Model of Metal Microstructure Evolution Considering Shear Effect and Its Simulation Application in Rolling of Heavy Cylinders
Abstract
1. Introduction
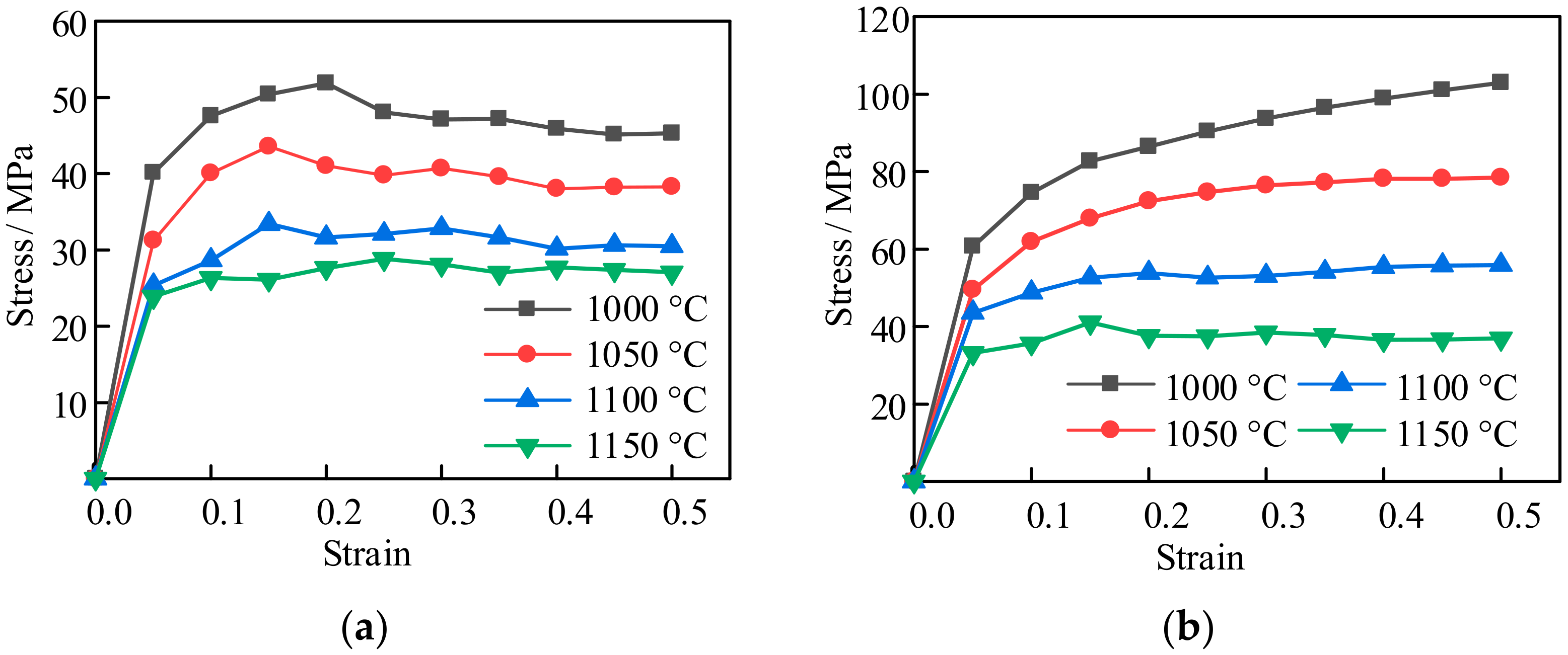
2. Experiment Research
2.1. Experimental Scheme
2.2. Analysis and Discussion of Experimental Results
3. Establishment of Mathematical Model for Dynamic Recrystallization
3.1. Study of the Dynamic Recrystallization Kinetic Model
3.2. Study of the Grain Size Model of Dynamic Recrystallization
4. Microstructure Evolution Simulation in Heavy Cylinder Rolling Process
4.1. Program Feasibility Verification
- (1)
- The grain distribution of the specimen was obviously divided and evenly distributed, and dynamic recrystallization occurred in most sections.
- (2)
- The grain size at the bottom was larger than that in the other parts of specimen, and the grain size in the core was the smallest.
- (3)
- The grain size and the range of the core region became larger with the increase in temperature.
4.2. Simulation of Microstructure Evolution in the Rolling Process of a Heavy Cylinder
- (1)
- In the whole rolling process, the recrystallization volume fraction was large and evenly distributed on the inside and outside of the cylinder due to direct contact with the roll, and the core of that was small.
- (2)
- When shear effect was not considered, the dynamic recrystallization volume fraction reached 0.5323% at the end of first pass rolling. At the end of the second pass rolling, the dynamic recrystallization volume fraction reached 0.8190%. When the shear effect was considered, the dynamic recrystallization volume fraction reached 0.6764% at the end of first pass rolling and 0.9632% at the end of second pass rolling. This showed that a larger grain refinement range could be achieved by considering the shear effect in the rolling process of heavy cylinder.
- (1)
- In the whole rolling process, the recrystallization grain size was small and evenly distributed on the inside and outside of the cylinder due to direct contact with the roll, and the core was 129 μm, which was the initial grain size of the material. The grain size was smallest at the edge of the cylinder.
- (2)
- When the shear effect was not considered, the dynamic recrystallization grain size reached 73.76 μm at the end of first pass rolling. At the end of the second pass rolling, the dynamic recrystallization grain size reached 70.26 μm. When the shear effect was considered, the dynamic recrystallization grain size reached 73.90 μm at the end of first pass rolling and 63.11 μm at the end of second pass rolling. This showed that the grain could be refined better when considering the shear effect.
5. Analysis of Microstructure Evolution Characteristics in Heavy Cylinder Rolling Process
5.1. Path Setting of Microstructure Evolution
5.2. Microstructure Evolution Characteristics of Axial Paths
- (1)
- The volume fraction on the outside of the cylinder was larger than that on the inside, which indicated that the outside was more prone to dynamic recrystallization.
- (2)
- At the end of first pass, the volume fraction in the core was larger than that at the two ends when the shear effect was not considered. The volume fraction difference between the inside and outside was about 0.07%, while the volume fraction in the core showed few differences with the two ends when the shear effect was considered. The volume fraction difference between the inside and outside was about 0.02%.
- (3)
- At the end of the second pass, the difference of the volume fraction between the core and the two ends decreased when the shear effect was not considered. The volume fraction difference between the inside and outside was less than 0.02%, and the volume fraction in the core was roughly the same as that at the two ends when the shear effect was considered. The volume fraction difference between the inside and outside was about 0.01%.
- (1)
- The grain size on the outside was smaller than that on the inside, which indicated that the grain on the outside was refined better.
- (2)
- At the end of first pass rolling, the grain size in the core was roughly the same as that at both ends when the shear effect was not considered. The grain size difference between the inside and outside was about 15 μm, while the grain size in the core was basically the same as that in the both ends when the shear effect was considered. The difference between the grain size inside and outside was no more than 10 μm.
- (3)
- At the end of the second pass, the grain size difference between the inside and outside was about 10 μm when the shear effect was not considered, and the grain size difference was no more than 8 μm when the shear effect was considered.
5.3. Microstructure Evolution Characteristics of Circumferential Paths
- (1)
- In the rolling process, the volume fraction on the outer section of the cylinder was larger than that on the inner section and more evenly distributed. The abrupt change of volume fraction was due to the biting in and out of the heavy cylinder.
- (2)
- At the end of the first pass, the volume fraction was about 0.60% when the shear effect was not considered, while the volume fraction was about 0.75% when the shear effect was considered;
- (3)
- At the end of the second pass, the volume fraction was about 0.84% when shear effect was not considered, while the volume fraction was about 1.00% when the shear effect was considered.
- (1)
- The grain size on the outer section was smaller than that on the inner section and more evenly distributed. The abrupt change of grain size was due to the biting in and out of the heavy cylinder.
- (2)
- At the end of the first pass, the grain size was about 90 μm when the shear effect was not considered, while the grain size was about 85 μm when the shear effect was considered;
- (3)
- At the end of the second pass, the grain size was about 58 μm when the shear effect was not considered, while the grain size was about 55 μm when the shear effect was considered.
5.4. Microstructure Evolution Characteristics of Radial Paths
- (1)
- The volume fraction inside and outside of the cylinder was larger than that in the core. The change from inside and outside to the core was faster.
- (2)
- At the end of the first pass, the volume fraction was about 0.60% when the shear effect was not considered. While there was no dynamic recrystallization in the core, significant dynamic recrystallization occurred in the inside and outside. The volume fraction was about 0.75% when the shear effect was considered. However, there was slight dynamic recrystallization in the core, and significant dynamic recrystallization occurred in the inside and outside. This result was consistent with that of circumferential evolution.
- (3)
- At the end of the second pass, the volume fraction was about 0.85% and that of the core was about 0.62% when the shear effect was not considered, while dynamic recrystallization occurred over the whole heavy cylinder. The volume fraction was about 1.00% and that of the core was about 0.60% when the shear effect was not considered, and dynamic recrystallization occurred over the whole heavy cylinder. Again, this result was consistent with that of circumferential evolution.
- (1)
- The grain size inside and outside of the cylinder was smaller than that in the core. The change from inside and outside to the core was faster.
- (2)
- At the end of the first pass, the grain size of inside and outside was about 90 μm while the core showed the original grain size of 129 μm when the shear effect was not considered. The grain size inside and outside was about 80 μm and the core was the original grain size of 129 μm when the shear effect was considered. This result was roughly consistent with that of circumferential evolution.
- (3)
- At the end of the second pass, the grain size inside and outside was about 66 μm and the core was the original grain size of 129 μm when the shear effect was not considered. The grain size inside and outside was about 61 μm and the core was the original grain size of 129 μm when the shear effect was considered. This result was not very different from that of circumferential evolution.
6. Conclusions
Author Contributions
Funding
Institutional Review Board Statement
Informed Consent Statement
Data Availability Statement
Conflicts of Interest
References
- Tanaka, Y.; Sato, I. Development of high purity large forgings for nuclear power plants. J. Nucl. Mater. 2011, 417, 854–859. [Google Scholar] [CrossRef]
- Chen, S.W.; Liu, H.M.; Peng, Y.; Sun, J.L. Slab analysis of large cylindrical shell rolling considering mixed friction. J. Mech. Sci. Technol. 2014, 28, 4753–4760. [Google Scholar] [CrossRef]
- Sun, J.L.; Peng, Y.; Zhang, Y.Z.; Chen, S.W.; Han, H. Prediction model of hot rolling force in heavy cylinder rolling. Iron Steel 2015, 50, 64–70. [Google Scholar] [CrossRef]
- Qin, F.C.; Li, Y.T. Grain growth behavior of low carbon steel ring blanks in hot rolling process. Trans. Mater. Heat Treat. 2015, 36, 94–101. [Google Scholar]
- Qin, F.C.; Qi, H.P.; Li, Y.T.; Wei, X.J. Study on microstructure and properties of 42crmo bearing ring in cast-rolling forming and subsequent quenching and tempering. J. Mech. Eng. 2017, 53, 26–33. [Google Scholar] [CrossRef]
- Dai, Q.S.; Ou, S.S.; Deng, Y.L.; Fu, P.; Zhang, J.Q. Microstructure Evolution and Grain Size Model of 5083 Aluminum Alloy During Hot Deformation. Mater. Rev. 2017, 31, 143–146, 152. [Google Scholar] [CrossRef]
- Sun, M.L.; Li, Z.J.; Ding, Z.J.; Qian, D.S. Dynamic recrystallization model and microstructure evolution of 2A14 aluminum alloy under hot deformation. Heat Treat. Met. 2018, 43, 19–23. [Google Scholar] [CrossRef]
- Wang, H.L.; Tian, P. Strength and Deformation characteristics of RCC under dynamic compressive-shear loading. J. Water Resour. Archit. Eng. 2016, 14, 18–24. [Google Scholar] [CrossRef]
- Zhang, F.; Wang, L.; Zhao, J.J.; Lv, T.; Sheng, Q.; Zhou, H.Y.; Hu, D.W.; Yang, F. Evolution of permeability of granite with tensile and compressive-shear cracks. Rock Soil Mech. 2016, 37, 2803–2809. [Google Scholar] [CrossRef]
- Rittel, D.; Lee, S.; Ravichandran, G. A Shear Compression specimen for large strain testing. Exp. Mech. 2002, 42, 58–64. [Google Scholar] [CrossRef]
- Rittel, D.; Ravichandran, G.; Venkert, A. The mechanical response of pure iron at high strain rates under dominant shear. Mater. Sci. Eng. A 2006, 432, 191–201. [Google Scholar] [CrossRef]
- Sang, D.L.; Fu, R.D.; Li, Y.J. Combined deformation behavior and microstructure evolution of 7050 aluminum alloy during hot shear-compression deformation. Mater. Charact. 2016, 122, 154–161. [Google Scholar] [CrossRef]
- Wang, M.; Yang, H.; Guo, L.G.; Sun, Z.C. Simulation of microstructure evolution during hot rolling of large rings of titanium alloy based on 3D-FEM. J. Plast. Eng. 2008, 15, 76–80. [Google Scholar]
- Qin, F.C.; Li, Y.T.; Ju, L.; Qi, H.P. Advances in Control of Microstructure and Properties during Rolling Forming of Ring Parts. J. Mech. Eng. 2016, 52, 42–56. [Google Scholar] [CrossRef]
- Ji, H.C.; Cai, Z.M.; Pei, W.C.; Huang, X.M.; Lu, Y.H. DRX behavior and microstructure evolution of 33Cr23Ni8Mn3N: Experiment and finite element simulation. J. Mater. Res. Technol. 2020, 9, 4340–4355. [Google Scholar] [CrossRef]
- Jiao, Y.J.; Dong, Z.K.; Liang, P.W.; Sun, J.L. Model of metal constitutive relation considering shear effect and its application in rolling of heavy cylinder. Min. Metall. Eng. 2020, 40, 123–127. [Google Scholar] [CrossRef]
- Dehghan, M.A.; Barnett, M.R.; Hodgson, P.D. Recrystallization in AISI 304 austenitic stainless steel during and after hot deformation. Mater. Sci. Eng. A 2008, 485, 664–672. [Google Scholar] [CrossRef]
- Hodgson, P.D.; Gibbs, R.K. A Mathematical model to predict the mechanical properties of hot rolled C-Mn and microalloyed steels. ISIJ Int. 1992, 32, 1329–1338. [Google Scholar] [CrossRef]
- Xu, M.M.; Li, H.B.; Guo, M.; Bai, Y.B. Forming and microstructure evolution of 30CrMoA thin wall cylinders. Forg. Stamp. Technol. 2019, 08, 71–79. [Google Scholar] [CrossRef]




















| C | Si | Cr | Mn | P | Mo | V | Ti | B |
|---|---|---|---|---|---|---|---|---|
| 0.150 | 0.040 | 2.250 | 0.58 | 0.005 | 1.000 | 0.027 | 0.020 | 0.001 |
| Category | Deformation Temperature T (°C) | Strain Rate (s−1) | Grain Size dd (μm) |
|---|---|---|---|
| Common cylindrical specimen | 1050 | 0.001 | 35 |
| 1050 | 0.01 | 12 | |
| 1150 | 0.001 | 91 | |
| 1150 | 0.01 | 34 | |
| SCS | 1050 | 0.001 | 25 |
| 1050 | 0.01 | 8 | |
| 1150 | 0.001 | 70 | |
| 1150 | 0.01 | 24 |
Publisher’s Note: MDPI stays neutral with regard to jurisdictional claims in published maps and institutional affiliations. |
© 2021 by the authors. Licensee MDPI, Basel, Switzerland. This article is an open access article distributed under the terms and conditions of the Creative Commons Attribution (CC BY) license (http://creativecommons.org/licenses/by/4.0/).
Share and Cite
Jiao, Y.; Dong, Z.; Liang, P.; Sun, J. Model of Metal Microstructure Evolution Considering Shear Effect and Its Simulation Application in Rolling of Heavy Cylinders. Materials 2021, 14, 1500. https://doi.org/10.3390/ma14061500
Jiao Y, Dong Z, Liang P, Sun J. Model of Metal Microstructure Evolution Considering Shear Effect and Its Simulation Application in Rolling of Heavy Cylinders. Materials. 2021; 14(6):1500. https://doi.org/10.3390/ma14061500
Chicago/Turabian StyleJiao, Yunjing, Zhikui Dong, Pengwei Liang, and Jianliang Sun. 2021. "Model of Metal Microstructure Evolution Considering Shear Effect and Its Simulation Application in Rolling of Heavy Cylinders" Materials 14, no. 6: 1500. https://doi.org/10.3390/ma14061500
APA StyleJiao, Y., Dong, Z., Liang, P., & Sun, J. (2021). Model of Metal Microstructure Evolution Considering Shear Effect and Its Simulation Application in Rolling of Heavy Cylinders. Materials, 14(6), 1500. https://doi.org/10.3390/ma14061500

