Development and Properties of New Mullite Based Refractory Grog
Abstract
1. Introduction
2. Materials and Methods
2.1. Raw Materials and Mixes
- Firing in laboratory oven—heating 10 °C/min to the maximum temperatures of 1250, 1450, and 1550 °C, followed by 5 h soaking at the maximum temperature
- One cycle of firing in industrial tunnel kiln: 1480 °C with 5 h soaking
- Two cycles of firing in an industrial kiln with the regime identical as listed above (ad 2)
2.2. Analytical Methods
3. Results and Discussion
3.1. Characterization of Raw Materials
3.2. Tailored Aggregates
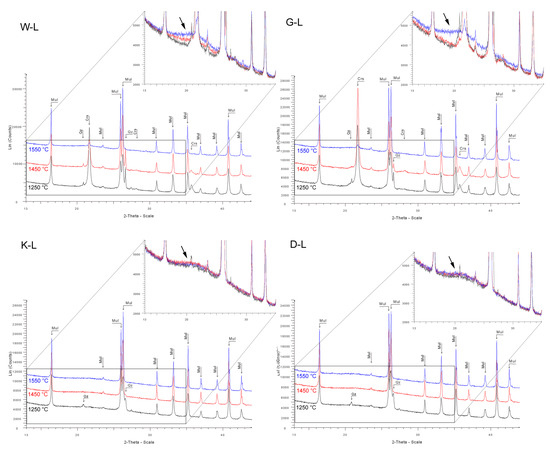
3.2.1. Phase Composition
3.2.2. Mullite Crystal Size Development
3.2.3. Pore Size Analysis
3.2.4. Comparison of Production Expenses of Tailored Aggregate with Commercial Products
4. Conclusions
- Tailoring the aggregates is necessary to achieve positive properties of modern refractory materials.
- Available clays of central European origin and MOTIM mullite by-product were tested as raw materials for mullite grog production.
- In total, two sets of experiments were conducted: laboratory experiments and pilot industrial tests. The observed differences of phase and microstructure properties of analogical formulas were caused by different firing conditions, as well as inevitable inhomogeneity of samples produced in industrial conditions.
- The applicability of clays for refractory aggregates production is limited by contents of alkalis.
- Repeated firing in a tunnel kiln with the maximum temperature of 1550 °C had negative impact on phase composition. The content of mullite slightly decreased in all the four investigated formulas. However, the firing temperature was much higher than the assumed exposition temperatures.
- Phase compositions and microstructures, including open porosity, of the products were compared to those of commercially available mullite-based aggregates. The properties of the aggregate with KN-83 kaolin matrix fired in an industrial tunnel kiln were comparable to the reference material.
- In comparison to similar aggregates available in the market, remarkably cheaper production costs were estimated. Further research on this aspect is needed to clarify the extent of the production savings.
Author Contributions
Funding
Institutional Review Board Statement
Informed Consent Statement
Data Availability Statement
Acknowledgments
Conflicts of Interest
Appendix A





Appendix B


References
- Zhou, N.; Shi, S.; Li, Z. Concepts of engineered refractory aggregates and some practices in castables. In Proceedings of the 15th Biennial Worldwide Congress on Refractories, Santiago, Chile, 26–29 September 2017; pp. 270–273. [Google Scholar]
- Hardens, F.; Kienow, S. Feuerfestkunde—Herstellung, Eigenschaften und Verwendung Feuerfester Baustoffe; Springer: Berlin, Germany, 1960. [Google Scholar]
- Norton, F.H. Refractories, 3rd ed.; McGraw-Hill: New York, NY, USA, 1949. [Google Scholar]
- Fang, H.; Smith, J.D.; Peaslee, K.D. Study of spent refractory waste recycling from metal manufacturers in Missouri. Resour. Conserv. Recycl. 1999, 25, 111–124. [Google Scholar] [CrossRef]
- Liu, Y.; Lian, W.; Su, W.; Luo, J.; Wang, L. Synthesis and mechanical properties of mullite ceramics with coal gangue and wastes refractory as raw materials. Int. J. Appl. Ceram. Technol. 2019, 17, 205–210. [Google Scholar] [CrossRef]
- Nevřivová, L.; Zemánek, D. The Influence of Al2O3 Microparticles on the Pore Structure of Fired Clay. Solid State Phenom. 2019, 296, 197–202. [Google Scholar] [CrossRef]
- Serra, M.F.; Conconi, M.S.; Gauna, M.R.; Suárez, G.; Aglietti, E.F.; Rendtorff, N.M. Mullite (3Al2O3·2SiO2) ceramics obtained by reaction sintering of rice husk ash and alumina, phase evolution, sintering and microstructure. J. Asian Ceram. Soc. 2018, 4, 61–67. [Google Scholar] [CrossRef]
- Refratechnik. Everything Starts with Refractory Technology—Today and Tomorrow. Available online: https://www.refra.com/en/History-of-refractory-technology/ (accessed on 24 November 2020).
- Choo, T.F.; Mohd Salleh, M.A.; Kok, K.Y.; Matori, K.A. A Review on Synthesis of Mullite Ceramics from Industrial Wastes. Recycling 2019, 4, 39. [Google Scholar] [CrossRef]
- Khalil, N.M.; Algamal, Y. Recycling of ceramic wastes for the production of high performance mullite refractories. Silicon 2020, 12, 1557–1565. [Google Scholar] [CrossRef]
- Kocich, R.; Kursa, M.; Szurman, I.; Dlouhý, A. The influence of imposed strain on the development of microstructure and transformation characteristics of Ni–Ti shape memory alloys. J. Alloy. Compd. 2011, 509, 2716–2722. [Google Scholar] [CrossRef]
- Jamili, A.M.; Zarei-Hanzaki, A.; Abedi, H.R.; Mosayebi, M.; Kocich, R.; Kunčická, L. Development of fresh and fully recrystallized microstructures through friction stir processing of a rare earth bearing magnesium alloy. Mater. Sci. Eng. A 2020, 775, 138837. [Google Scholar] [CrossRef]
- Kunčická, L.; Kocich, R.; Hervoches, C.; Macháčková, A. Study of structure and residual stresses in cold rotary swaged tungsten heavy alloy. Mater. Sci. Eng. A 2017, 704, 25–31. [Google Scholar] [CrossRef]
- Gupta, R.C. Fuels, Furnaces and Refractories; PHI Learning Pvt. Ltd.: New Delhi, India, 2016; ISBN 978-81-203-5157-8. [Google Scholar]
- Rumi, M.K.; Irmatova, S.K.; Faiziev, S.A. Investigation of mullitization in fused materials based on kaolinite clay and production waste. Glass Ceram. 2020, 77, 251–255. [Google Scholar] [CrossRef]
- Sadik, C.; El Amrani, I.E.; Albizane, A. Recent advances in silica-alumina refractory: A review. J. Asian Ceram. Soc. 2014, 2, 83–96. [Google Scholar] [CrossRef]
- Shun, Y.; Heng, Z.; Shengli, W.; Mingyin, K.; Bo, S.; Ruitu, X.; Rusheng, H. Microstructure and physical properties of a mullite brick in blast furnace hearth: Influence of temperature. Ironmak. Steelmak. 2020. [Google Scholar] [CrossRef]
- Schneider, H.; Komarneni, S. Basic properties of mullite. In Mullite; Wiley VCH: Weinheim, Germany, 2005; pp. 141–155. [Google Scholar]
- Urbánek, J.; Hamáček, J.; Macháček, J.; Kutzendorfer, J.; Hubálková, J. Thermomechanical properties of mullitic materials. Process. Appl. Ceram. 2017, 11, 322–328. [Google Scholar] [CrossRef]
- Jana, A.; Ray, D. Synthesis and characterization of sol-gel derived monophasic mullite powder. Cerâmica 2020, 66, 307–313. [Google Scholar] [CrossRef]
- Aksay, I.A.; Pask, J.A. Stable and metastable equilibria in the system SiO2-Al2O3. J. Am. Ceram. Soc. 1975, 58, 507–512. [Google Scholar] [CrossRef]
- Dazhao, L.; Kaixuan, G.; Jianzhou, L.; Yu, Z.; Wenbo, H.; Gang, W. Low-temperature densification and mechanical properties of monolithic mullite ceramic. Ceram. Int. 2020, 46, 12329–12334. [Google Scholar]
- Zkušební Metody pro Žárovzdorné Výrobky Tvarové Hutné–Část 1: Stanovení Objemové Hmotnosti, Zdánlivé Pórovitosti a Skutečné Pórovitosti; ČSN EN 993-1; Český Normalizační Institut: Prague, Czech Republic, 1996.







| Raw Material | Claystone | Kaolin | Mullite Grog | ||
|---|---|---|---|---|---|
| W Super | KN-83 | GP3 | DS1 | MOTIM | |
| Site/ | Kaznějov site, Czech Republic/ | Kosyatin, Ukraine/ | Kosyatin, Ukraine/ | Chlumčany site, Czech Republic/ | Electrocorundum Ltd. |
| Producer | Keramost company | SOKA company | SOKA company | Sedlecký kaolin, a.s. company | Mosonmagyaróvár, Hungary |
| Formula Designation | Raw Materials | Al2O3 | SiO2 | Fe2O3 | TiO2 | CaO | MgO | K2O | Na2O |
|---|---|---|---|---|---|---|---|---|---|
| W | W super claystone + MOTIM | 48.62 | 47.51 | 0.88 | 1.37 | 0.37 | 0.15 | 0.49 | 0.25 |
| K | KN83 kaolin + MOTIM | 49.74 | 47.82 | 0.40 | 1.23 | 0.30 | 0.07 | 0.31 | 0.14 |
| G | GP3 kaolin + MOTIM | 48.53 | 48.86 | 0.76 | 0.67 | 0.26 | 0.20 | 2.89 | 0.10 |
| D | DS1 kaolin + MOTIM | 45.20 | 50.19 | 0.54 | 0.56 | 0.32 | 0.20 | 0.71 | 0.38 |
| Sieve Opening [mm] | >1 | 0.5–1.0 | 0.2–0.5 | 0.2–0.09 | <0.09 |
| wt.% | 0 | 44 | 34.6 | 15 | 6.4 |
| Raw Material/Composition | Claystone | Kaolin | Mullite Grog | ||
|---|---|---|---|---|---|
| W Super | KN-83 | GP3 | DS1 | MOTIM | |
| Loss of Ignition (1000 °C) | −14.24 | −13.47 | −13.15 | −12.46 | |
| Chemical Composition | |||||
| Al2O3 | 42.15 | 43.53 | 42.04 | 37.93 | 76.38 |
| SiO2 | 53.19 | 53.57 | 54.86 | 56.49 | 23.40 |
| Al2O3:SiO2 ratio | 0.79 | 0.81 | 0.77 | 0.67 | 3.26 |
| Fe2O3 | 1.03 | 0.43 | 0.87 | 0.61 | 0.01 |
| TiO2 | 1.68 | 1.50 | 0.81 | 0.68 | 0.01 |
| CaO | 0.38 | 0.29 | 0.24 | 0.12 | 0.01 |
| MgO | 0.17 | 0.07 | 0.23 | 0.24 | – |
| K2O | 0.85 | 0.36 | 0.57 | 3.53 | 0.08 |
| Na2O | 0.45 | 0.15 | 0.28 | 0.1 | 0.1 |
| Phase Composition and General Formula | |||||
| Kaolinite (Al2Si2O5(OH)4) | 80.2 | 93.3 | 89.7 | 69.9 | – |
| Illite (K0.65Al2(AlSi3O10)(OH)2) | 11.7 | 4.1 | 4.7 | 6.2 | – |
| Smectite (no general formula available) | 2.8 | – | – | ||
| Anatase (TiO2) | 2.5 | 0.8 | 0.7 | 0.6 | – |
| Quartz (SiO2) | 2.8 | 1.8 | 4.3 | 10.8 | 0.1 |
| Feldspars (KxNayCa1−(x+y)Al2−(x+y)Si2+(x+y)O8) | - | - | 0.6 | 12.5 | – |
| Mullite (Al(4 + 2x)Si(2 − 2x)O(10 − x) where x = 0.17 to 0.59) | – | – | – | – | 80.5 |
| Corundum (Al2O3) | – | – | – | – | 0.2 |
| Cristobalite (SiO2) | – | – | – | – | |
| Amorphous phase | NA | NA | NA | NA | 19.2 |
| Sample | Firing | Mullite | Corundum | Cristobalite | Quartz | Amorphous Phase |
|---|---|---|---|---|---|---|
| Designation | Temperature [°C] | |||||
| WL | 1250 | 74.5 | 0.0 | 16.1 | 4.0 | 5.5 |
| 1450 | 75.6 | 0.0 | 7.4 | 3.8 | 13.1 | |
| 1550 | 71.2 | 0.0 | 0.5 | 0 | 29.7 | |
| W-T | 1550 | 58.5 | 0.5 | 20.3 | 0.9 | 19.8 |
| W-TT | 1550 | 54.9 | 0.7 | 14.6 | 0.4 | 29.4 |
| G-L | 1250 | 69.5 | 0.0 | 19.6 | 3.0 | 7.9 |
| 1450 | 70.7 | 0.0 | 24.8 | 1.0 | 3.5 | |
| 1550 | 71.7 | 0.0 | 0.6 | 0.0 | 27.7 | |
| G-T | 1550 | 56.9 | 0.1 | 21.8 | 0.1 | 21.1 |
| G-TT | 1550 | 55.9 | 0.1 | 23.2 | 0.0 | 20.8 |
| K-L | 1250 | 59.1 | 0.0 | 0.0 | 3.9 | 36.8 |
| 1450 | 57.2 | 0.0 | 0.0 | 0.0 | 42.8 | |
| 1550 | 54.9 | 0.0 | 0.0 | 0.0 | 45.1 | |
| K-T | 1550 | 67.2 | 0.0 | 31.1 | 0.1 | 1.6 |
| K-TT | 1550 | 66.5 | 0.0 | 24.4 | 0.0 | 9.1 |
| D-L | 1250 | 56.6 | 0.0 | 0.0 | 4.0 | 39.4 |
| 1450 | 55.3 | 0.0 | 0.0 | 0.7 | 44.2 | |
| 1550 | 54.9 | 0.0 | 0.0 | 0.6 | 44.5 | |
| D-T | 1550 | 51.2 | 0.0 | 1.6 | 0.0 | 47.2 |
| D-TT | 1550 | 49.5 | 0.0 | 1.8 | 0.1 | 48.6 |
| Reference Material | 70.1 | 2.4 | 21.1 | 0.3 | 6.0 |
| Firing Temperature [°C]/Sample | 1250 | 1450 | 1550 |
| W-L | 0.2 | 0.6 | 4.0 |
| G-L | 0.2 | 1.0 | 6.0 |
| K-L | 0.5 | 2.0 | 10.0 |
| D-L | 0.1 | 0.4 | 2.0 |
| Commercial Mullite Based Products | |||
| Reference Material | 3.0 | ||
| MOTIM | 283.0 | ||
| Aggregate Designation | Price in €/t |
|---|---|
| G | 320 |
| K | 330 |
| D | 310 |
| W | 240 |
| Commercial Products | 340–420 |
Publisher’s Note: MDPI stays neutral with regard to jurisdictional claims in published maps and institutional affiliations. |
© 2021 by the authors. Licensee MDPI, Basel, Switzerland. This article is an open access article distributed under the terms and conditions of the Creative Commons Attribution (CC BY) license (http://creativecommons.org/licenses/by/4.0/).
Share and Cite
Zemánek, D.; Lang, K.; Tvrdík, L.; Všianský, D.; Nevřivová, L.; Štursa, P.; Kovář, P.; Keršnerová, L.; Dvořák, K. Development and Properties of New Mullite Based Refractory Grog. Materials 2021, 14, 779. https://doi.org/10.3390/ma14040779
Zemánek D, Lang K, Tvrdík L, Všianský D, Nevřivová L, Štursa P, Kovář P, Keršnerová L, Dvořák K. Development and Properties of New Mullite Based Refractory Grog. Materials. 2021; 14(4):779. https://doi.org/10.3390/ma14040779
Chicago/Turabian StyleZemánek, David, Karel Lang, Lukáš Tvrdík, Dalibor Všianský, Lenka Nevřivová, Petr Štursa, Pavel Kovář, Lucie Keršnerová, and Karel Dvořák. 2021. "Development and Properties of New Mullite Based Refractory Grog" Materials 14, no. 4: 779. https://doi.org/10.3390/ma14040779
APA StyleZemánek, D., Lang, K., Tvrdík, L., Všianský, D., Nevřivová, L., Štursa, P., Kovář, P., Keršnerová, L., & Dvořák, K. (2021). Development and Properties of New Mullite Based Refractory Grog. Materials, 14(4), 779. https://doi.org/10.3390/ma14040779

