Parameters Identification of High Temperature Damage Model of X12 Alloy Steel for Ultra-Supercritical Rotor Using Inverse Optimization Technique
Abstract
1. Introduction
2. Materials and Methods
3. Analysis of Experiment Results and Constitutive Model of X12 Alloy Steel
3.1. Analysis of Experiment Results
3.2. X12 Alloy Steel Constitutive Model
4. High Temperature Damage Model and Parameters Identification of X12 Alloy Steel
4.1. High Temperature Damage Model of X12 Alloy Steel
4.2. Identification of Parameters of X12 Alloy Steel High Temperature Damage Model
4.3. Validation of X12 Alloy Steel High Temperature Damage Model
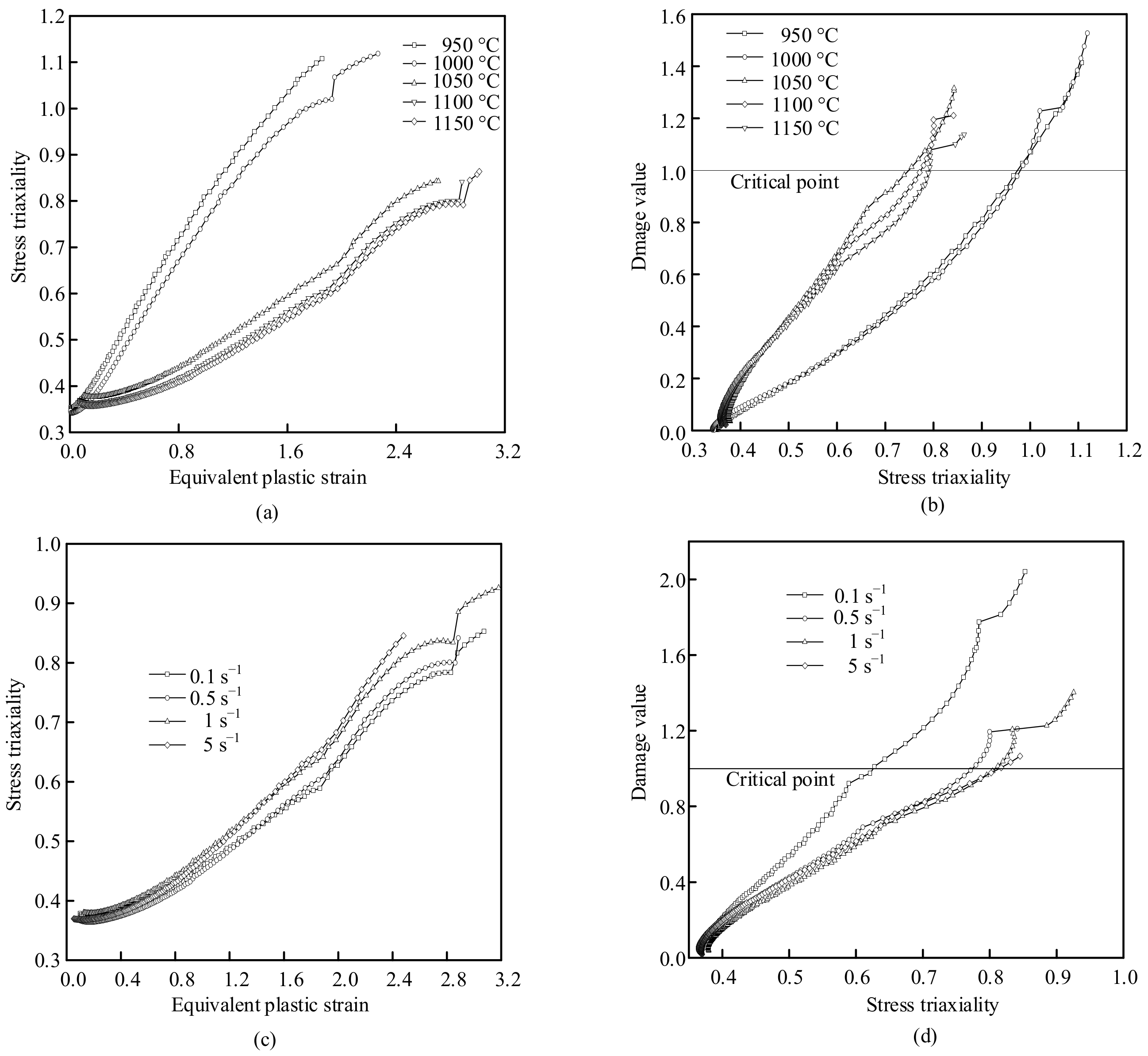
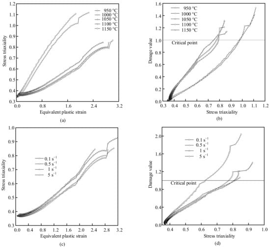
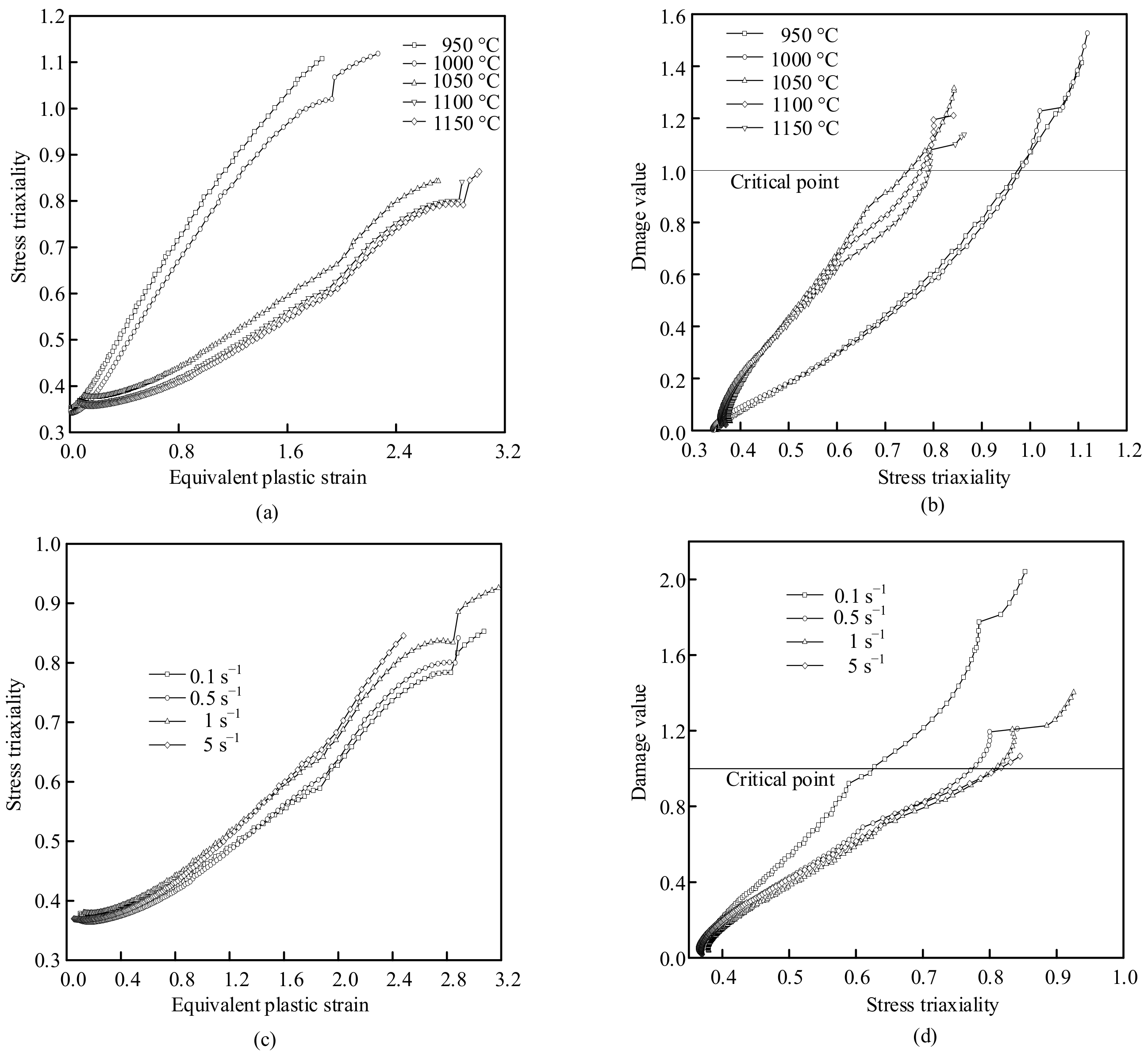
4.4. Effect of Stress Triaxiality on Material Mamage and High Temperature Damage Mechanism of X12 Alloy Steel
5. Conclusions
Author Contributions
Funding
Data Availability Statement
Conflicts of Interest
References
- Yang, Q.; Lin, W.; Wang, Y.; He, Y. Industry Development and Frontier Technology Roadmap of Thermal Power Generation. Proc. CSEE 2017, 37, 3787–3794. [Google Scholar]
- Tao, X.G.; Han, L.Z.; Gu, J.F. Effect of Quenching Rates on Microstructure and Impact Ductile of X12CrMoWVNbN10-1-1 Steel. Mater. Trans. 2015, 56, 2063–2069. [Google Scholar] [CrossRef]
- Cui, L.; Wang, P.; Hoche, H.; Scholz, A.; Berger, C. The influence of temperature transients on the lifetime of modern high-chromium rotor steel under service-type loading. Mater. Sci. Eng. A 2013, 560, 767–780. [Google Scholar] [CrossRef]
- Wang, P.; Cui, L.; Scholz, A.; Linn, S.; Oechsner, M. Multiaxial thermomechanical creep-fatigue analysis of heat-resistant steels with varying chromium contents. Int. J. Fatigue 2014, 67, 220–227. [Google Scholar] [CrossRef]
- Zhen, F.; Sun, J.; Li, J. Constitutive Equation for 3104 Alloy at High Temperatures in Consideration of Strain. High Temp. Mater. Process 2016, 35, 599–605. [Google Scholar] [CrossRef]
- Murty, S.V.S.N.; Rao, B.N.; Kashyap, B.P. Improved ductile fracture criterion for cold forming of spheroidised steel. J. Mater. Process. Technol. 2004, 147, 94–101. [Google Scholar] [CrossRef]
- Freudenthal, F.A. The Inelastic Behaviors of Solid; Wiley: New York, NY, USA, 1950; pp. 23–25. [Google Scholar]
- Cockroft, M.G.; Latham, D.J. Ductility and the workability of metals. J. Inst. Met. 1968, 96, 33. [Google Scholar]
- International Deep Drawing Research Group; Brozzo, P.B.; Deluca, B.; Rendina, R. A New Method for the Prediction of Formability in Metal Sheets: Proceedings of the Seventh Biennial Conference on Sheet Metal Forming and Formability, 7th ed.; International Deep Drawing Research Group: Amsterdam, The Netherlands, 1972. [Google Scholar]
- Chen, C.C.; Oh, S.I.; Kobayashi, S. Ductile Fracture in Axisymmetric Extrusion and Drawing—Part 1: Deformation Mechanics of Extrusion and Drawing. J. Manuf. Sci. Eng. 1977, 101, 36–44. [Google Scholar] [CrossRef]
- Rice, J.R.; Tracey, D.M. On the ductile enlargement of voids in triaxial stress fields. J. Mech. Phys. Solids 1969, 17, 201–217. [Google Scholar] [CrossRef]
- Oyane, M.; Sato, T.; Okimoto, K.; Shima, S. Criteria for ductile fracture and their applications. J. Mech. Work. Technol. 1980, 4, 65–81. [Google Scholar] [CrossRef]
- Gurson, A.L. Continuum theory of ductile rupture by void nucleation and growth: Part I–Yield criteria and flow rules for porous ductile media. J. Eng. Mat. Technol. 1977, 99, 2–15. [Google Scholar] [CrossRef]
- Tvergaard, V.; Needleman, A. Analysis of the cup-cone fracture in a round tensile bar. Acta Mater. 1984, 32, 157–169. [Google Scholar] [CrossRef]
- Lemaitre, J. A Course on Damage Mechanics; Springer: New York, NY, USA, 1996; pp. 39–94. [Google Scholar]
- Bouchard, P.-O.; Bouchard, L.; Fayolle, S.; Mocellin, K. An enhanced Lemaitre model formulation for materials processing damage computation. Int. J. Mater. Form. 2011, 4, 299–315. [Google Scholar] [CrossRef]
- Bonora, N. A nonlinear CDM model for ductile failure. Eng. Fract. Mech. 1997, 58, 11–28. [Google Scholar] [CrossRef]
- Johnson, G.R.; Cook, W.H. Fracture characteristics of three metals subjected to various strains, strain rates, temperatures and pressures. Eng. Fract. Mech. 1985, 21, 31–48. [Google Scholar] [CrossRef]
- Khan, A.S.; Liu, H. Strain rate and temperature dependent fracture criteria for isotropic and anisotropic metals. Int. J. Plast. 2012, 37, 1–15. [Google Scholar] [CrossRef]
- Novella, M.F.; Ghiotti, A.; Bruschi, S.; Bariani, P.F. Ductile damage modeling at elevated temperature applied to the cross wedge rolling of AA6082-T6 bars. J. Mater. Process. Technol. 2015, 222, 259–267. [Google Scholar] [CrossRef]
- Chen, X.; Wang, N.; Du, Y.; Wang, G.; Zhang, J.; Ma, X. An elevated temperature damage model for 45Cr4NiMoV steel heavy backup rollers. Mater. Res. Express 2019, 6, 086553. [Google Scholar]
- Tang, B.T.; Bruschi, S.; Ghiotti, A.; Bariani, P.F. An improved damage evolution model to predict fracture of steel sheet at elevated temperature. J. Mater. Process. Technol. 2016, 228, 76–87. [Google Scholar] [CrossRef]
- Wang, L.-Y.; Li, L. Parameter Identification of GTN Model Using Response Surface Methodology for High-Strength Steel BR1500HS. J. Mater. Eng. Perform. 2017, 26, 3831–3838. [Google Scholar] [CrossRef]
- Abbasia, M.; Ketabchia, M.; Izadkhaha, H.; Fatmehsaria, D.H.; Aghbash, A.N. Identification of GTN model parameters by application of response surface methodology. Procedia Eng. 2011, 10, 415–420. [Google Scholar] [CrossRef]
- Xue, L. Damage accumulation and fracture initiation in uncracked ductile solids subject to triaxial loading. Int. J. Solids Struct. 2007, 44, 5163–5181. [Google Scholar] [CrossRef]
- Burke, J.E.; Turnbull, D. Recrystallization and grain growth. Prog. Mater. Sci. 1952, 3, 220–292. [Google Scholar] [CrossRef]
- Bao, Y. Dependence of ductile crack formation in tensile tests on stress triaxiality, stress and strain ratios. Eng. Fract. Mech. 2005, 72, 505–522. [Google Scholar] [CrossRef]
- Liu, J.; Chen, X.; Du, K.; Zhou, X.; Xiang, N.; Osaka, A. A modified Bonora damage model for temperature and strain rate-dependent materials in hot forging process. Eng. Fract. Mech. 2020, 235, 107107. [Google Scholar] [CrossRef]
- Mcallen, P.; Phelan, P. A method for the prediction of ductile fracture by central bursts in axisymmetric extrusion. J. Mech. Eng. Sci. 2005, 219, 237–250. [Google Scholar] [CrossRef]
- Achouri, M.; Germain, G.; Santo, P.D.; Saidane, D. Experimental characterization and numerical modeling of micromechanical damage under different stress states. Mater. Des. 2013, 50, 207–222. [Google Scholar] [CrossRef]
- Weck, A.; Wilkinson, D.S. Experimental investigation of void coalescence in metallic sheets containing laser drilled holes. Acta Mater. 2008, 56, 1774–1784. [Google Scholar] [CrossRef]
- Pardoen, T.; Scheyvaerts, F.; Simar, A.; Tekoğlu, C.; Onck, P.R. Multiscale modeling of ductile failure in metallic alloys. C. R. Phys. 2010, 11, 326–345. [Google Scholar] [CrossRef]
- Bao, Y.; Treitler, R. Ductile crack formation on notched Al2024-T351 bars under compression–tension loading. Mater. Sci. Eng. A 2004, 384, 385–394. [Google Scholar] [CrossRef]
- Lin, J.; Liu, Y.; Dean, T.A. A Review on Damage Mechanisms, Models and Calibration Methods under Various Deformation Conditions. Int. J. Damage Mech. 2005, 14, 299–319. [Google Scholar] [CrossRef]
- Foster, A.D.; Lin, J.; Farrugia, D.C.J.; Dean, T.A. Investigation into damage nucleation and growth for a free-cutting steel under hot-rolling conditions. J. Strain Anal. Eng. Des. 2007, 42, 227–235. [Google Scholar] [CrossRef]
- Benzerga, A.A.; Besson, J. Plastic potentials for anisotropic porous solids. Eur. J. Mech. B Fluids 2001, 20, 397–434. [Google Scholar] [CrossRef]













| C | Si | Mn | Cr | Mo | W | Ni | V | Nb | N | Cu |
|---|---|---|---|---|---|---|---|---|---|---|
| 0.188 | 0.104 | 0.420 | 11.00 | 1.029 | 0.95 | 0.744 | 0.207 | 0.069 | 0.05 | 0.186 |
| A | m1 | m2 | m3 | m4 |
|---|---|---|---|---|
| 23351.9437 | −0.00442 | 0.14754 | 0.07427 | −0.01065 |
| Strain Rate/s−1 | Temperature/K | ||
|---|---|---|---|
| 0.1 s−1 | 1223 | 3.9971 | 48.1379 |
| 1273 | 5.5027 | 46.1567 | |
| 1323 | 8.7847 | 44.3253 | |
| 1373 | 6.9665 | 42.6273 | |
| 1423 | 7.7040 | 41.0486 | |
| 0.5 s−1 | 1223 | 3.7566 | 49.7473 |
| 1273 | 5.5493 | 47.7662 | |
| 1323 | 6.5694 | 45.9348 | |
| 1373 | 6.7476 | 44.2367 | |
| 1423 | 7.1151 | 42.6580 | |
| 1 s−1 | 1223 | 3.9700 | 50.4405 |
| 1273 | 6.0561 | 48.4593 | |
| 1323 | 6.2921 | 46.6279 | |
| 1373 | 7.9420 | 44.9299 | |
| 1423 | 7.9597 | 43.3512 | |
| 5 s−1 | 1223 | 3.6500 | 52.0499 |
| 1273 | 5.4778 | 50.0688 | |
| 1323 | 6.0182 | 48.2373 | |
| 1373 | 6.0061 | 46.5393 | |
| 1423 | 6.9765 | 44.9606 |
Publisher’s Note: MDPI stays neutral with regard to jurisdictional claims in published maps and institutional affiliations. |
© 2021 by the authors. Licensee MDPI, Basel, Switzerland. This article is an open access article distributed under the terms and conditions of the Creative Commons Attribution (CC BY) license (http://creativecommons.org/licenses/by/4.0/).
Share and Cite
Chen, X.; Du, K.; Du, Y.; Lian, T.; Liu, J.; Bai, R.; Li, Z.; Yang, Y.; Jung, D. Parameters Identification of High Temperature Damage Model of X12 Alloy Steel for Ultra-Supercritical Rotor Using Inverse Optimization Technique. Materials 2021, 14, 695. https://doi.org/10.3390/ma14030695
Chen X, Du K, Du Y, Lian T, Liu J, Bai R, Li Z, Yang Y, Jung D. Parameters Identification of High Temperature Damage Model of X12 Alloy Steel for Ultra-Supercritical Rotor Using Inverse Optimization Technique. Materials. 2021; 14(3):695. https://doi.org/10.3390/ma14030695
Chicago/Turabian StyleChen, Xuewen, Kexue Du, Yuqing Du, Tingting Lian, Jiqi Liu, Rongren Bai, Zhipeng Li, Yisi Yang, and Dongwon Jung. 2021. "Parameters Identification of High Temperature Damage Model of X12 Alloy Steel for Ultra-Supercritical Rotor Using Inverse Optimization Technique" Materials 14, no. 3: 695. https://doi.org/10.3390/ma14030695
APA StyleChen, X., Du, K., Du, Y., Lian, T., Liu, J., Bai, R., Li, Z., Yang, Y., & Jung, D. (2021). Parameters Identification of High Temperature Damage Model of X12 Alloy Steel for Ultra-Supercritical Rotor Using Inverse Optimization Technique. Materials, 14(3), 695. https://doi.org/10.3390/ma14030695
