Mixed Ionic-Electronic Conductivity, Redox Behavior and Thermochemical Expansion of Mn-Substituted 5YSZ as an Interlayer Material for Reversible Solid Oxide Cells
Abstract
1. Introduction
2. Materials and Methods
3. Results
3.1. Phase Composition and Crystal Structure
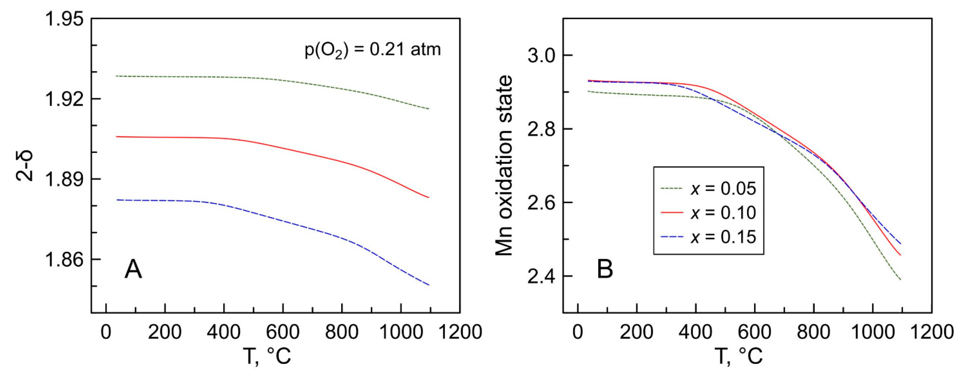
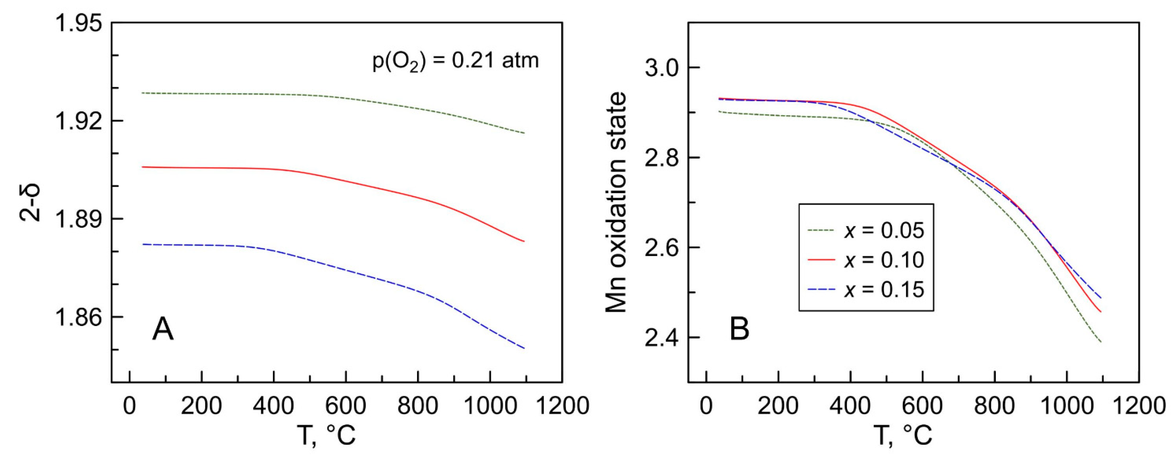
3.2. Mn Oxidation State and Oxygen Nonstoichiometry in Air
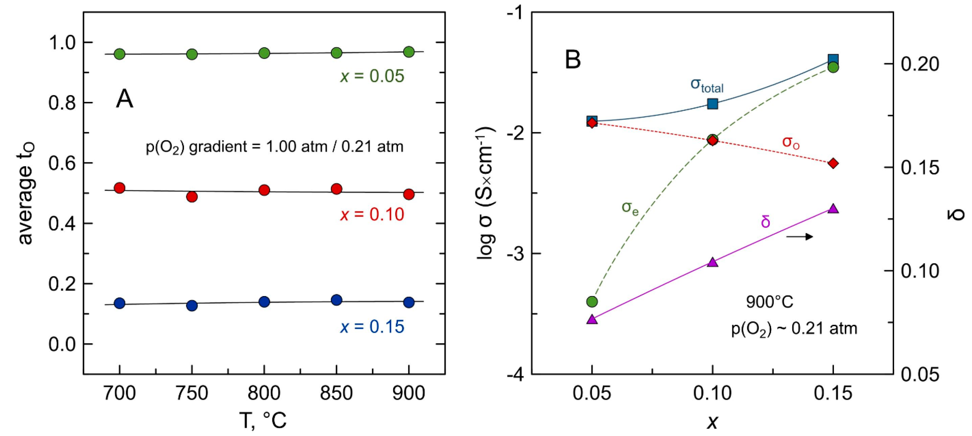
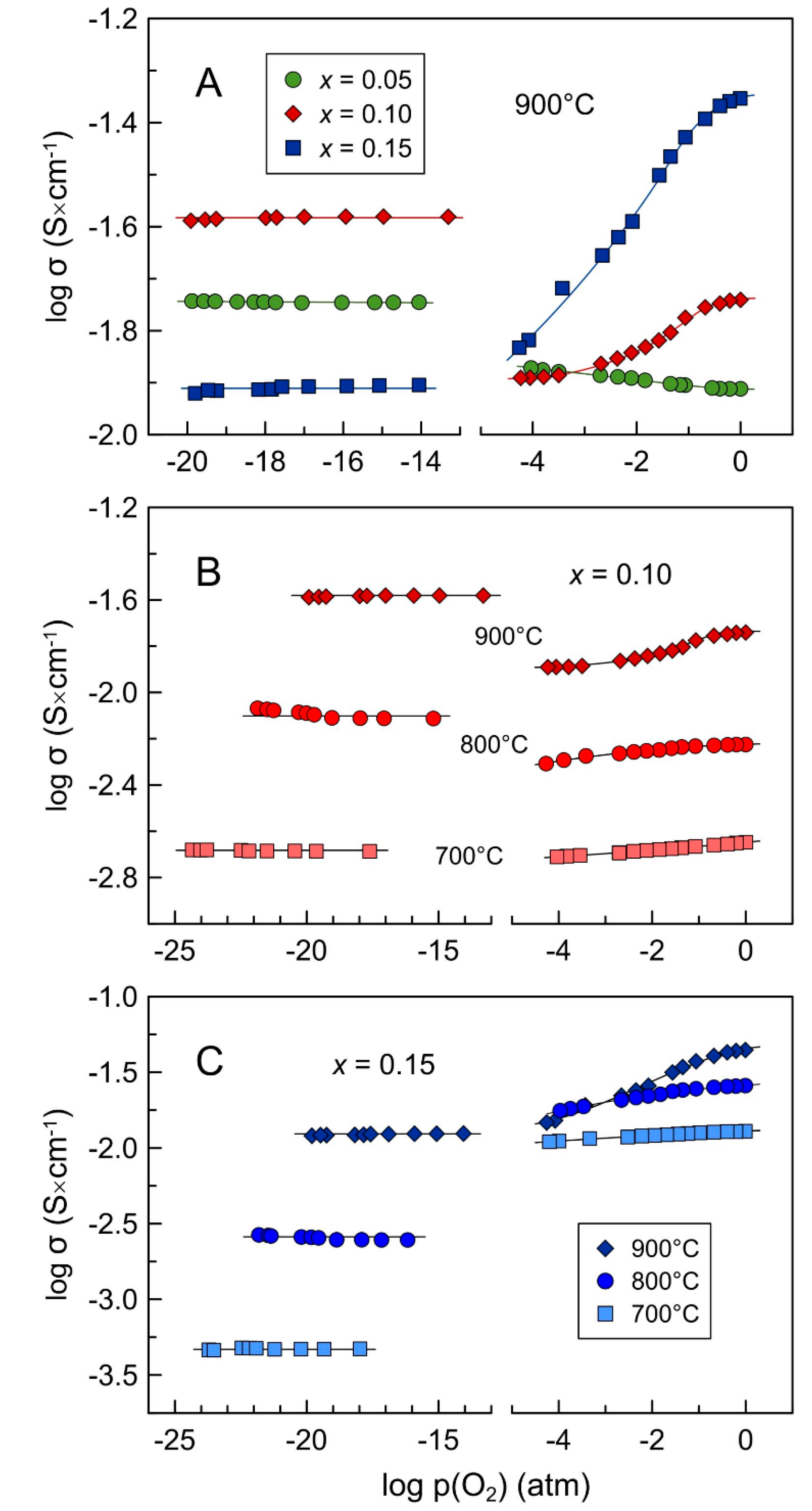
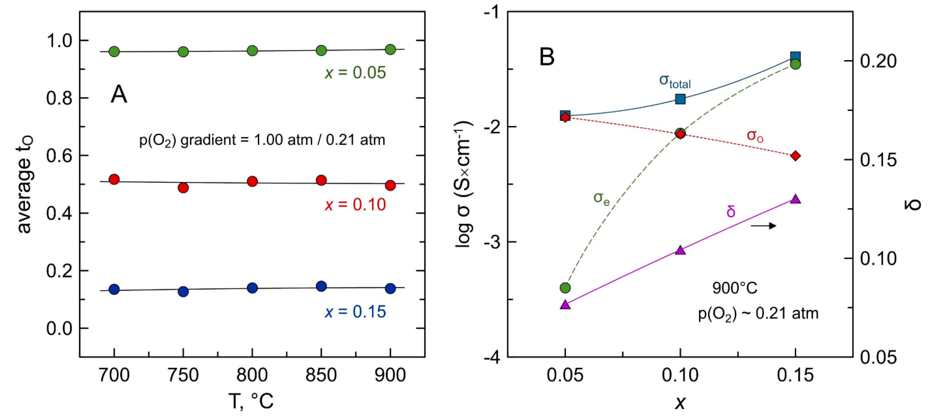
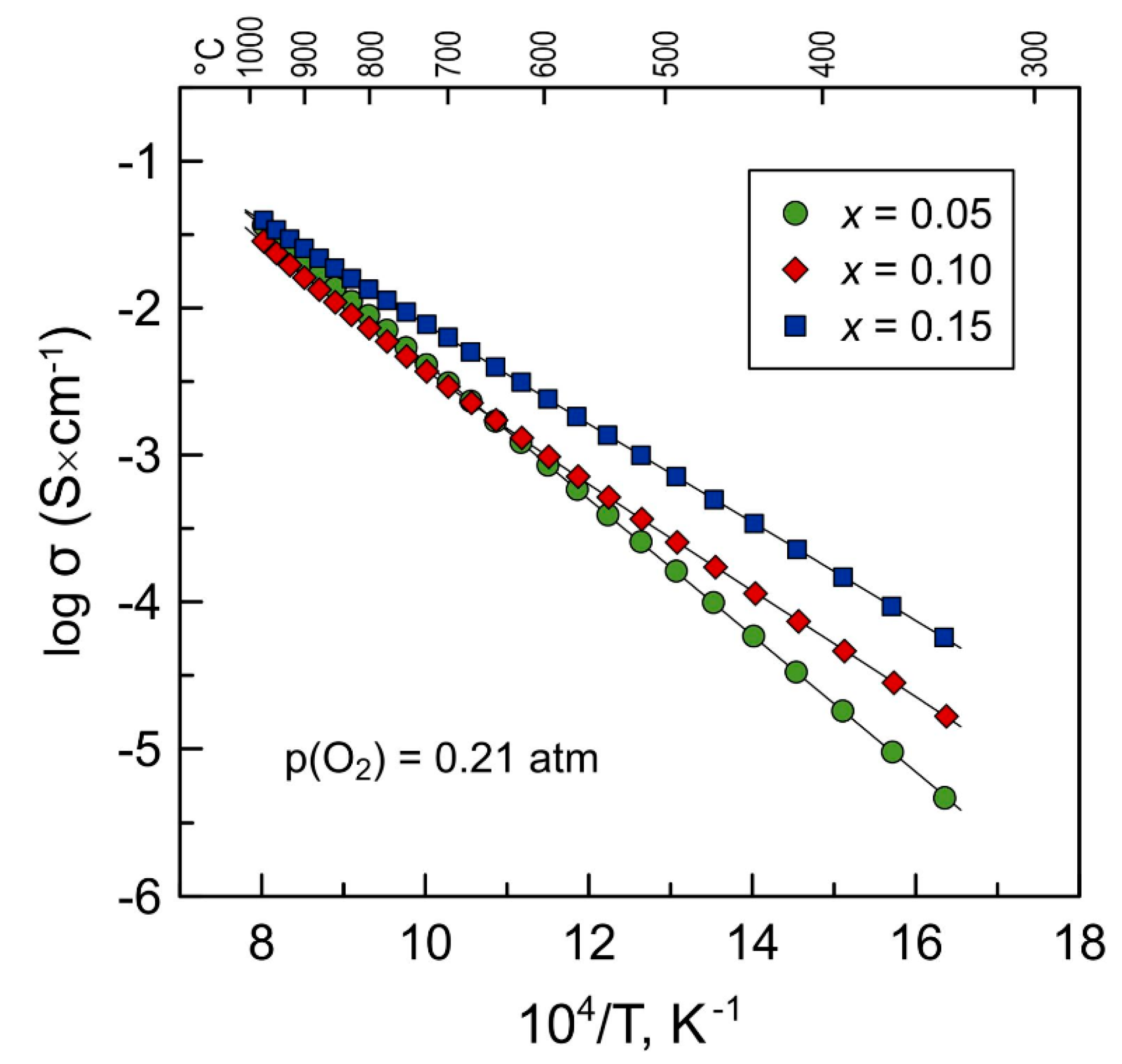
3.3. Electrical Transport Properties under Oxidizing Conditions
3.4. Cycling between Oxidizing and Reducing Conditions
3.5. Thermochemical Expansion
4. Conclusions
Author Contributions
Funding
Data Availability Statement
Conflicts of Interest
References
- Mogensen, M.B.; Chen, M.; Frandsen, H.L.; Graves, C.; Hansen, J.B.; Hansen, K.V.; Hauch, A.; Jacobsen, T.; Jensen, S.H.; Skafte, T.L.; et al. Reversible solid-oxide cells for clean and sustainable energy. Clean Energy 2019, 3, 175–201. [Google Scholar] [CrossRef]
- Hauch, A.; Küngas, R.; Blennow, P.; Hansen, A.B.; Hansen, J.B.; Mathiesen, B.V.; Mogensen, M.B. Recent advances in solid oxide cell technology for electrolysis. Science 2020, 370, eaba6118. [Google Scholar] [CrossRef] [PubMed]
- Hughes, G.A.; Yakal-Kremski, K.; Barnett, S.A. Life testing of LSM-YSZ composite electrodes under reversing-current operation. Phys. Chem. Chem. Phys. 2013, 15, 17257–17262. [Google Scholar] [CrossRef]
- Moçoteguy, P.; Brisse, A. A review and comprehensive analysis of degradation mechanisms of solid oxide electrolysis cells. Int. J. Hydrogen Energy 2013, 38, 15887–15902. [Google Scholar] [CrossRef]
- Wang, Y.; Li, W.; Ma, L.; Li, W.; Liu, X. Degradation of solid oxide electrolysis cells: Phenomena, mechanisms, and emerging mitigation strategies—A review. J. Mater. Sci. Technol. 2020, 55, 35–55. [Google Scholar] [CrossRef]
- Chen, K.; Jiang, S.P. Review—Materials degradation of solid oxide electrolysis cells. J. Electrochem. Soc. 2016, 163, F3070–F3083. [Google Scholar] [CrossRef]
- Zheng, Y.; Wang, J.; Yu, B.; Zhang, W.; Chen, J.; Qiao, J.; Zhang, J. A review of high temperature co-electrolysis of H2O and CO2 to produce sustainable fuels using solid oxide electrolysis cells (SOECs): Advanced materials and technology. Chem. Soc. Rev. 2017, 46, 1427–1463. [Google Scholar] [CrossRef]
- Jacobsen, T.; Mogensen, M. The course of oxygen partial pressure and electric potentials across an oxide electrolyte cell. ECS Trans. 2008, 13, 259–273. [Google Scholar] [CrossRef]
- Virkar, A.V. Mechanism of oxygen electrode delamination in solid oxide electrolyzer cells. Int. J. Hydrogen Energy 2010, 35, 9527–9543. [Google Scholar] [CrossRef]
- Rashkeev, S.N.; Glazoff, M.V. Atomic-scale mechanisms of oxygen electrode delamination in solid oxide electrolyzer cells. Int. J. Hydrogen Energy 2012, 37, 1280–1291. [Google Scholar] [CrossRef]
- Kim, J.; Ji, H.I.; Dasari, H.P.; Shin, D.; Song, H.; Lee, J.H.; Kim, B.K.; Je, H.J.; Lee, H.W.; Yoon, K.J. Degradation mechanism of electrolyte and air electrode in solid oxide electrolysis cells operating at high polarization. Int. J. Hydrogen Energy 2013, 38, 1225–1235. [Google Scholar] [CrossRef]
- Graves, C.; Ebbesen, S.D.; Jensen, S.H.; Simonsen, S.B.; Mogensen, M.B. Eliminating degradation in solid oxide electrochemical cells by reversible operation. Nat. Mater. 2015, 14, 239–244. [Google Scholar] [CrossRef] [PubMed]
- Chen, K.; Liu, S.S.; Ai, N.; Koyama, M.; Jiang, S.P. Why solid oxide cells can be reversibly operated in solid oxide electrolysis cell and fuel cell modes? Phys. Chem. Chem. Phys. 2015, 17, 31308–31315. [Google Scholar] [CrossRef] [PubMed]
- Kawashima, T. Phase equilibria in ZrO2-Y2O3-MnOt ternary system at 1673 K. Mater. Trans. JIM 1999, 40, 967–971. [Google Scholar] [CrossRef]
- Pavlyuchkov, D.; Savinykh, G.; Fabrichnaya, O. Experimental investigation and thermodynamic modeling of the ZrO2–MnOx system. J. Eur. Ceram. Soc. 2015, 35, 3623–3632. [Google Scholar] [CrossRef]
- Stępień, J.; Sikora, M.; Kapusta, C.; Pomykalska, D.; Bućko, M. Determination of oxygen vacancy limit in Mn substituted yttria stabilized zirconia. J. Appl. Phys. 2018, 123, 185108. [Google Scholar] [CrossRef]
- Kawashima, T.; Hishinuma, M. Phase transformation of yttria-stabilized zirconia (3 mol% Y2O3) in fuel cell caused by manganese diffusion. Mater. Trans. JIM 1998, 39, 617–620. [Google Scholar] [CrossRef]
- Matraszek, A.; Miller, M.; Singheiser, L.; Hilpert, K. Thermodynamic vaporization studies of the manganese oxide-yttria stabilized zirconia (YSZ) solid solution. J. Eur. Ceram. Soc. 2004, 24, 2649–2656. [Google Scholar] [CrossRef]
- Kawada, T.; Sakai, N.; Yokokawa, H.; Dokiya, M. Electrical properties of transition-metal-doped YSZ. Solid State Ionics 1992, 53–56, 418–425. [Google Scholar] [CrossRef]
- Kawada, T.; Sakai, N.; Yokokawa, H.; Dokiya, M. Reaction between solid oxide fuel cell materials. Solid State Ionics 1992, 50, 189–196. [Google Scholar] [CrossRef]
- Pomykalska, D.; Bućko, M.M.; Rękas, M. Electrical conductivity of MnOx–Y2O3–ZrO2 solid solutions. Solid State Ionics 2010, 181, 48–52. [Google Scholar] [CrossRef]
- Huang, X.J.; Weppner, W. Characteristics of transition metal oxide doping of YSZ: Structure and electrical properties. J. Chem. Soc. Faraday Trans. 1996, 92, 2173–2178. [Google Scholar] [CrossRef]
- Kim, J.H.; Choi, G.M. Mixed ionic and electronic conductivity of [(ZrO2)0.92(Y2O3)0.08]1-y(MnO1.5)y. Solid State Ionics 2000, 130, 157–168. [Google Scholar] [CrossRef]
- Mahapatra, M.K.; Li, N.; Verma, A.; Singh, P. Electrical conductivity of manganese doped yttria (8 mol%) stabilized zirconia. Solid State Ionics 2013, 253, 223–226. [Google Scholar] [CrossRef]
- Slilaty, R.M.; Marques, F.M.B. Electrical conductivity of yttria stabilized zirconia (YSC) doped with transition metals. Bol. Soc. Esp. Cerám. Vidr. 1996, 35, 109–115. [Google Scholar]
- Kim, J.H.; Choi, G.M. Electrical conductivity of zirconia-Mn oxide mixture. Mat. Res. Soc. Symp. Proc. 1999, 548, 611–616. [Google Scholar] [CrossRef]
- Appel, C.C.; Bonanos, N.; Horsewell, A.; Linderoth, S. Ageing behaviour of zirconia stabilised by yttria and manganese oxide. J. Mater. Sci. 2001, 36, 4493–4501. [Google Scholar] [CrossRef]
- Zhang, T.S.; Chan, S.H.; Wang, W.; Hbaieb, K.; Kong, L.B.; Ma, J. Effect of Mn addition on the densification, grain growth and ionic conductivity of pure and SiO2-containing 8YSZ electrolytes. Solid State Ionics 2009, 180, 82–89. [Google Scholar] [CrossRef]
- Kawashima, T. Electrical conductivity and defect structure of manganese oxide-doped yttria-stabilized zirconia (3 mol% Y2O3). Mater. Trans. JIM 1998, 39, 1115–1120. [Google Scholar] [CrossRef][Green Version]
- Li, N.; Keane, M.; Mahapatra, M.K.; Singh, P. Mitigation of the delamination of LSM anode in solid oxide electrolysis cells using manganese-modified YSZ. Int. J. Hydrogen Energy 2013, 38, 6298–6303. [Google Scholar] [CrossRef]
- Li, N.; Asadikiya, M.; Zhong, Y.; Singh, P. Evolution of porous YSZ surface morphology in YSZ-MnOx system. J. Am. Ceram. Soc. 2018, 101, 4802–4811. [Google Scholar] [CrossRef]
- Gorelov, V.P. Transport number determinations in ionic conductors using EMF measurements with active load. Sov. Electrochem. 1988, 24, 1272–1274. [Google Scholar]
- Kharton, V.V.; Yaremchenko, A.A.; Viskup, A.P.; Mather, G.C.; Naumovich, E.N.; Marques, F.M.B. Ionic and p-type electronic conduction in LaGa(Mg,Nb)O3-δ perovskites. Solid State Ionics 2000, 128, 79–90. [Google Scholar] [CrossRef]
- Pascual, M.J.; Kharton, V.V.; Tsipis, E.V.; Yaremchenko, A.A.; Lara, C.; Durán, A.; Frade, J.R. Transport properties of sealants for high-temperature electrochemical applications: RO-BaO-SiO2 (R = Mg, Zn) glass-ceramics. J. Eur. Ceram. Soc. 2006, 26, 3315–3324. [Google Scholar] [CrossRef]
- Natoli, A.; Yaremchenko, A.; Frade, J.R. Structural design of 5 mol.% yttria partially stabilized zirconia (5Y-PSZ) by addition of manganese oxide and direct firing. Ceramics 2020, 3, 345–358. [Google Scholar] [CrossRef]
- Shannon, R.D. Revised effective ionic radii and systematic studies of interatomic distances in halides and chaleogenides. Acta Crystallogr. A 1976, 32, 751–767. [Google Scholar] [CrossRef]
- Van Herle, J.; Vasquez, R. Conductivity of Mn and Ni-doped stabilized zirconia electrolyte. J. Eur. Ceram. Soc. 2004, 24, 1177–1180. [Google Scholar] [CrossRef]
- Lybye, D.; Liu, Y.L.; Mogensen, M.; Linderoth, S. Effect of impurities on the conductivity of Sc and Y co-doped ZrO2. Electrochem. Soc. Proc. 2005, 2005, 954–963. [Google Scholar] [CrossRef]
- Gao, L.; Zhou, L.; Li, C.; Feng, J.; Lu, Y. Kinetics of stabilized cubic zirconia formation from MnO2-ZrO2 diffusion couple. J. Mater. Sci. 2013, 48, 974–977. [Google Scholar] [CrossRef]
- Srivastava, S.K.; Lejay, P.; Barbara, B.; Boisron, O.; Pailhes, S.; Bouzerar, G. Absence of ferromagnetism in Mn-doped tetragonal zirconia. J. Appl Phys. 2011, 110, 043929. [Google Scholar] [CrossRef]
- Parmigiani, F.; Depero, L.E.; Sangaletti, L.; Samoggia, G. An XPS study of yttria-stabilised zirconia single crystals. J. Electron. Spectrosc. Relat. Phenom. 1993, 63, 1–10. [Google Scholar] [CrossRef]
- Pomfret, M.B.; Stoltz, C.; Varughese, B.; Walker, R.A. Structural and compositional characterization of yttria-stabilized zirconia: Evidence of surface-stabilized, low-valence metal species. Anal. Chem. 2005, 77, 1791–1795. [Google Scholar] [CrossRef] [PubMed]
- Oku, M.; Hirokawa, K.; Ikeda, S. X-ray photoelectron spectroscopy of manganese—Oxygen systems. J. Electron. Spectrosc. Relat. Phenom. 1975, 7, 465–473. [Google Scholar] [CrossRef]
- Biesinger, M.C.; Payne, B.P.; Grosvenor, A.P.; Lau, L.W.; Gerson, A.R.; Smart, R.S.C. Resolving surface chemical states in XPS analysis of first row transition metals, oxides and hydroxides: Cr, Mn, Fe, Co and Ni. Appl. Surf. Sci. 2011, 257, 2717–2730. [Google Scholar] [CrossRef]
- Junta, J.L.; Hochella, M.F., Jr. Manganese (II) oxidation at mineral surfaces: A microscopic and spectroscopic study. Geochim. Cosmochim. Acta 1994, 58, 4985–4999. [Google Scholar] [CrossRef]
- Brundle, C.R.; Baker, A.D. (Eds.) Electron. Spectroscopy: Theory, Techniques and Applications; Academic Press: London, UK, 1977; Volume 1. [Google Scholar]
- Grundy, A.N.; Hallstedt, B.; Gauckler, L.J. Assessment of the Mn-O system. J. Phase Equilib. 2003, 24, 21–39. [Google Scholar] [CrossRef]
- Occhiuzzi, M.; Cordischi, D.; Dragone, R. Manganese ions in the monoclinic, tetragonal and cubic phases of zirconia: An XRD and EPR study. Phys. Chem. Chem. Phys. 2003, 5, 4938–4945. [Google Scholar] [CrossRef]
- Sasaki, K.; Murugaraj, P.; Haseidl, M.; Maier, J. Redox-active impurity ions in solid electrolytes and their influence on transport properties. Electrochem. Soc. Proc. 1997, 97-40, 1190–1202. [Google Scholar] [CrossRef]
- Sasaki, K.; Maier, J. In situ EPR studies of chemical diffusion in oxides. Phys. Chem. Chem. Phys. 2000, 2, 3055–3061. [Google Scholar] [CrossRef]
- Chen, M.; Hallstech, B.; Gauckler, L.J. Thermodynamic modelling of phase equilibria in the Mn-Y-Zr-O system. Solid State Ionics 2005, 176, 1457–1464. [Google Scholar] [CrossRef]
- Sasaki, K.; Claus, J.; Maier, J. Defect chemistry of oxides in partially frozen-in states: Case studies for ZrO2(Y2O3), SrZrO3(Y2O3), and SrTiO3. Solid State Ionics 1999, 121, 51–60. [Google Scholar] [CrossRef]
- Sasaki, K.; Maier, J. Re-analysis of defect equilibria and transport parameters in Y2O3-stabilized ZrO2 using EPR and optical relaxation. Solid State Ionics 2000, 134, 303–321. [Google Scholar] [CrossRef]
- Appel, C.C.; Botton, G.A.; Horsewell, A.; Stobbs, W.M. Chemical and structural changes in manganese-doped yttria-stabilized zirconia studied by electron energy loss spectroscopy combined with electron diffraction. J. Am. Ceram. Soc. 1999, 82, 429–435. [Google Scholar] [CrossRef]
- Kharton, V.V.; Marques, F.M.B. Interfacial effects in electrochemical cells for oxygen ionic conduction measurements. I. The e.m.f. method. Solid State Ionics 2001, 140, 381–394. [Google Scholar] [CrossRef]
- Frade, J.R.; Kharton, V.V.; Yaremchenko, A.A.; Tsipis, E.V. Applicability of emf measurements under external load resistance conditions for ion transport number determination. J. Solid State Electrochem. 2006, 10, 96–103. [Google Scholar] [CrossRef]
- Park, J.H.; Blumenthal, R.N. Electronic transport in 8 mole percent Y2O3-ZrO2. J. Electrochem. Soc. 1989, 136, 2867–2876. [Google Scholar] [CrossRef]
- Mori, M.; Abe, T.; Itoh, H.; Yamamoto, O.; Takeda, Y.; Kawahara, T. Cubic-stabilized zirconia and alumina composites as electrolytes in planar type solid oxide fuel cells. Solid State Ionics 1994, 74, 157–164. [Google Scholar] [CrossRef]
- Tsipis, E.V.; Kharton, V.V. Electrode materials and reaction mechanisms in solid oxide fuel cells: A brief review I. Performance-determining factors. J. Solid State Electrochem. 2008, 12, 1039–1060. [Google Scholar] [CrossRef]
- Liu, T.; Zhang, X.; Wang, X.; Yu, J.; Li, L. A review of zirconia-based solid electrolytes. Ionics 2016, 22, 2249–2262. [Google Scholar] [CrossRef]
- Yamamoto, O.; Arachi, Y.; Sakai, H.; Takeda, Y.; Imanishi, N.; Mizutani, Y.; Kawai, M.; Nakamura, Y. Zirconia based oxide ion conductors for solid oxide fuel cells. Ionics 1998, 4, 403–408. [Google Scholar] [CrossRef]
- Appel, C.C. Zirconia stabilized by Y and Mn: A microstructural characterization. Ionics 1995, 1, 406–413. [Google Scholar] [CrossRef]
- Khan, M.S.; Islam, M.S.; Bates, D.R. Cation doping and oxygen diffusion in zirconia: A combined atomistic simulation and molecular dynamics study. J. Mater. Chem. 1998, 8, 2299–2307. [Google Scholar] [CrossRef]
- Marrocchelli, D.; Perry, N.H.; Bishop, S.R. Understanding chemical expansion in perovskite-structured oxides. Phys. Chem. Chem. Phys. 2015, 17, 10028–10039. [Google Scholar] [CrossRef] [PubMed]
- Frade, J.R. Challenges imposed by thermochemical expansion of solid state electrochemical materials. In Solid Oxide Fuels Cells: Facts and Figures; Irvine, J.T.S., Connor., P., Eds.; Springer: London, UK, 2013; pp. 95–119. [Google Scholar]
- Yaremchenko, A.A.; Mikhalev, S.M.; Kravchenko, E.S.; Frade, J.R. Thermochemical expansion of mixed-conducting (Ba,Sr)Co0.8Fe0.2O3-δ ceramics. J. Eur. Ceram. Soc. 2014, 34, 703–715. [Google Scholar] [CrossRef]
- Tietz, F. Thermal Expansion of SOFC Materials. Ionics 1999, 5, 129–139. [Google Scholar] [CrossRef]
- Jiang, S.P. Development of lanthanum strontium manganite perovskite cathode materials of solid oxide fuel cells: A review. J. Mater. Sci. 2008, 43, 6799–6833. [Google Scholar] [CrossRef]
- Sun, C.; Hui, R.; Roller, J. Cathode materials for solid oxide fuel cells: A review. J. Solid State Electrochem. 2010, 14, 1125–1144. [Google Scholar] [CrossRef]
- Naumovich, E.N.; Zakharchuk, K.; Obrębowski, S.; Yaremchenko, A. (La,Sr)(Fe,Co)O3-based cathode contact materials for intermediate-temperature solid oxide fuel cells. Int. J. Hydrogen Energy 2017, 42, 29443–29453. [Google Scholar] [CrossRef]
- Tarutin, A.P.; Lyagaeva, J.G.; Medvedev, D.A.; Bi, L.; Yaremchenko, A.A. Recent advances in layered Ln2NiO4+δ nickelates: Fundamentals and prospects of their applications in protonic ceramic fuel and electrolysis cells. J. Mater. Chem. A 2021, 9, 154–195. [Google Scholar] [CrossRef]
- Yaremchenko, A.A.; Kharton, V.V.; Kolotygin, V.A.; Patrakeev, M.V.; Tsipis, E.V.; Waerenborgh, J.C. Mixed conductivity, thermochemical expansion and electrochemical activity of Fe-substituted (La,Sr)(Cr,Mg)O3-δ for solid oxide fuel cell anodes. J. Power Sources 2014, 249, 483–496. [Google Scholar] [CrossRef]
- Yaremchenko, A.A.; Macías, J.; Kovalevsky, A.V.; Arias-Serrano, B.I.; Frade, J.R. Electrical conductivity and thermal expansion of Ln-substituted SrTiO3 for solid oxide cell electrodes and interconnects: The effect of rare-earth cation size. J. Power Sources 2020, 474, 228531. [Google Scholar] [CrossRef]
- Yasuda, I.; Hishinuma, M. Electrical conductivity, dimensional instability and internal stresses of CeO2-Gd2O3 solid solutions. Electrochem. Soc. Proc. 1998, 97, 178–187. [Google Scholar]
- Wang, S.; Katsuki, M.; Hashimoto, T.; Dokiya, M. Expansion behavior of Ce1-yGdyO2.0-0.5y-δ under various oxygen partial pressures evaluated by HTXRD. J. Electrochem. Soc. 2003, 150, A952–A958. [Google Scholar] [CrossRef]
















| x | Formula Unit | a, Å 1 | Density, g/cm3 | Relative Density, % 2 |
|---|---|---|---|---|
| 0.05 | Zr0.862Y0.091Mn0.048O2−δ | 5.11840(7) | 5.35 | 90 |
| 0.10 | Zr0.818Y0.086Mn0.096O2−δ | 5.10632(5) | 5.36 | 91 |
| 0.15 | Zr0.775Y0.082Mn0.144O2−δ | 5.09522(7) | 5.40 | 94 |
| x | Mn 2p | Mn 3s | |||||
|---|---|---|---|---|---|---|---|
| 2p1/2 | 2p3/2 | FWHM (2p3/2) 1 | Δ(2p3/2−2p1/2) | 3s(1) | 3s(2) | Δ(3s(2)−3s(1)) | |
| 0.05 | 653.0 | 641.0 | 3.31 | 12.0 | 82.7 | 89.3 | 6.4 |
| 0.10 | 653.1 | 641.4 | 3.10 | 11.7 | 83.4 | 89.2 | 5.9 |
| 0.15 | 652.9 | 641.2 | 3.03 | 11.7 | 83.1 | 89.2 | 6.1 |
| x | EA, kJ/mol | ln(A0) | ρ 2 |
|---|---|---|---|
| 0.05 | 96.1 ± 0.2 | 13.02 ± 0.03 | 0.99996 |
| 0.10 | 80.8 ± 0.7 | 11.14 ± 0.10 | 0.9991 |
| 0.15 | 72.2 ± 0.3 | 10.76 ± 0.04 | 0.9998 |
| x | Before Relaxation | After Relaxation | Rafter/Rini 1 | ||
|---|---|---|---|---|---|
| Eexp/Eth | Eexp/Eth | ||||
| 0.05 | 0.984 | 0.990 | 0.957 | 0.968 | 1.83 |
| 0.10 | 0.52 | 0.62 | 0.42 | 0.50 | 0.86 |
| 0.15 | 0.47 | - | 0.13 | 0.14 | 0.59 |
| T, °C | x = 0.05 | x = 0.10 | x = 0.15 | |||
|---|---|---|---|---|---|---|
| log p1 (atm) 1 | log p1 (atm) | log p1 (atm) | ||||
| 900 | −19.4 | 0.9991 | −18.2 | 0.983 | −17.4 | 0.997 |
| 850 | −20.4 | 0.9995 | −19.3 | 0.991 | −18.4 | 0.997 |
| 800 | −21.2 | 0.9996 | −20.5 | 0.992 | −19.3 | 0.997 |
| 750 | −21.4 | 0.9997 | −21.6 | 0.990 | −20.2 | 0.996 |
| 700 | −21.5 | 0.9996 | −23.0 | 0.986 | −20.9 | 0.995 |
| Atmosphere | T Range, °C | Average Linear Thermal Expansion Coefficient ± 0.1) × 106, K−1 | ||
|---|---|---|---|---|
| x = 0.05 | x = 0.10 | x = 0.15 | ||
| air | 40–1100 | 10.9 | 11.1 | 11.2 |
| 40–400 | 9.5 | 9.0 | 8.7 | |
| 400–850 | 11.4 | 11.7 | 11.8 | |
| 850–1100 | 13.8 | 16.1 | 17.4 | |
| 10% H2-N2 | 40–1100 | 10.7 | 10.5 | 10.6 |
Publisher’s Note: MDPI stays neutral with regard to jurisdictional claims in published maps and institutional affiliations. |
© 2021 by the authors. Licensee MDPI, Basel, Switzerland. This article is an open access article distributed under the terms and conditions of the Creative Commons Attribution (CC BY) license (http://creativecommons.org/licenses/by/4.0/).
Share and Cite
Natoli, A.; Arias-Serrano, B.I.; Rodríguez-Castellón, E.; Żurawska, A.; Frade, J.R.; Yaremchenko, A.A. Mixed Ionic-Electronic Conductivity, Redox Behavior and Thermochemical Expansion of Mn-Substituted 5YSZ as an Interlayer Material for Reversible Solid Oxide Cells. Materials 2021, 14, 641. https://doi.org/10.3390/ma14030641
Natoli A, Arias-Serrano BI, Rodríguez-Castellón E, Żurawska A, Frade JR, Yaremchenko AA. Mixed Ionic-Electronic Conductivity, Redox Behavior and Thermochemical Expansion of Mn-Substituted 5YSZ as an Interlayer Material for Reversible Solid Oxide Cells. Materials. 2021; 14(3):641. https://doi.org/10.3390/ma14030641
Chicago/Turabian StyleNatoli, Alejandro, Blanca I. Arias-Serrano, Enrique Rodríguez-Castellón, Agnieszka Żurawska, Jorge R. Frade, and Aleksey. A. Yaremchenko. 2021. "Mixed Ionic-Electronic Conductivity, Redox Behavior and Thermochemical Expansion of Mn-Substituted 5YSZ as an Interlayer Material for Reversible Solid Oxide Cells" Materials 14, no. 3: 641. https://doi.org/10.3390/ma14030641
APA StyleNatoli, A., Arias-Serrano, B. I., Rodríguez-Castellón, E., Żurawska, A., Frade, J. R., & Yaremchenko, A. A. (2021). Mixed Ionic-Electronic Conductivity, Redox Behavior and Thermochemical Expansion of Mn-Substituted 5YSZ as an Interlayer Material for Reversible Solid Oxide Cells. Materials, 14(3), 641. https://doi.org/10.3390/ma14030641

