Physicochemical Characteristics of Chitosan-Based Hydrogels Modified with Equisetum arvense L. (Horsetail) Extract in View of Their Usefulness as Innovative Dressing Materials
Abstract
:1. Introduction
2. Materials and Methods
2.1. Materials
2.2. Methods
2.2.1. Preparation of Equisetum arvense L. Extract
2.2.2. Synthesis of Hydrogels via a Photopolymerization Process
2.3. Methodology of Performed Experiments
2.3.1. Characterization of Swelling Properties of Hydrogels
2.3.2. Analysis of Surface Morphology of Hydrogels Using Scanning Electron Microscopy (SEM)
2.3.3. Studies Aimed at Determining the Wettability of Hydrogels
2.3.4. Behavior of Hydrogels in an Environment of Simulated Physiological Liquids
2.3.5. Investigations on the Release of Active Substance from the Interior of Hydrogel Materials
2.3.6. Assessment of Mechanical Properties of Hydrogels
3. Results and Discussion
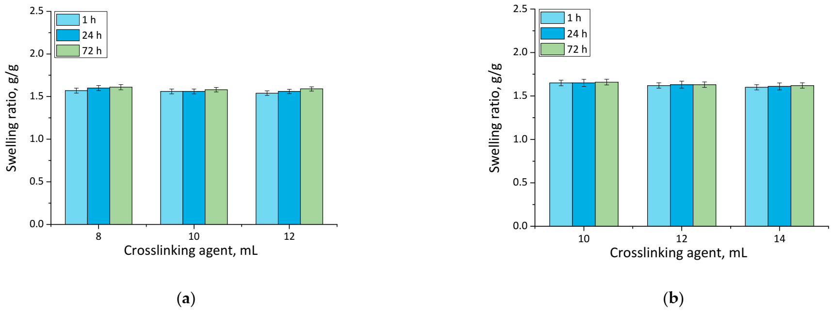
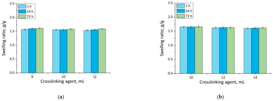
3.1. Results of Swelling Investigations
3.2. Evaluation of the Surface Morphology of Hydrogels
3.3. Analysis of the Wettability of Hydrogels
3.4. Results of Incubation Studies in Simulated Physiological Liquids
3.5. Investigations on the Release of Active Substance from Hydrogel Matrices
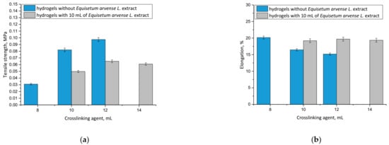
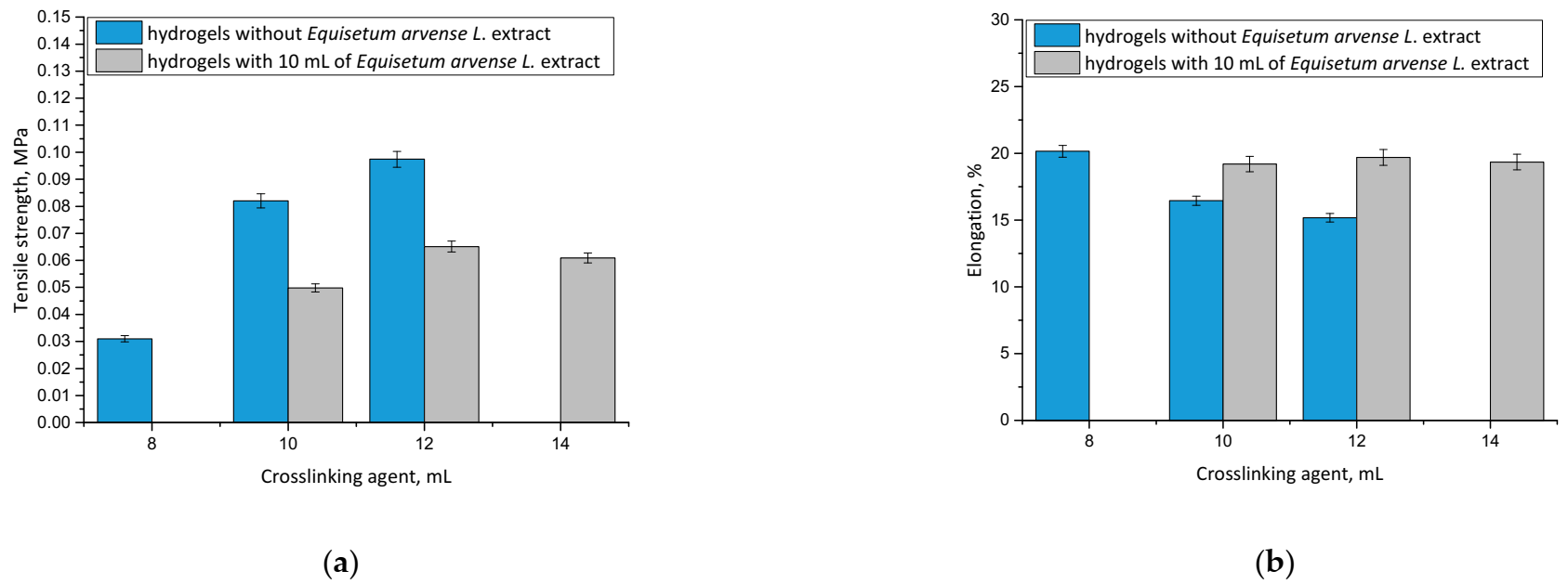
3.6. Analysis of Mechanical Properties of Hydrogels
4. Conclusions
- Developed hydrogels showed swelling properties while their modification with horsetail extract resulted in an increase in their swelling ability;
- The larger the amount of crosslinker used in the synthesis of hydrogels, the lower their swelling capacity. This, in turn, was related to the greater crosslinking density of materials obtained with the larger amount of the crosslinker;
- The increase in the crosslinking density of hydrogels was also reflected in their surface morphology. The higher the crosslinking density, the greater the surface corrugation;
- Hydrogels modified with horsetail extract showed smoother surface than unmodified hydrogels;
- All prepared hydrogels showed hydrophilic nature—contact angles determined for all measured samples were lower than 77°. For hydrogels modified with horsetail extract, lower contact angles (therefore, higher hydrophilicity) were determined than for unmodified samples;
- During incubation of hydrogels in simulated physiological liquids, an initial slight acidification of incubation media was observed, which probably resulted from the release of the horsetail extract from polymer matrices to the tested environments. However, in the course of further measurements, the pH of the liquids stabilized which was, in turn, related to the buffering properties of hydrogels;
- The release of horsetail extract from hydrogel matrices was twice as effective in an acidic environment than in an alkaline one;
- By selecting adequate amounts of both crosslinking agent and modifying agent, it was possible to obtain materials with adequate mechanical properties providing, at the same time, therapeutic activity;
- Developed hydrogel materials modified with horsetail extract showed swelling ability, which provided wound exudate sorption. Furthermore, these materials showed hydrophilic nature which promoted cell proliferation, and were characterized by adequate tensile strength with simultaneous elasticity. Thus, it was assumed that such designed hydrogels show great application potential and are appropriate to be subjected to more advanced studies including, e.g., detailed biological analysis.
Author Contributions
Funding
Institutional Review Board Statement
Informed Consent Statement
Data Availability Statement
Acknowledgments
Conflicts of Interest
References
- Brumberg, V.; Astrelina, T.; Malivanova, T.; Samoilov, A. Modern Wound Dressings: Hydrogel Dressings. Biomedicines 2021, 9, 1235. [Google Scholar] [CrossRef]
- Hu, T.; Lo, A.C.Y. Collagen–Alginate Composite Hydrogel: Application in Tissue Engineering and Biomedical Sciences. Polymers 2021, 13, 1852. [Google Scholar] [CrossRef]
- Zhang, H.; Cheng, J.; Ao, Q. Preparation of Alginate-Based Biomaterials and Their Applications in Biomedicine. Mar. Drugs 2021, 19, 264. [Google Scholar] [CrossRef]
- Malekmohammadi, S.; Sedghi Aminabad, N.; Sabzi, A.; Zarebkohan, A.; Razavi, M.; Vosough, M.; Bodaghi, M.; Maleki, H. Smart and Biomimetic 3D and 4D Printed Composite Hydrogels: Opportunities for Different Biomedical Applications. Biomedicines 2021, 9, 1537. [Google Scholar] [CrossRef]
- Su, J.; Li, J.; Liang, J.; Zhang, K.; Li, J. Hydrogel Preparation Methods and Biomaterials for Wound Dressing. Life 2021, 11, 1016. [Google Scholar] [CrossRef] [PubMed]
- Jirkovec, R.; Samkova, A.; Kalous, T.; Chaloupek, J.; Chvojka, J. Preparation of a Hydrogel Nanofiber Wound Dressing. Nanomaterials 2021, 11, 2178. [Google Scholar] [CrossRef]
- Kovalev, A.V.; Kholmogorskaya, O.V.; Korenkova, M.V. Structural Dynamics of Skin Regeneration after Thermal Burns in Controlled Water Environment. Sys. Rev. Pharm. 2020, 11, 1564–1567. [Google Scholar]
- Jacob, S.; Nair, A.B.; Shah, J.; Sreeharsha, N.; Gupta, S.; Shinu, P. Emerging Role of Hydrogels in Drug Delivery Systems, Tissue Engineering and Wound Management. Pharmaceutics 2021, 13, 357. [Google Scholar] [CrossRef]
- Sannino, A.; Nicolais, L. Concurrent effect of microporosity and chemical structure on the equilibrium sorption properties of cellulose-based hydrogels. Polymer 2005, 46, 4676–4685. [Google Scholar] [CrossRef]
- Lin, W.-C.; Tang, C.-M. Evaluation of Polyvinyl Alcohol/Cobalt Substituted Hydroxyapatite Nanocomposite as a Potential Wound Dressing for Diabetic Foot Ulcers. Int. J. Mol. Sci. 2020, 21, 8831. [Google Scholar] [CrossRef]
- Jeong, J.-O.; Park, J.-S.; Kim, E.J.; Jeong, S.-I.; Lee, J.Y.; Lim, Y.-M. Preparation of Radiation Cross-Linked Poly(Acrylic Acid) Hydrogel Containing Metronidazole with Enhanced Antibacterial Activity. Int. J. Mol. Sci. 2020, 21, 187. [Google Scholar] [CrossRef] [Green Version]
- Jackson, J.; Burt, H.; Lange, D.; Whang, I.; Evans, R.; Plackett, D. The Design, Characterization and Antibacterial Activity of Heat and Silver Crosslinked Poly(Vinyl Alcohol) Hydrogel Forming Dressings Containing Silver Nanoparticles. Nanomaterials 2021, 11, 96. [Google Scholar] [CrossRef]
- Chen, Z.; Zhang, X.; Liang, J.; Ji, Y.; Zhou, Y.; Fang, H. Preparation of Silk Fibroin/Carboxymethyl Chitosan Hydrogel under Low Voltage as a Wound Dressing. Int. J. Mol. Sci. 2021, 22, 7610. [Google Scholar] [CrossRef] [PubMed]
- Amante, C.; Esposito, T.; Del Gaudio, P.; Di Sarno, V.; Porta, A.; Tosco, A.; Russo, P.; Nicolais, L.; Aquino, R.P. A Novel Three-Polysaccharide Blend In Situ Gelling Powder for Wound Healing Applications. Pharmaceutics 2021, 13, 1680. [Google Scholar] [CrossRef] [PubMed]
- Wang, X.; Song, R.; Johnson, M.; He, Z.; Milne, C.; Wang, X.; Lara-Sáez, I.; Xu, Q.; Wang, W. An Injectable Chitosan-Based Self-Healable Hydrogel System as an Antibacterial Wound Dressing. Materials 2021, 14, 5956. [Google Scholar] [CrossRef]
- Diniz, F.R.; Maia, R.C.A.P.; Rannier Andrade, L.; Andrade, L.N.; Vinicius Chaud, M.; da Silva, C.F.; Corrêa, C.B.; de Albuquerque, R.L.C., Jr.; Pereira da Costa, L.; Shin, S.R.; et al. Silver Nanoparticles-Composing Alginate/Gelatin Hydrogel Improves Wound Healing In Vivo. Nanomaterials 2020, 10, 390. [Google Scholar] [CrossRef] [PubMed] [Green Version]
- Khan, M.U.A.; Iqbal, I.; Ansari, M.N.M.; Razak, S.I.A.; Raza, M.A.; Sajjad, A.; Jabeen, F.; Riduan Mohamad, M.; Jusoh, N. Development of Antibacterial, Degradable and pH-Responsive Chitosan/Guar Gum/Polyvinyl Alcohol Blended Hydrogels for Wound Dressing. Molecules 2021, 26, 5937. [Google Scholar] [CrossRef]
- Júnior, D.M.; Hausen, M.A.; Asami, J.; Higa, A.M.; Leite, F.L.; Mambrini, G.P.; Rossi, A.L.; Komatsu, D.; Duek, E.A.D.R. A New Dermal Substitute Containing Polyvinyl Alcohol with Silver Nanoparticles and Collagen with Hyaluronic Acid: In Vitro and In Vivo Approaches. Antibiotics 2021, 10, 742. [Google Scholar] [CrossRef]
- Zhu, J. Bioactive modification of poly(ethylene glycol) hydrogels for tissue engineering. Biomaterials 2010, 31, 4639–4656. [Google Scholar] [CrossRef] [Green Version]
- Sarrigiannidis, S.O.; Rey, J.M.; Dobre, O.; Gonzalez-Garcia, C.; Dalby, M.J.; Salmeron-Sanchez, M. A tough act to follow: Collagen hydrogel modifications to improve mechanical and growth factor loading capabilities. Mater. Today Bio 2021, 10, 100098. [Google Scholar] [CrossRef]
- Li, L.; Yu, F.; Zheng, L.; Wang, R.; Yan, W.; Wang, Z.; Xu, J.; Wu, J.; Shi, D.; Zhu, L.; et al. Natural hydrogels for cartilage regeneraton: Modification, preparation and application. J. Orthop. Transl. 2019, 17, 26–41. [Google Scholar]
- Micale, N.; Citarella, A.; Molonia, M.S.; Speciale, A.; Cimino, F.; Saija, A.; Cristani, M. Hydrogels for the Delivery of Plant-Derived (Poly)Phenols. Molecules 2020, 25, 3254. [Google Scholar] [CrossRef]
- Davoodi-Roodbordeii, F.; Afshar, M.; Haji Abas Tabrizi, F.; Choopani, S.; Torkaman, G.; Moayer, F.; Salimi, M. Topical hydrogel containing Fumaria vaillantii Loisel. extract enhances wound healing in rats. BMC Complement. Altern. Med. 2019, 19, 254. [Google Scholar] [CrossRef] [PubMed]
- Al-Snafi, A.E. The pharmacology of Equisetum arvense—A review. IOSR J. Pharm. 2017, 7, 31–42. [Google Scholar] [CrossRef]
- Mimica-Dukic, N.; Simin, N.; Cvejic, J.; Jovin, E.; Orcic, D.; Bozin, B. Phenolic compounds in field horsetail (Equisetum arvense L.) as natural oxidants. Molecules 2008, 13, 1455–1464. [Google Scholar] [CrossRef] [PubMed] [Green Version]
- Goonoo, N.; Bhaw-Luximon, A. Mimicking growth factors: Role of small molecule scaffold additives in promoting tissue regeneration and repair. RSC. Adv. 2019, 9, 18124–18146. [Google Scholar] [CrossRef] [Green Version]
- Bessa Pereira, C.; Gomes, P.S.; Costa-Rodrigues, J.; Almeida Palmas, R.; Vieira, L.; Ferraz, M.P.; Lopes, M.A.; Fernandes, M.H. Equisetum arvense hydromethanolic extracts in bone tissue regeneration: In vitro osteoblastic modulation and antibacterial activity. Cell Prolif. 2012, 45, 386–396. [Google Scholar] [CrossRef]
- Arbabzadegan, N.; Moghadamnia, A.A.; Kazemi, S.; Nozari, F.; Moudi, E.; Haghanifar, S. Effect of Equisetum arvense extract on bone mineral density in Wistar rats via digital radiography. Casp. J. Intern. Med. 2019, 10, 176–182. [Google Scholar]
- Hegedűs, C.; Muresan, M.; Badale, A.; Bombicz, M.; Varga, B.; Szilágyi, A.; Sinka, D.; Bácskay, I.; Popoviciu, M.; Magyar, I.; et al. SIRT1 Activation by Equisetum arvense L. (Horsetail) Modulates Insulin Sensitivity in Streptozotocin Induced Diabetic Rats. Molecules 2020, 25, 2541. [Google Scholar] [CrossRef]
- Gründemann, C.; Lengen, K.; Sauer, B.; Garcia-Käufer, M.; Zehl, M.; Huber, R. Equisetum arvense (common horsetail) modulates the function of inflammatory immunocompetent cells. BMC Complement. Altern. Med. 2014, 14, 283. [Google Scholar] [CrossRef] [PubMed] [Green Version]
- Pallag, A.; Filip, G.A.; Olteanu, D.; Clichici, S.; Baldea, I.; Jurca, T.; Micle, O.; Vicas, L.; Marian, E.; Soritau, O.; et al. Equisetum arvense L. Extract Induces Antibacterial Activity and Modulates Oxidative Stress, Inflammation, and Apoptosis in Endothelial Vascular Cells Exposed to Hyperosmotic Stress. Oxid. Med. Cell. Longev. 2018, 2018, 3060525. [Google Scholar] [CrossRef] [Green Version]
- Asgharikhatooni, A.; Bani, S.; Hasanpoor, S.; Mohammad Alizade, S.; Javadzadeh, Y. The Effect of Equisetum Arvense (Horse Tail) Ointment on Wound Healing and Pain Intensity After Episiotomy: A Randomized Placebo-Controlled Trial. Iran. Red. Crescent Med. J. 2015, 17, e25637. [Google Scholar] [CrossRef] [Green Version]
- Khan, S.; Ranjha, N.M. Effect of degree of cross-linking on swelling and on drug release of low viscous chitosan/poly(vinyl alcohol) hydrogels. Polym. Bull. 2014, 71, 2133–2158. [Google Scholar] [CrossRef]
- Sievers, J.; Sperlich, K.; Stahnke, T.; Kreiner, C.; Eickner, T.; Martin, H.; Guthoff, R.F.; Schuneman, M.; Bohn, S.; Stachs, O. Determination of hydrogel swelling factors by two established and a novel non-contact continuous method. J. Appl. Polym. Sci. 2021, 138, 50326. [Google Scholar] [CrossRef]
- Zhang, H.; Huang, X.; Jiang, J.; Shang, S.; Song, Z. Hydrogels with high mechanical strength cross-linked by a rosin-based crosslinking agent. RSC Adv. 2017, 7, 42541–42548. [Google Scholar] [CrossRef] [Green Version]
- Mohammed, A.H.; Ahmad, M.B.; Ibrahim, N.A.; Zainuddin, N. Effect of crosslinking concentration on properties of 3-(trimethoxysilyl) propyl methacrylate/N-vinyl pyrrolidone gels. Chem. Cent. J. 2018, 12, 15. [Google Scholar] [CrossRef] [Green Version]
- Dogu, Y.; Okay, O. Swelling–deswelling kinetics of poly (N-isopropylacrylamide) hydrogels formed in PEG solutions. J. Appl. Polym. Sci. 2006, 99, 37–44. [Google Scholar] [CrossRef]
- Song, W.; Mano, J.F. Interactions between cells or proteins and surfaces exhibiting extreme wettabilities. Soft Matter 2013, 9, 2985–2999. [Google Scholar] [CrossRef] [Green Version]
- Groth, T.; Altankov, G. Fibroblast spreading and proliferation on hydrophilic and hydrophobic surfaces is related to tyrosine phosphorylation in focal contacts. J. Biomater. Sci. Polym. Ed. 1995, 7, 297–305. [Google Scholar] [CrossRef]
- Barati, P.; Keshtkar, S.; Aghajafari, A.; Shahbazi, K.; Momeni, A. Inhibition performance and mechanism of Horsetail extract as shale stabilizer. Pet. Explor. Dev. 2016, 43, 522–527. [Google Scholar] [CrossRef]
- Wu, J.; Su, Z.-G.; Ma, G.-H. A thermo- and pH-sensitive hydrogel composed of quaternized chitosan/glycerophosphate. Int. J. Pharm. 2006, 315, 1–11. [Google Scholar] [CrossRef] [PubMed]
- Wong, R.S.H.; Ashton, M.; Dodou, K. Effect of crosslinking agent concentration on the properties of unmedicated hydrogels. Pharmaceutics 2015, 7, 305–319. [Google Scholar] [CrossRef] [Green Version]
- Haryanto; Kim, S.C.; Kim, J.H.; Kim, O.J.; Ku, S.K.; Cho, H.; Han, D.H.; Huh, P. Fabrication of poly(ethylene oxide) hydrogels for wound dressing application using e-beam. Macromol. Res. 2014, 22, 131–138. [Google Scholar] [CrossRef]
- Lai, J.-Y.; Luo, L.-J.; Ma, D.H.K. Effect of cross-linking density on the structures and properties of carbodiimide-treated gelatin matrices as limbal stem cell niches. Int. J. Mol. Sci. 2018, 19, 3294. [Google Scholar] [CrossRef] [Green Version]










| Base Solution, mL | Photoinitiator, mL a | Crosslinking Agent, mL b | Equisetum arvense L. Extract, mL | Sample Name |
|---|---|---|---|---|
| 50.0 | 0.5 | 8.0 | - | 8-0 |
| 10.0 | 10-0 | |||
| 12.0 | 12-0 | |||
| 50.0 | 0.5 | 8.0 * | 10.0 | - |
| 10.0 | 10-10 | |||
| 12.0 | 12-10 | |||
| 14.0 | 14-10 |
| Independent Variable | Sample | * p |
|---|---|---|
| Amount of crosslinking agent | modified | 0.06988 |
| Time | modified | 0.02780 |
| Amount of crosslinking agent | unmodified | 0.40404 |
| Time | unmodified | 0.04495 |
| Independent Variable | Sample | * p |
|---|---|---|
| Amount of crosslinking agent | modified | 0.17837 |
| Time | modified | 0.02440 |
| Amount of crosslinking agent | unmodified | 0.09313 |
| Time | unmodified | 0.03854 |
| Sample Name | Contact Angle ± SD, ° |
|---|---|
| 8-0 | 68.80 ± 1.15 |
| 10-0 | 72.60 ± 1.07 |
| 12-0 | 74.55 ± 1.05 |
| 10-10 | 54.95 ± 0.98 |
| 12-10 | 69.00 ± 1.85 |
| 14-10 | 76.50 ± 1.50 |
Publisher’s Note: MDPI stays neutral with regard to jurisdictional claims in published maps and institutional affiliations. |
© 2021 by the authors. Licensee MDPI, Basel, Switzerland. This article is an open access article distributed under the terms and conditions of the Creative Commons Attribution (CC BY) license (https://creativecommons.org/licenses/by/4.0/).
Share and Cite
Głąb, M.; Drabczyk, A.; Kudłacik-Kramarczyk, S.; Krzan, M.; Tyliszczak, B. Physicochemical Characteristics of Chitosan-Based Hydrogels Modified with Equisetum arvense L. (Horsetail) Extract in View of Their Usefulness as Innovative Dressing Materials. Materials 2021, 14, 7533. https://doi.org/10.3390/ma14247533
Głąb M, Drabczyk A, Kudłacik-Kramarczyk S, Krzan M, Tyliszczak B. Physicochemical Characteristics of Chitosan-Based Hydrogels Modified with Equisetum arvense L. (Horsetail) Extract in View of Their Usefulness as Innovative Dressing Materials. Materials. 2021; 14(24):7533. https://doi.org/10.3390/ma14247533
Chicago/Turabian StyleGłąb, Magdalena, Anna Drabczyk, Sonia Kudłacik-Kramarczyk, Marcel Krzan, and Bożena Tyliszczak. 2021. "Physicochemical Characteristics of Chitosan-Based Hydrogels Modified with Equisetum arvense L. (Horsetail) Extract in View of Their Usefulness as Innovative Dressing Materials" Materials 14, no. 24: 7533. https://doi.org/10.3390/ma14247533
APA StyleGłąb, M., Drabczyk, A., Kudłacik-Kramarczyk, S., Krzan, M., & Tyliszczak, B. (2021). Physicochemical Characteristics of Chitosan-Based Hydrogels Modified with Equisetum arvense L. (Horsetail) Extract in View of Their Usefulness as Innovative Dressing Materials. Materials, 14(24), 7533. https://doi.org/10.3390/ma14247533

