgels. Materials, 14(7), 1782. https://doi.org/10.3390/ma14071782

