Effect of Acetylated SEBS/PP for Potential HVDC Cable Insulation
Abstract
1. Introduction
2. Materials and Methods
2.1. Materials
2.2. Characterization and Testing Scheme
3. Results and Discussion
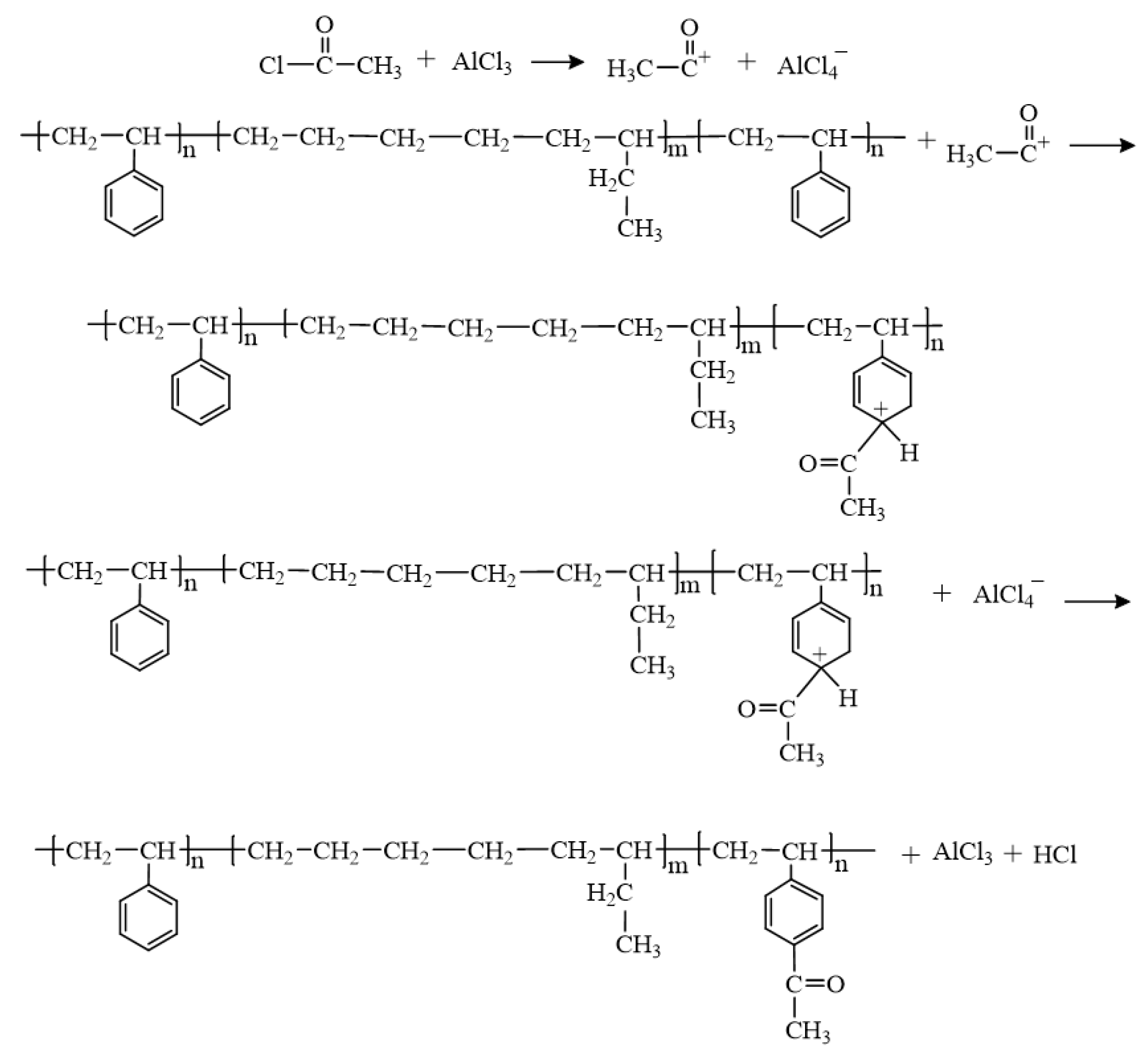
3.1. Structural Characterization
3.2. Thermal Stability
3.3. Stress–Strain Curve
3.4. DC Breakdown Strength
3.5. Space Charge Characteristics
3.6. Electrical Conductivity
4. Conclusions
Author Contributions
Funding
Institutional Review Board Statement
Informed Consent Statement
Data Availability Statement
Acknowledgments
Conflicts of Interest
References
- Ghorbani, H.; Jeroense, M.; Olsson, C.O.; Saltzer, M. HVDC cable systems—Highlighting extruded technology. IEEE Trans. Power Del. 2014, 29, 414–421. [Google Scholar] [CrossRef]
- Logakis, E.; Herrmann, L.; Christen, T. Electric characterization of LDPE films with TSC and dielectric spectroscopy. IEEE Trans. Dielectr. Electr. Insul. 2016, 23, 142–148. [Google Scholar] [CrossRef]
- Liu, R. Long-distance DC electrical power transmission. IEEE Electr. Insul. Mag. 2013, 29, 37–46. [Google Scholar] [CrossRef]
- Barber, K.; Alexander, G. Insulation of electrical cables over the past 50 years. IEEE Electr. Insul. Mag. 2013, 29, 27–32. [Google Scholar] [CrossRef]
- Ou, M.; Xue, Y.; Zhang, X. Iterative DC Optimal power flow considering transmission network loss. Electr. Power Compon. Syst. 2016, 44, 955–965. [Google Scholar] [CrossRef]
- Zhou, Y.; He, J.; Hu, J.; Huang, X.; Jiang, P. Evaluation of polypropylene/polyolefin elastomer blends for potential recyclable HVDC cable insulation applications. IEEE Trans. Dielectr. Electr. Insul. 2015, 22, 673–681. [Google Scholar] [CrossRef]
- Silva, A.N.; Tavares, M.I.B.; Politano, D.P.; Coutinho, F.M.B.; Rocha, M. Polymer Blends Based on Polyolefin Elastomer and Polypropylene. J. Appl. Polym. Sci. 1997, 66, 2005–2014. [Google Scholar] [CrossRef]
- Hosier, I.L.; Vaughan, A.S.; Swingler, S.G. An investigation of the potential of polypropylene and its blends for use in recyclable high voltage cable insulation systems. J. Mater. Sci. 2011, 46, 4058–4070. [Google Scholar] [CrossRef]
- Montanari, G.C. Bringing an Insulation to Failure: The Role of Space Charge. IEEE Trans. Dielectr. Electr. Insul. 2011, 18, 339–364. [Google Scholar] [CrossRef]
- Du, B.; Li, Z.; Yang, Z.; Jin, L. Application and research progress of HVDC XLPE cables. High Volt. Eng. 2017, 43, 344–354. [Google Scholar]
- He, J.; Peng, L.; Zhou, Y. Research progress of environment-friendly HVDC power cable insulation materials. High Volt. Eng. 2017, 43, 337–343. [Google Scholar]
- Wang, S.J.; Zha, J.W.; Li, W.K.; Dang, Z.M. Distinctive electrical properties in sandwich-structured Al2O3/low density polyethylene nanocomposites. Appl. Phys. Lett. 2016, 108, 1–5. [Google Scholar] [CrossRef]
- Li, S.; Min, D.; Wang, W. Linking traps to dielectric breakdown through charge dynamics for polymer nanocomposites. IEEE Trans. Dielectr. Electr. Insul. 2016, 23, 2777–2785. [Google Scholar] [CrossRef]
- Jiang, D.; Wang, Y.; Li, B.; Sun, C.; Wu, Z.; Yan, H.; Xing, L.; Qi, S.; Li, Y.; Liu, H.; et al. Flexible sandwich structural strain sensor based on silver nanowires decorated with self-healing substrate. Macromol. Mater. Eng. 2019, 304, 74–82. [Google Scholar] [CrossRef]
- Zhou, Y.; Hu, J.; Dang, B.; He, J. Mechanism of highly improved electrical properties in polypropylene by chemical modification of grafting maleic anhydride. J. Phys. D Appl. Phys. 2016, 49, 415301. [Google Scholar] [CrossRef]
- Zha, J.W.; Wang, J.F.; Wang, S.J.; Qin, Q.; Dang, Z.M. Effect of modified ZnO on electrical properties of PP/SEBS nanocomposites for HVDC cables. IEEE Trans. Dielectr. Electr. Insul. 2018, 25, 2358–2365. [Google Scholar] [CrossRef]
- Chi, X.; Cheng, L.; Liu, W.; Zhang, X.; Li, S. Characterization of Polypropylene Modified by Blending Elastomer and Nano-Silica. Materials 2018, 11, 1321. [Google Scholar] [CrossRef]
- Zha, J.W.; Wu, Y.H.; Wang, S.J.; Wu, D.H.; Yan, H.D.; Dang, Z.M. Improvement of space charge suppression of polypropylene for potential application in HVDC cables. IEEE Trans. Dielectr. Electr. Insul. 2016, 23, 2337–2343. [Google Scholar] [CrossRef]
- McMahon, E.J. A tree growth inhibiting insulation for power cable. IEEE Trans. Electr. Insul. 1981, 16, 304–318. [Google Scholar] [CrossRef]
- Yamano, Y.; Endoh, H. Increase in breakdown strength of PE film by additives of azocompounds. IEEE Trans. Dielectr. Electr. Insul. 1998, 5, 270–275. [Google Scholar] [CrossRef]
- Englund, V.; Huuva, R.; Gubanski, S.M.; Hjertberg, T. High efficiency voltage stabilizers for XLPE cable insulation. Polym. Degrad. Stab. 2009, 94, 823–833. [Google Scholar] [CrossRef]
- Eichhorn, R.M. Treeing in solid extruded electrical insulation. IEEE Trans. Dielectr. Electr. Insul. 1976, 12, 2–18. [Google Scholar]
- Li, C.; Han, B.; Zhang, H.; Zhao, H.; Zhang, C. Effect of acetophenone on the breakdown strength of polyethylene. In Proceedings of the 2015 IEEE 11th International Conference on the Properties and Applications of Dielectric Materials, Sydney, Australia, 19–22 July 2015. [Google Scholar]
- Hussin, N.; Chen, G. Analysis of space charge formation in LDPE in the presence of crosslinking byproducts. IEEE Trans. Dielectr. Electr. Insul. 2012, 19, 126–133. [Google Scholar] [CrossRef]
- Zhang, H.; Shang, Y.; Li, M.; Zhao, H. Theoretical study on the radical reaction mechanism in the cross-linking process of polyethylene. RSC Adv. 2015, 5, 90343–90353. [Google Scholar] [CrossRef]
- Zhang, H.; Shang, Y.; Zhao, H.; Wang, X. Theoretical study on the reaction of maleic anhydride in the UV radiation cross-linking process of polyethylene. Polymer 2017, 133, 232–239. [Google Scholar] [CrossRef]
- Dong, W.; Wang, X.; Tian, B.; Liu, Y.; Jiang, Z. Use of Grafted Voltage Stabilizer to Enhance Dielectric Strength of Cross-linked Polyethylene. Polymers 2019, 11, 176. [Google Scholar] [CrossRef]
- Yamano, Y. Roles of polycyclic compounds in increasing breakdown strength of LDPE film. IEEE Trans. Dielectr. Electr. Insul. 2006, 13, 773–781. [Google Scholar] [CrossRef]
- Ranade, S.V.; Richard, R.E.; Helmus, M.N. Styrenic block copolymers for biomaterial and drug delivery applications. Acta Biomater. 2005, 1, 137–144. [Google Scholar] [CrossRef]
- Luzinov, I.; Julthongpiput, D.; Bloom, P.D.; Sheares, V.V.; Tsukruk, V.V. Bilayer nanocomposite molecular coatings from elastomeric/rigid polymers, fabrication, morphology and micromechanical properties. Macromol. Symp. 2001, 167, 227–242. [Google Scholar] [CrossRef]
- Sipkens, K. SEBS-based compounds. Med Device Technol. 2000, 11, 8–10. [Google Scholar] [PubMed]
- Dong, W.; Wang, X.; Jiang, Z.; Tian, B.; Liu, Y.; Yang, J.; Zhou, W. Acetylated SEBS Enhanced DC Insulation Performances of Polyethylene. Polymers 2019, 11, 1033. [Google Scholar] [CrossRef] [PubMed]
- Spells, S.J.; Hill, M.J. Morphological changes on annealing polyethylene single crystals. Polymer 1991, 32, 2716–2723. [Google Scholar] [CrossRef]
- Xu, H.; Du, B.; Li, J.; Li, Z. Mechanical and Space Charge Properties of Polypropylene/Elastomer Blends. High Volt. Eng. 2019, 45, 3214–3220. [Google Scholar]










| Sample | Elongation at Break (%) | Tensile Strength (MPa) |
|---|---|---|
| PP | 392.6 ± 38.4 | 28.9 ± 2.2 |
| SEBS/PP | 619.8 ± 39.2 | 47.2 ± 1.8 |
| 4.6%Ac-SEBS/PP | 593.0 ± 32.3 | 36.5 ± 1.7 |
| 12%Ac-SEBS/PP | 549.3 ± 34.4 | 43.0 ± 2.0 |
Publisher’s Note: MDPI stays neutral with regard to jurisdictional claims in published maps and institutional affiliations. |
© 2021 by the authors. Licensee MDPI, Basel, Switzerland. This article is an open access article distributed under the terms and conditions of the Creative Commons Attribution (CC BY) license (http://creativecommons.org/licenses/by/4.0/).
Share and Cite
Zhang, P.; Zhang, Y.; Wang, X.; Yang, J.; Han, W. Effect of Acetylated SEBS/PP for Potential HVDC Cable Insulation. Materials 2021, 14, 1596. https://doi.org/10.3390/ma14071596
Zhang P, Zhang Y, Wang X, Yang J, Han W. Effect of Acetylated SEBS/PP for Potential HVDC Cable Insulation. Materials. 2021; 14(7):1596. https://doi.org/10.3390/ma14071596
Chicago/Turabian StyleZhang, Peng, Yongqi Zhang, Xuan Wang, Jiaming Yang, and Wenbin Han. 2021. "Effect of Acetylated SEBS/PP for Potential HVDC Cable Insulation" Materials 14, no. 7: 1596. https://doi.org/10.3390/ma14071596
APA StyleZhang, P., Zhang, Y., Wang, X., Yang, J., & Han, W. (2021). Effect of Acetylated SEBS/PP for Potential HVDC Cable Insulation. Materials, 14(7), 1596. https://doi.org/10.3390/ma14071596
