Comparative Evaluation of Cu(acac)2 and {[Cu(μ-O,O′-NO3) (L-arg) (2,2′-bpy)]·NO3}n as Potential Precursors of Electroless Metallization of Laser-Activated Polymer Materials
Abstract
1. Introduction
2. Materials and Methods
2.1. Materials
- Polinitrate(V) complex of [(2-amino-5-guanidine-pentane) (mi-O,O′-nitrate(V)) (2,2’-dipyridile) copper (II)]{[Cu(μ-O,O′-NO3)(L-arg)(2,2′-bpy)]·NO3}n designated as compound A;
- copper (II) acetylacetonate Cu(acac)2 (Sigma Aldrich, Saint Louis, MO, USA), designated as compound B;
- antimony (III) oxide Sb2O3 (particle size < 250 nm) (Sigma Aldrich, Saint Louis, MO, USA);
- polyurethane resin B4060 (Haering, Bubsheim, Germany);
- polycarbonate (PC) Xantar 19 UR (DSM Engineering Plastics, Nancy van Heesewijk, Netherlands);
- autocatalytic copper metallization bath M-Copper-85 (MacDermid- Poland, Łysomice, Poland);
- formaldehyde 36%, HCHO (POCH, Gliwice, Poland), molecular weight 30.03 gmol−1;
- two-compound adhesive Araldite 2011 (Huntsman, Basel, Switzerland).
2.2. Laser Modification and Metallization
2.3. Methodology
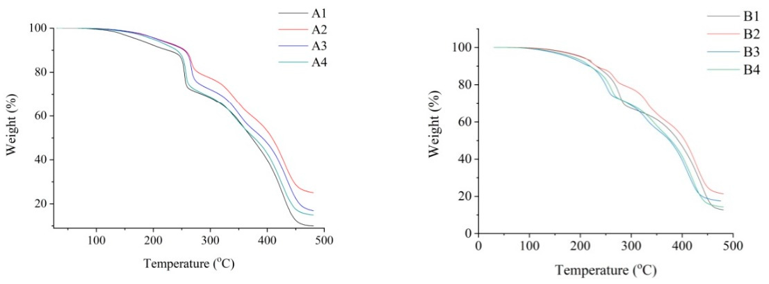
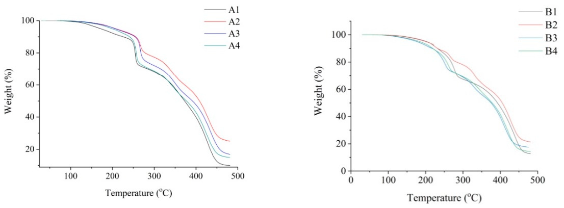
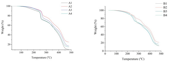
3. Results
4. Conclusions
Author Contributions
Funding
Institutional Review Board Statement
Informed Consent Statement
Data Availability Statement
Conflicts of Interest
References
- Zhang, J.; Feng, J.; Jia, L.; Zhang, H.; Zhang, G.; Sun, S.; Zhou, T. Laser-induced selective metallization on polymer substrates using organocopper for portable electronics. ACS Appl. Mater. Interf. 2019, 11, 13714–13723. [Google Scholar] [CrossRef] [PubMed]
- Li, W.; Cong, S.; Jiu, J.; Nagao, S.; Suganuma, K. Self-Reducible Copper Inks Composed of Copper–Amino Complexes and Preset Submicron Copper Seeds for Thick Conductive Patterns on a Flexible Substrate. J. Mater. Chem. C 2016, 4, 8802–8809. [Google Scholar] [CrossRef]
- Zhang, F.T.; Xu, L.; Chen, J.H.; Zhao, B.; Fu, X.Z.; Sun, R.; Chen, Q.; Wong, C.P. Electroless Deposition Metals on Poly(dimethylsiloxane) with Strong Adhesion As Flexible and Stretchable Conductive Materials. ACS Appl. Mater. Interfaces 2018, 10, 2075–2082. [Google Scholar] [CrossRef] [PubMed]
- Chang, Y.; Yang, C.; Zheng, X.Y.; Wang, D.Y.; Yang, Z.G. Fabrication of Copper Patterns on Flexible Substrate by Patterning-Adsorption-Plating Process. ACS Appl. Mater. Interfaces 2014, 6, 768–772. [Google Scholar] [CrossRef] [PubMed]
- Zhang, Y.; Hansen, H.N.; De Grave, A.; Tang, P.T.; Nielsen, J.S. Selective metallization of polymers using laser induced surface activation (LISA)—characterization and optimization of porous surface topography. Int. J. Adv. Manuf. Technol. 2011, 55, 573–580. [Google Scholar] [CrossRef]
- Chambonnier, M.; Romand, M. Polymer pretreatment for enhanced adhesion of metals deposited by the electroless process. Intl. J. Adhes. Adhes. 2003, 23, 277–285. [Google Scholar] [CrossRef]
- Chambonnier, M.; Romand, M.; Goepfert, Y.; Leonard, D.; Bessueille, F.; Bouadi, M. Palladium (+2) reduction: A key step for the electroless Nimetallization of insulating substrates by a tin-free process. Thin Solid Film. 2006, 515, 1623–1633. [Google Scholar] [CrossRef]
- Zhang, Y.; Kontogeorgis, G.M.M.; Hansen, H.N. An explanation of the selective plating of laser machined surfaces using surface tension components. J. Adhes. Sci. Technol. 2011, 25, 2101–2111. [Google Scholar] [CrossRef]
- Ratautas, K.; Andrulevičius, M.; Jagminienė, A.; Stankevičienė, I.; Norkusa, E.; Račiukaitisa, G. Laser-assisted selective copper deposition on commercial PA6 by catalytic electroless plating—Process and activation mechanism. Appl. Surf. Sci. 2019, 470, 405–410. [Google Scholar] [CrossRef]
- Bachya, B.; Franke, J. Experimental investigation and optimization for the effective parameters in the laser direct structuring process. J. Laser Micro Nanoen. 2015, 10, 202–209. [Google Scholar] [CrossRef][Green Version]
- Yang, J.U.; Cho, J.H.; Yoo, M.J. Selective metallization on copper aluminate composite via laser direct structuring technology. Compos. Part B Eng. 2017, 110, 361–367. [Google Scholar] [CrossRef]
- Żenkiewicz, M.; Moraczewski, K.; Rytlewski, P.; Stepczyńska, M.; Jagodziński, B. Metalizowanie bezprądowe tworzyw polimerowych. Polimery 2017, 62, 163–169. [Google Scholar] [CrossRef]
- Charbonnier, M.; Romand, M.; Goepfert, Y. Ni direct electroless metallization of polymers by a new palladium-free process. Surf. Coat. Technol. 2006, 200, 5028–5036. [Google Scholar] [CrossRef]
- Charbonnier, M.; Romand, M.; Goepfert, Y.; Leonard, D.; Bouadi, M. Copper metallization of polymers by a palladium-free electroless process. Surf. Coat. Technol. 2006, 200, 5478–5486. [Google Scholar] [CrossRef]
- Rytlewski, P.; Żenkiewicz, M.; Tracz, A.; Moraczewski, K.; Mróz, W. Surface morphology studies of laser irradiated and chemically metalized polyamide composites. Surf. Coat. Technol. 2011, 205, 5248–5253. [Google Scholar] [CrossRef]
- Rytlewski, P. Laser induced electroactivity of polyamide composites. Electrochim. Acta 2012, 61, 191–197. [Google Scholar] [CrossRef]
- Rytlewski, P.; Jagodziński, B.; Malinowski, R.; Budner, B.; Moraczewski, K.; Wojciechowska, A.; Augustyn, P. Laser-induced surface activation and electroless metallization of polyurethane coating containing copper(II) L-tyrosine. Appl. Surf. Sci. 2020, 505, 144429. [Google Scholar] [CrossRef]
- Zhang, T.; Zhou, T.; Wen, L. Selective Metallization Induced by Laser Activation: Fabricating Metallized Patterns on Polymer via Metal Oxide Composite. ACS Appl. Mater. Interfaces 2017, 9, 8996–9005. [Google Scholar] [CrossRef] [PubMed]
- Zhang, J.; Zhou, T.; Wen, L.; Zhang, A. Fabricating Metallic Circuit Patterns on Polymer Substrates through Laser and Selective Metallization. ACS Appl. Mater. Interfaces 2016, 8, 33999–34007. [Google Scholar] [CrossRef]
- Gedvilas, M.; Ratautas, K.; Jagminienė, A.; Stankevičienė, I.; Pira, N.L.; Sinopoli, S.; Kacar, E.; Norkus, E.; Račiukaitis, G. Percolation Effect of a Cu Layer on a MWCNT/PP Nanocomposite Substrate after Laser Direct Structuring and Autocatalytic Plating. RSC Adv. 2018, 8, 30305–30309. [Google Scholar] [CrossRef]
- Zhang, J.; Zhou, T.; Xie, Y.; Wen, L. Exposing Metal Oxide with Intrinsic Catalytic Activity by Near-Infrared Pulsed Laser: Laser-Induced Selective Metallization on Polymer Materials. Adv. Mater. Interfaces 2017, 4, 1700937. [Google Scholar] [CrossRef]
- Liu, C.; Lu, Y.; Xiong, Y.; Zhang, Q.; Shi, A.; Wu, D.; Liang, H.; Chen, Y.; Liu, G.; Cao, Z. Recognition of laser-marked quick response codes on polypropylene surfaces. Polym. Degrad. Stab. 2018, 147, 115–122. [Google Scholar] [CrossRef]
- Cheng, J.; Li, H.; Zhou, J.; Cao, Z.; Wu, D.; Liu, C. Influences of diantimony trioxide on laser-marking properties of thermoplastic polyurethane. Polym. Degrad. Stab. 2018, 154, 149–156. [Google Scholar] [CrossRef]
- Wojciechowska, A.; Wojkiewicz, A.; Gągor, A.B.; Późniak, B. Krystaliczna forma kompleksu azotan (V) [((S)-2-amino-5-guanidynopentan-N,O) (μ-O,O′-azotano(V)) (2,2′-dipirydyl) miedzi(II)] i sposób jej wytwarzania. Polska Patent No.227112, 25 May 2017. [Google Scholar]
- Platzman, I.; Brener, R.; Haick, H.; Tannenbaum, R. Oxidation of polycrystalline copper thin films at ambient conditions. J. Phys. Chem. C 2008, 112, 1101–1108. [Google Scholar] [CrossRef]
- D’Halluin, M.; Mabit, T.; Fairley, N.; Fernandez, V.; Gawande, M.; Grognec, E.; Felpin, X. Graphite-supported ultra-small copper nanoparticles—Preparation, characterization and catalysis applications. Carbon 2015, 93, 974–983. [Google Scholar] [CrossRef]
- Baltrusaitis, J.; Mendoza-Sanchez, B.; Fernandez, V.; Veenstra, R.; Dukstiene, N.; Roberts, A.; Fairleyg, N. Generalized molybdenum oxide surface chemical state XPS determination via informed amorphous sample model. Appl. Surf. Sci. 2015, 326, 151–161. [Google Scholar] [CrossRef]
- Rytlewski, P.; Mróz, W.; Budner, B.; Moraczewski, K.; Malinowski, R.; Jagodziński, B. Application of thermogravimetry in the assessment of coatings ability to be metalized. J. Therm. Anal. Calorim. 2017, 127, 381–387. [Google Scholar] [CrossRef]
- Watts, J.; Wolstenholme, J. An Introduction to Surface Analysis by XPS and AES; Wiley: West Sussex, UK, 2003; ISBN 0-470-84712-3. [Google Scholar]









| Coating Symbol | The Content of Compounds in the Coating: (wt%) | ||
|---|---|---|---|
| Complex A | Complex B | Sb2O3 | |
| A1 | 20 | – | – |
| A2 | 10 | – | 10 |
| A3 | 15 | – | 5 |
| A4 | 16.67 | – | 3.33 |
| B1 | – | 20 | – |
| B2 | – | 10 | 10 |
| B3 | – | 15 | 5 |
| B4 | – | 16.67 | 3.33 |
| Cu (at%) | O (at%) | C (at%) | Sb (at%) | O/C | |
|---|---|---|---|---|---|
| A1 | 0.19 | 29.86 | 69.97 | 0.00 | 0.43 |
| A2 | 1.15 | 39.47 | 52.08 | 7.29 | 0.76 |
| A3 | 1.96 | 38.12 | 54.66 | 5.25 | 0.70 |
| A4 | 1.84 | 31.30 | 62.37 | 4.49 | 0.50 |
| B1 | 6.69 | 28.00 | 65.30 | 0.00 | 0.43 |
| B2 | 4.37 | 31.98 | 59.74 | 3.91 | 0.54 |
| B3 | 7.18 | 29.41 | 60.06 | 3.34 | 0.49 |
| B4 | 7.10 | 29.10 | 61.88 | 1.92 | 0.47 |
| Coating | Cu (0) (%) (EB = 932.7 eV) | CuO (%) (EB = 933.9 eV) | Cu2O (%) (EB = 932.4 eV) | Cu(OH)2 (%) (EB = 935.0 eV) |
|---|---|---|---|---|
| A2 | 40.87 | 56.52 | 0.87 | 1.74 |
| A3 | 11.73 | 3.57 | 63.78 | 20.92 |
| B2 | 44.39 | 49.20 | 6.18 | 0.23 |
| B3 | 37.19 | 39.97 | 22.84 | 0.00 |
Publisher’s Note: MDPI stays neutral with regard to jurisdictional claims in published maps and institutional affiliations. |
© 2021 by the authors. Licensee MDPI, Basel, Switzerland. This article is an open access article distributed under the terms and conditions of the Creative Commons Attribution (CC BY) license (http://creativecommons.org/licenses/by/4.0/).
Share and Cite
Jagodziński, B.; Rytlewski, P.; Moraczewski, K. Comparative Evaluation of Cu(acac)2 and {[Cu(μ-O,O′-NO3) (L-arg) (2,2′-bpy)]·NO3}n as Potential Precursors of Electroless Metallization of Laser-Activated Polymer Materials. Materials 2021, 14, 978. https://doi.org/10.3390/ma14040978
Jagodziński B, Rytlewski P, Moraczewski K. Comparative Evaluation of Cu(acac)2 and {[Cu(μ-O,O′-NO3) (L-arg) (2,2′-bpy)]·NO3}n as Potential Precursors of Electroless Metallization of Laser-Activated Polymer Materials. Materials. 2021; 14(4):978. https://doi.org/10.3390/ma14040978
Chicago/Turabian StyleJagodziński, Bartłomiej, Piotr Rytlewski, and Krzysztof Moraczewski. 2021. "Comparative Evaluation of Cu(acac)2 and {[Cu(μ-O,O′-NO3) (L-arg) (2,2′-bpy)]·NO3}n as Potential Precursors of Electroless Metallization of Laser-Activated Polymer Materials" Materials 14, no. 4: 978. https://doi.org/10.3390/ma14040978
APA StyleJagodziński, B., Rytlewski, P., & Moraczewski, K. (2021). Comparative Evaluation of Cu(acac)2 and {[Cu(μ-O,O′-NO3) (L-arg) (2,2′-bpy)]·NO3}n as Potential Precursors of Electroless Metallization of Laser-Activated Polymer Materials. Materials, 14(4), 978. https://doi.org/10.3390/ma14040978

