Predictive Modeling of Mechanical Properties of Silica Fume-Based Green Concrete Using Artificial Intelligence Approaches: MLPNN, ANFIS, and GEP
Abstract
:1. Introduction
2. Algorithms for Machine Learning
2.1. Multilayer Perceptron Neural Network (MLPNN)
2.2. Adaptive Neural Fuzzy Detection System (ANFIS)
2.3. Genetic Algorithm and Gene Expression Programming
3. Modeling Dataset and Model Development
4. Models Evaluation Criteria
5. Results and Discussion
5.1. Formulation of the Compressive Strength and Split Tensile Strength of SFC
5.1.1. Model Outcome of MLPNN
5.1.2. Model Outcomes of ANFIS
5.2. Evaluation of GEP Models for Compressive Strength and Split Tensile Strength
Model Outcomes of Gene Expression Programming (GEP)
5.3. Comparison between Ensemble Models and the GEP Model
5.4. Sensitivity Analysis
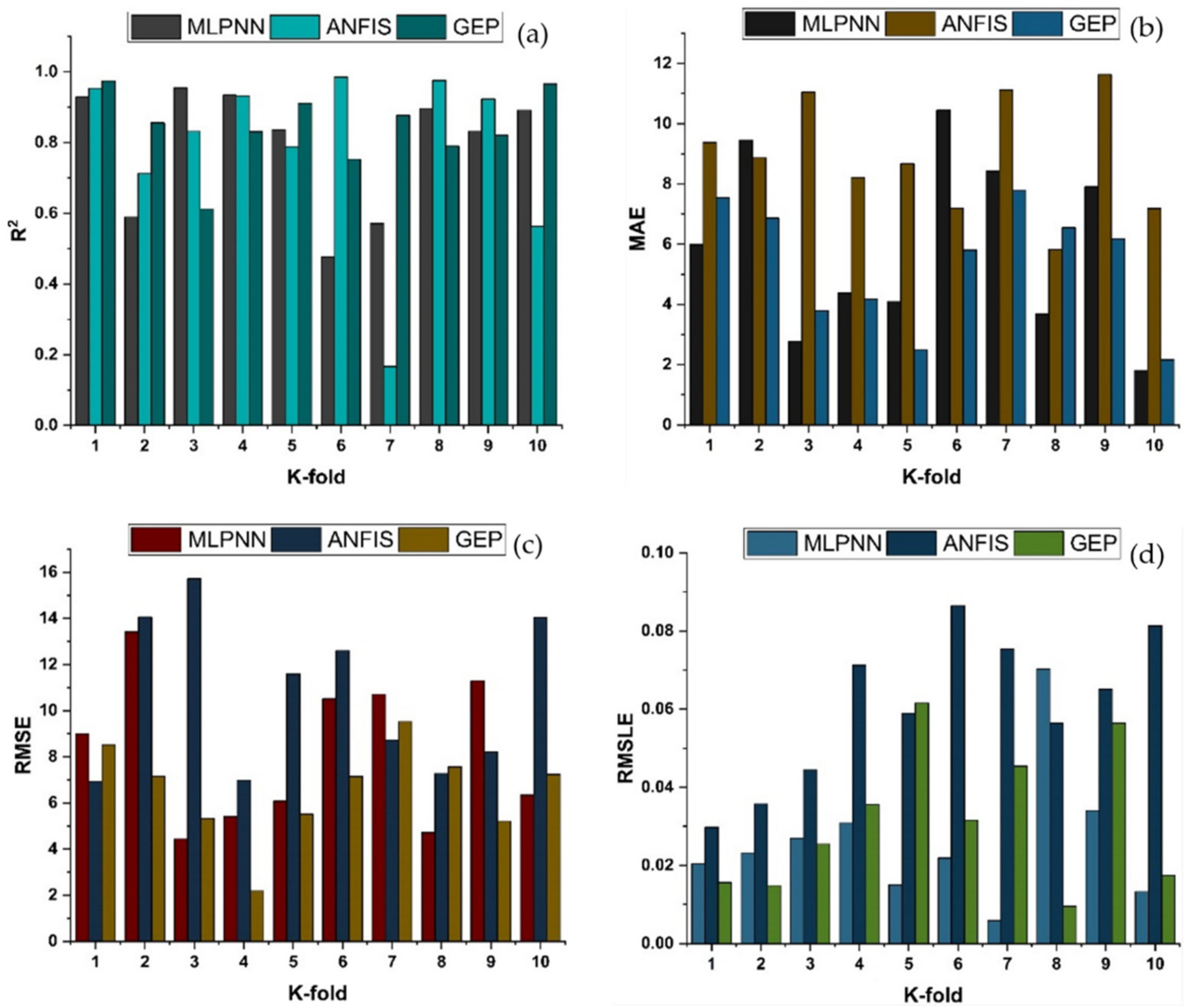
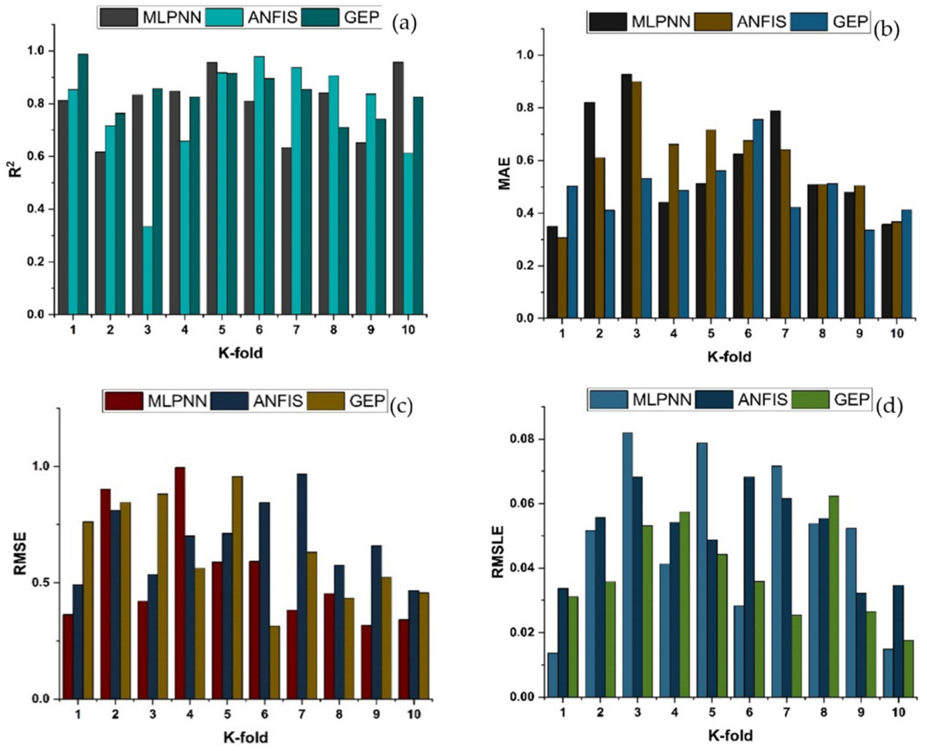
5.5. Cross-Validation
6. Conclusions
- The results of this study indicated that GEP models have higher accuracy for the prediction of data than other ML models.
- After a detailed study, it was observed that the order of accuracy followed by the compressive strength and tensile strength models is: GEP > ANFIS > MLPNN.
- The benefit of GEP is it gives us a new mathematical equation that can be used to predict the properties for another database.
- Sensitivity analysis showed that water and cement are the governing factors in the model development for compressive strength. However, these factors have least effect in tensile strength model development.
- Statistical parameters including R2, MAE, RMSE, and RMSLE were used to check the k-fold validation results. These parameters depicted satisfactory results for all the models.
- Accurate expressions and models can be used to increase the industrial-level utilization of hazardous SF in concrete in construction procedures, rather than accumulating it as industrial waste. This research contributes to sustainable development by lowering energy usage, landfill waste, and greenhouse gas emissions.
7. Limitations and Directions for Future Work
Author Contributions
Funding
Institutional Review Board Statement
Informed Consent Statement
Data Availability Statement
Conflicts of Interest
References
- Arrigoni, A.; Panesar, D.K.; Duhamel, M.; Opher, T.; Saxe, S.; Posen, I.D.; MacLean, H.L. Life cycle greenhouse gas emissions of concrete containing supplementary cementitious materials: Cut-off vs. substitution. J. Clean. Prod. 2020, 263, 121465. [Google Scholar] [CrossRef]
- Benhelal, E.; Zahedi, G.; Shamsaei, E.; Bahadori, A. Global strategies and potentials to curb CO2 emissions in cement industry. J. Clean. Prod. 2013, 51, 142–161. [Google Scholar] [CrossRef]
- Raheem, A.A.; Abdulwahab, R.; Kareem, M.A. Incorporation of metakaolin and nanosilica in blended cement mortar and concrete—A review. J. Clean. Prod. 2021, 290, 125852. [Google Scholar] [CrossRef]
- Akbar, A.; Farooq, F.; Shafique, M.; Aslam, F.; Alyousef, R.; Alabduljabbar, H. Sugarcane bagasse ash-based engineered geopolymer mortar incorporating propylene fibers. J. Build. Eng. 2021, 33, 101492. [Google Scholar] [CrossRef]
- Farooq, F.; Ahmed, W.; Akbar, A.; Aslam, F.; Alyousef, R. Predictive modeling for sustainable high-performance concrete from industrial wastes: A comparison and optimization of models using ensemble learners. J. Clean. Prod. 2021, 292, 126032. [Google Scholar] [CrossRef]
- Farooq, F.; Jin, X.; Faisal Javed, M.; Akbar, A.; Izhar Shah, M.; Aslam, F.; Alyousef, R. Geopolymer concrete as sustainable material: A state of the art review. Constr. Build. Mater. 2021, 306, 124762. [Google Scholar] [CrossRef]
- Panesar, D.K.; Seto, K.E.; Churchill, C.J. Impact of the selection of functional unit on the life cycle assessment of green concrete. Int. J. Life Cycle Assess. 2017, 22, 1969–1986. [Google Scholar] [CrossRef]
- Vishwakarma, V.; Ramachandran, D. Green Concrete mix using solid waste and nanoparticles as alternatives—A review. Constr. Build. Mater. 2018, 162, 96–103. [Google Scholar] [CrossRef]
- Golewski, G.L. Green concrete composite incorporating fly ash with high strength and fracture toughness. J. Clean. Prod. 2018, 172, 218–226. [Google Scholar] [CrossRef]
- Ren, C.; Wang, W.; Yao, Y.; Wu, S.; Yao, X. Complementary use of industrial solid wastes to produce green materials and their role in CO2 reduction. J. Clean. Prod. 2020, 252, 119840. [Google Scholar] [CrossRef]
- Bheel, N.; Ibrahim, M.H.W.; Adesina, A.; Kennedy, C.; Shar, I.A. Mechanical performance of concrete incorporating wheat straw ash as partial replacement of cement. J. Build. Pathol. Rehabil. 2021, 6, 872–893. [Google Scholar] [CrossRef]
- Paul, A.; Hussain, M. Sustainable Use of GGBS and RHA as a Partial Replacement of Cement in the Stabilization of Indian Peat. Int. J. Geosynth. Gr. Eng. 2020, 6. [Google Scholar] [CrossRef]
- Bheel, N.; Adesina, A. Influence of Binary Blend of Corn Cob Ash and Glass Powder as Partial Replacement of Cement in Concrete. Silicon 2020, 13, 1647–1654. [Google Scholar] [CrossRef]
- Garg, R.R.; Garg, R.R. Effect of zinc oxide nanoparticles on mechanical properties of silica fume-based cement composites. Mater. Today Proc. 2020, 43, 778–783. [Google Scholar] [CrossRef]
- Sivakrishna, A.; Adesina, A.; Awoyera, P.O.; Rajesh, K.K. Green Concrete: A Review of Recent Developments; Elsevier: Amsterdam, The Netherlands, 2020. [Google Scholar]
- Mehta, A.; Ashish, D.K. Silica fume and waste glass in cement concrete production: A review. J. Build. Eng. 2020, 29, 100888. [Google Scholar] [CrossRef]
- Keerio, M.A.; Abbasi, S.A.; Kumar, A.; Bheel, N.; Rehaman, K.U.; Tashfeen, M. Effect of Silica Fume as Cementitious Material and Waste Glass as Fine Aggregate Replacement Constituent on Selected Properties of Concrete. Silicon 2020, 10, 921–930. [Google Scholar] [CrossRef]
- Shahmansouri, A.A.; Yazdani, M.; Ghanbari, S.; Akbarzadeh Bengar, H.; Jafari, A.; Farrokh Ghatte, H. Artificial neural network model to predict the compressive strength of eco-friendly geopolymer concrete incorporating silica fume and natural zeolite. J. Clean. Prod. 2021, 279, 123697. [Google Scholar] [CrossRef]
- Siddique, R.; Jameel, A.; Singh, M.; Barnat-Hunek, D.; Aït-Mokhtar, A.; Belarbi, R.; Rajor, A. Effect of bacteria on strength, permeation characteristics and micro-structure of silica fume concrete. Constr. Build. Mater. 2017, 142, 92–100. [Google Scholar] [CrossRef]
- Golafshani, E.M.; Behnood, A. Estimating the optimal mix design of silica fume concrete using biogeography-based programming. Cem. Concr. Compos. 2019, 96, 95–105. [Google Scholar] [CrossRef]
- Behnood, A.; Golafshani, E.M. Predicting the compressive strength of silica fume concrete using hybrid artificial neural network with multi-objective grey wolves. J. Clean. Prod. 2018, 202, 54–64. [Google Scholar] [CrossRef]
- Shah, M.I.; Amin, M.N.; Khan, K.; Niazi, M.S.K.; Aslam, F.; Alyousef, R.; Javed, M.F.; Mosavi, A. Performance evaluation of soft computing for modeling the strength properties of waste substitute green concrete. Sustainablity 2021, 13, 2867. [Google Scholar] [CrossRef]
- Jena, S.; Panigrahi, R. Performance evaluation of sustainable geopolymer concrete produced from ferrochrome slag and silica fume. Eur. J. Environ. Civ. Eng. 2021. [Google Scholar] [CrossRef]
- Guo, Z.; Jiang, T.; Zhang, J.; Kong, X.; Chen, C.; Lehman, D.E. Mechanical and durability properties of sustainable self-compacting concrete with recycled concrete aggregate and fly ash, slag and silica fume. Constr. Build. Mater. 2020, 231, 117115. [Google Scholar] [CrossRef]
- Ahmad, A.; Ostrowski, K.A.; Maślak, M.; Farooq, F.; Mehmood, I.; Nafees, A. Comparative study of supervised machine learning algorithms for predicting the compressive strength of concrete at high temperature. Materials 2021, 14, 4222. [Google Scholar] [CrossRef] [PubMed]
- Luo, X.; Si, Y.; Gu, W. Effect of Silica Fume on Mechanical Properties of Concrete Incorporating Steel Slag Powder. Wuhan Univ. J. Nat. Sci. 2019, 24, 86–92. [Google Scholar] [CrossRef]
- Samad, S.; Shah, A. Role of binary cement including Supplementary Cementitious Material (SCM), in production of environmentally sustainable concrete: A critical review. Int. J. Sustain. Built Environ. 2017, 6, 663–674. [Google Scholar] [CrossRef]
- Amudhavalli, N.K.; Mathew, J. Effects of Silica Fume on the Strength and Durability Parameters of Concrete. Int. J. Eng. Sci. Emerg. Technol. 2012, 3, 28–35. [Google Scholar]
- Burhan, L.; Ghafor, K.; Mohammed, A. Modeling the effect of silica fume on the compressive, tensile strengths and durability of NSC and HSC in various strength ranges. J. Build. Pathol. Rehabil. 2019, 4, 19. [Google Scholar] [CrossRef]
- Van Dao, D.; Ly, H.B.; Vu, H.L.T.; Le, T.T.; Pham, B.T. Investigation and optimization of the C-ANN structure in predicting the compressive strength of foamed concrete. Materials 2020, 13, 1072. [Google Scholar] [CrossRef] [Green Version]
- Shariati, M.; Mafipour, M.S.; Mehrabi, P.; Ahmadi, M.; Wakil, K.; Trung, N.T.; Toghroli, A. Prediction of concrete strength in presence of furnace slag and fly ash using Hybrid ANN-GA (Artificial Neural Network-Genetic Algorithm). Smart Struct. Syst. 2020, 25, 183–195. [Google Scholar] [CrossRef]
- Van Dao, D.; Adeli, H.; Ly, H.B.; Le, L.M.; Le, V.M.; Le, T.T.; Pham, B.T. A sensitivity and robustness analysis of GPR and ANN for high-performance concrete compressive strength prediction using a monte carlo simulation. Sustainablity 2020, 12, 830. [Google Scholar] [CrossRef] [Green Version]
- Abu Yaman, M.; Abd Elaty, M.; Taman, M. Predicting the ingredients of self compacting concrete using artificial neural network. Alex. Eng. J. 2017, 56, 523–532. [Google Scholar] [CrossRef]
- Farooq, F.; Czarnecki, S.; Niewiadomski, P.; Aslam, F.; Alabduljabbar, H.; Ostrowski, K.A.; Śliwa-Wieczorek, K.; Nowobilski, T.; Malazdrewicz, S. A Comparative Study for the Prediction of the Compressive Strength of Self-Compacting Concrete Modified with Fly Ash. Materials 2021, 14, 4934. [Google Scholar] [CrossRef] [PubMed]
- Sun, J.; Zhang, J.; Gu, Y.; Huang, Y.; Sun, Y.; Ma, G. Prediction of permeability and unconfined compressive strength of pervious concrete using evolved support vector regression. Constr. Build. Mater. 2019, 207, 440–449. [Google Scholar] [CrossRef]
- Shah, M.I.; Javed, M.F.; Abunama, T. Proposed formulation of surface water quality and modelling using gene expression, machine learning, and regression techniques. Environ. Sci. Pollut. Res. 2021, 28, 13202–13220. [Google Scholar] [CrossRef] [PubMed]
- Khan, M.A.; Zafar, A.; Akbar, A.; Javed, M.F.; Mosavi, A. Application of gene expression programming (GEP) for the prediction of compressive strength of geopolymer concrete. Materials 2021, 14, 1106. [Google Scholar] [CrossRef]
- Khan, M.A.; Memon, S.A.; Farooq, F.; Javed, M.F.; Aslam, F.; Alyousef, R. Compressive Strength of Fly-Ash-Based Geopolymer Concrete by Gene Expression Programming and Random Forest. Adv. Civ. Eng. 2021, 2021, 6618407. [Google Scholar] [CrossRef]
- Gholampour, A.; Gandomi, A.H.; Ozbakkaloglu, T. New formulations for mechanical properties of recycled aggregate concrete using gene expression programming. Constr. Build. Mater. 2017, 130, 122–145. [Google Scholar] [CrossRef]
- Farooq, F.; Amin, M.N.; Khan, K.; Sadiq, M.R.; Javed, M.F.; Aslam, F.; Alyousef, R. A comparative study of random forest and genetic engineering programming for the prediction of compressive strength of high strength concrete (HSC). Appl. Sci. 2020, 10, 7330. [Google Scholar] [CrossRef]
- Deng, F.; He, Y.; Zhou, S.; Yu, Y.; Cheng, H.; Wu, X. Compressive strength prediction of recycled concrete based on deep learning. Constr. Build. Mater. 2018, 175, 562–569. [Google Scholar] [CrossRef]
- Jang, K.; Kim, N.; An, Y.K. Deep learning–based autonomous concrete crack evaluation through hybrid image scanning. Struct. Heal. Monit. 2019, 18, 1722–1737. [Google Scholar] [CrossRef]
- Liang, X. Image-based post-disaster inspection of reinforced concrete bridge systems using deep learning with Bayesian optimization. Comput. Civ. Infrastruct. Eng. 2019, 34, 415–430. [Google Scholar] [CrossRef]
- Ling, H.; Qian, C.; Kang, W.; Liang, C.; Chen, H. Combination of Support Vector Machine and K-Fold cross validation to predict compressive strength of concrete in marine environment. Constr. Build. Mater. 2019, 206, 355–363. [Google Scholar] [CrossRef]
- Motamedi, S.; Shamshirband, S.; Hashim, R.; Petković, D.; Roy, C. Estimating unconfined compressive strength of cockle shell-cement-sand mixtures using soft computing methodologies. Eng. Struct. 2015, 98, 49–58. [Google Scholar] [CrossRef]
- Chithra, S.; Kumar, S.R.R.S.; Chinnaraju, K.; Alfin Ashmita, F. A comparative study on the compressive strength prediction models for High Performance Concrete containing nano silica and copper slag using regression analysis and Artificial Neural Networks. Constr. Build. Mater. 2016, 114, 528–535. [Google Scholar] [CrossRef]
- Tanyildizi, H. Prediction of the strength properties of carbon fiber-reinforced lightweight concrete exposed to the high temperature using artificial neural network and support vector machine. Adv. Civ. Eng. 2018, 2018, 5140610. [Google Scholar] [CrossRef] [Green Version]
- Naderpour, H.; Rafiean, A.H.; Fakharian, P. Compressive strength prediction of environmentally friendly concrete using artificial neural networks. J. Build. Eng. 2018, 16, 213–219. [Google Scholar] [CrossRef]
- Güçlüer, K.; Özbeyaz, A.; Göymen, S.; Günaydın, O. A comparative investigation using machine learning methods for concrete compressive strength estimation. Mater. Today Commun. 2021, 27, 102278. [Google Scholar] [CrossRef]
- Awoyera, P.O.; Kirgiz, M.S.; Viloria, A.; Ovallos-Gazabon, D. Estimating strength properties of geopolymer self-compacting concrete using machine learning techniques. J. Mater. Res. Technol. 2020, 9, 9016–9028. [Google Scholar] [CrossRef]
- Ziolkowski, P.; Niedostatkiewicz, M. Machine learning techniques in concrete mix design. Materials 2019, 12, 1256. [Google Scholar] [CrossRef] [Green Version]
- Chopra, P.; Sharma, R.K.; Kumar, M.; Chopra, T. Comparison of Machine Learning Techniques for the Prediction of Compressive Strength of Concrete. Adv. Civ. Eng. 2018, 2018, 5481705. [Google Scholar] [CrossRef] [Green Version]
- Han, T.; Siddique, A.; Khayat, K.; Huang, J.; Kumar, A. An ensemble machine learning approach for prediction and optimization of modulus of elasticity of recycled aggregate concrete. Constr. Build. Mater. 2020, 244, 118271. [Google Scholar] [CrossRef]
- Prasad, B.K.R.; Eskandari, H.; Reddy, B.V.V. Prediction of compressive strength of SCC and HPC with high volume fly ash using ANN. Constr. Build. Mater. 2009, 23, 117–128. [Google Scholar] [CrossRef]
- Siddique, R.; Aggarwal, P.; Aggarwal, Y. Prediction of compressive strength of self-compacting concrete containing bottom ash using artificial neural networks. Adv. Eng. Softw. 2011, 42, 780–786. [Google Scholar] [CrossRef]
- Asteris, P.G.; Kolovos, K.G.; Douvika, M.G.; Roinos, K. Prediction of self-compacting concrete strength using artificial neural networks. Eur. J. Environ. Civ. Eng. 2016, 20, s102–s122. [Google Scholar] [CrossRef]
- Belalia Douma, O.; Boukhatem, B.; Ghrici, M.; Tagnit-Hamou, A. Prediction of properties of self-compacting concrete containing fly ash using artificial neural network. Neural Comput. Appl. 2017, 28, 707–718. [Google Scholar] [CrossRef]
- Vakhshouri, B.; Nejadi, S. Prediction of compressive strength of self-compacting concrete by ANFIS models. Neurocomputing 2018, 280, 13–22. [Google Scholar] [CrossRef]
- Sathyan, D.; Anand, K.B.; Prakash, A.J.; Premjith, B. Modeling the Fresh and Hardened Stage Properties of Self-Compacting Concrete using Random Kitchen Sink Algorithm. Int. J. Concr. Struct. Mater. 2018, 12, 24. [Google Scholar] [CrossRef]
- Kaveh, A.; Bakhshpoori, T.; Hamze-Ziabari, S.M. M5′ and mars based prediction models for properties of selfcompacting concrete containing fly ash. Period. Polytech. Civ. Eng. 2018, 62, 281–294. [Google Scholar] [CrossRef] [Green Version]
- Asteris, P.G.; Kolovos, K.G. Self-Compacting concrete strength prediction using surrogate models. Neural Comput. Appl. 2019, 31, 409–424. [Google Scholar] [CrossRef]
- Zhang, J.; Ma, G.; Huang, Y.; Sun, J.; Aslani, F.; Nener, B. Modelling uniaxial compressive strength of lightweight self-compacting concrete using random forest regression. Constr. Build. Mater. 2019, 210, 713–719. [Google Scholar] [CrossRef]
- Selvaraj, S.; Sivaraman, S. Prediction model for optimized self-compacting concrete with fly ash using response surface method based on fuzzy classification. Neural Comput. Appl. 2019, 31, 1365–1373. [Google Scholar] [CrossRef]
- Azimi-Pour, M.; Eskandari-Naddaf, H.; Pakzad, A. Linear and non-linear SVM prediction for fresh properties and compressive strength of high volume fly ash self-compacting concrete. Constr. Build. Mater. 2020, 230, 117021. [Google Scholar] [CrossRef]
- Bušić, R.; Benšić, M.; Miličević, I.; Strukar, K. Prediction models for the mechanical properties of self-compacting concrete with recycled rubber and silica fume. Materials 2020, 13, 1821. [Google Scholar] [CrossRef] [PubMed] [Green Version]
- Golafshani, E.M.; Ashour, A. Prediction of self-compacting concrete elastic modulus using two symbolic regression techniques. Autom. Constr. 2016, 64, 7–19. [Google Scholar] [CrossRef] [Green Version]
- Saha, P.; Debnath, P.; Thomas, P. Prediction of fresh and hardened properties of self-compacting concrete using support vector regression approach. Neural Comput. Appl. 2020, 32, 7995–8010. [Google Scholar] [CrossRef]
- Al-Mughanam, T.; Aldhyani, T.H.H.; Alsubari, B.; Al-Yaari, M. Modeling of compressive strength of sustainable self-compacting concrete incorporating treated palm oil fuel ash using artificial neural network. Sustainability 2020, 12, 9322. [Google Scholar] [CrossRef]
- Balf, F.R.; Kordkheili, H.M.; Kordkheili, A.M. A New Method for Predicting the Ingredients of Self-Compacting Concrete (SCC) Including Fly Ash (FA) Using Data Envelopment Analysis (DEA). Arab. J. Sci. Eng. 2020, 46, 4439–4460. [Google Scholar] [CrossRef]
- Ozoegwu, C.G. Artificial neural network forecast of monthly mean daily global solar radiation of selected locations based on time series and month number. J. Clean. Prod. 2019, 216, 1–13. [Google Scholar] [CrossRef]
- Ferreira, C. Gene Expression Programming: A New Adaptive Algorithm for Solving Problems. arXiv, 2001; arXiv:cs/0102027v3. [Google Scholar]
- Aslam, F.; Farooq, F.; Amin, M.N.; Khan, K.; Waheed, A.; Akbar, A.; Javed, M.F.; Alyousef, R.; Alabdulijabbar, H. Applications of Gene Expression Programming for Estimating Compressive Strength of High-Strength Concrete. Adv. Civ. Eng. 2020, 2020, 8850535. [Google Scholar] [CrossRef]
- Javed, M.F.; Amin, M.N.; Shah, M.I.; Khan, K.; Iftikhar, B.; Farooq, F.; Aslam, F.; Alyousef, R.; Alabduljabbar, H. Applications of Gene Expression Programming and Regression Techniques for Estimating Compressive Strength of Bagasse Ash Based Concrete. Crystals 2020, 10, 737. [Google Scholar] [CrossRef]
- Gandomi, A.H.; Alavi, A.H. A new multi-gene genetic programming approach to nonlinear system modeling. Part I: Materials and structural engineering problems. Neural Comput. Appl. 2012, 21, 171–187. [Google Scholar] [CrossRef]
- Almusallam, A.A.; Beshr, H.; Maslehuddin, M.; Al-Amoudi, O.S.B. Effect of silica fume on the mechanical properties of low quality coarse aggregate concrete. Cem. Concr. Compos. 2004, 26, 891–900. [Google Scholar] [CrossRef]
- Behnood, A.; Ziari, H. Effects of silica fume addition and water to cement ratio on the properties of high-strength concrete after exposure to high temperatures. Cem. Concr. Compos. 2008, 30, 106–112. [Google Scholar] [CrossRef]
- Nili, M.; Afroughsabet, V. Combined effect of silica fume and steel fibers on the impact resistance and mechanical properties of concrete. Int. J. Impact Eng. 2010, 37, 879–886. [Google Scholar] [CrossRef] [Green Version]
- Dotto, J.M.R.; De Abreu, A.G.; Dal Molin, D.C.C.; Müller, I.L. Influence of silica fume addition on concretes physical properties and on corrosion behaviour of reinforcement bars. Cem. Concr. Compos. 2004, 26, 31–39. [Google Scholar] [CrossRef]
- Duval, R.; Kadri, E.H. Influence of silica fume on the workability and the compressive strength of high-performance concretes. Cem. Concr. Res. 1998, 28, 533–547. [Google Scholar] [CrossRef]
- Khedr, S.A.; Idriss, A.F. Resistance of Silica-Fume Concrete to Corrosion-Related Damage. J. Mater. Civ. Eng. 1995, 7, 102–107. [Google Scholar] [CrossRef]
- Dalvand, A.; Sharbatdar, M.K.; Kheyroddin, A.; Nikui, A. Assessment of statistical variations in experimental impact resistance and mechanical properties of silica fume concrete. Sci. Iran. 2014, 21, 1577–1590. [Google Scholar]
- Bhanja, S.; Sengupta, B. Investigations on the compressive strength of silica fume concrete using statistical methods. Cem. Concr. Res. 2002, 32, 1391–1394. [Google Scholar] [CrossRef]
- Giner, V.T.; Ivorra, S.; Baeza, F.J.; Zornoza, E.; Ferrer, B. Silica fume admixture effect on the dynamic properties of concrete. Constr. Build. Mater. 2011, 25, 3272–3277. [Google Scholar] [CrossRef]
- Behnood, A.; Verian, K.P.; Modiri Gharehveran, M. Evaluation of the splitting tensile strength in plain and steel fiber-reinforced concrete based on the compressive strength. Constr. Build. Mater. 2015, 98, 519–529. [Google Scholar] [CrossRef]
- Khan, M.I.; Siddique, R. Utilization of silica fume in concrete: Review of durability properties. Resour. Conserv. Recycl. 2011, 57, 30–35. [Google Scholar] [CrossRef]
- Abdelgader, H.S.; El-Baden, A.S. Effect of silica fume on two-stage concrete strength. In IOP Conference Series: Materials Science and Engineering, Proceedings of the 2nd International Conference on Innovative Materials, Structures and Technologies, Riga, Latvia, 30 September–2 October 2015; IOP Publishing Ltd.: Bristol, UK, 2015; Volume 96. [Google Scholar]
- Esmailpour, M.; Rahmani, K.; Piroti, S. Experimental Evaluation of the Effect of Silica Fume on Compressive, Tensile Strength, Abrasion Resistance, Slump and Impact Test and Water Permability Coefficient of Concrete. J. Appl. Eng. Sci. 2018, 8, 27–36. [Google Scholar] [CrossRef] [Green Version]
- Alexander, M.G.; Magee, B.J. Durability performance of concrete containing condensed silica fume. Cem. Concr. Res. 1999, 29, 917–922. [Google Scholar] [CrossRef]
- Gandomi, A.H.; Roke, D.A. Assessment of artificial neural network and genetic programming as predictive tools. Adv. Eng. Softw. 2015, 88, 63–72. [Google Scholar] [CrossRef]
- Getahun, M.A.; Shitote, S.M.; Abiero Gariy, Z.C. Artificial neural network based modelling approach for strength prediction of concrete incorporating agricultural and construction wastes. Constr. Build. Mater. 2018, 190, 517–525. [Google Scholar] [CrossRef]
- Tsanas, A.; Xifara, A. Accurate quantitative estimation of energy performance of residential buildings using statistical machine learning tools. Energy Build. 2012, 49, 560–567. [Google Scholar] [CrossRef]
- Ahmad, A.; Farooq, F.; Ostrowski, K.A.; Śliwa-Wieczorek, K.; Czarnecki, S. Application of novel machine learning techniques for predicting the surface chloride concentration in concrete containing waste material. Materials 2021, 14, 2297. [Google Scholar] [CrossRef]
- Ahmad, A.; Farooq, F.; Niewiadomski, P.; Ostrowski, K.; Akbar, A.; Aslam, F.; Alyousef, R. Prediction of compressive strength of fly ash based concrete using individual and ensemble algorithm. Materials 2021, 14, 794. [Google Scholar] [CrossRef] [PubMed]

















| S. No | Algorithm Name | Notation | Dataset | Prediction Properties | Year | Waste Material Used | References |
|---|---|---|---|---|---|---|---|
| 1 | Artificial neural network | ANN | 300 | Compressive strength | 2009 | FA | [54] |
| 2 | Artificial neural network | ANN | 80 | Compressive strength | 2011 | FA | [55] |
| 3 | Artificial neural network | ANN | 169 | Compressive strength | 2016 | THE | [56] |
| 4 | Artificial neural network | ANN | 69 | Compressive strength | 2017 | FA | [33] |
| 5 | Artificial neural network | ANN | 114 | Compressive strength | 2017 | FA | [57] |
| 6 | An adaptive neuro-fuzzy inference system | ANFIS | 55 | Compressive strength | 2018 | [58] | |
| 7 | Random Kitchen Sink algorithm | RKSA | 40 | V-funnel test J-ring test Slump test Compressive strength | 2018 | FA | [59] |
| 8 | Multivariate adaptive regression spline | M5 MARS | 114 | Compressive strength Slump test L-box test V-funnel test | 2018 | FA | [60] |
| 9 | Artificial neural network | ANN | 205 | Compressive strength | 2019 | FA GGBFS SF RHA | [61] |
| 10 | Random forest | RF | 131 | Compressive strength | 2019 | FA GGBFS SF | [62] |
| 11 | Intelligent rule-based enhanced multiclass support vector machine and fuzzy rules | IREMSVM-FR with RSM | 114 | Compressive strength | 2019 | FA | [63] |
| 12 | Support vector machine | SVM | Compressive strength | 2020 | FA | [64] | |
| 13 | Multivariate | MV | 21 | Compressive strength | 2020 | Crumb rubber with SF | [65] |
| 14 | Biogeographical-based programming | BBP | 413 | Elastic modulus | SF FA SLAG | [66] | |
| 15 | Support vector machine | SVM | 115 | Slump test L-box test V-funnel test Compressive strength | 2020 | FA | [67] |
| 16 | Adaptive neuro fuzzy inference system | ANFIS with ANN | 7 | Compressive strength | 2020 | POFA | [68] |
| 17 | Data envelopment analysis | DEA | 114 | Compressive strength Slump test L-box test V-funnel test | 2021 | FA | [69] |
| Parameters | Cement | Fine Aggregate | Coarse Aggregate | Water | Silica Fume | Superplasticizer |
|---|---|---|---|---|---|---|
| Statistical Description | ||||||
| Mean | 393.48 | 702.90 | 1062.41 | 185.15 | 38.25 | 2.56 |
| Std error | 3.92 | 13.44 | 10.88 | 1.84 | 2.27 | 0.35 |
| Median | 383.15 | 653.00 | 1040.00 | 175.00 | 26.25 | 0.00 |
| variance | 4359.48 | 51,138.84 | 33,530.89 | 963.29 | 1469.97 | 34.80 |
| Std. dev | 66.02 | 226.13 | 183.11 | 31.03 | 38.34 | 5.89 |
| Kurtosis | −0.15 | −0.51 | 0.20 | 3.66 | 0.57 | 30.00 |
| Skewness | 0.15 | 0.11 | 0.61 | 1.50 | 1.11 | 4.97 |
| Range | 376.00 | 985.36 | 728.00 | 178.87 | 150.00 | 43.00 |
| Min | 224.00 | 184.63 | 702.00 | 135.00 | 0.00 | 0.00 |
| Max | 600.00 | 1170.00 | 1430.00 | 313.87 | 150.00 | 43.00 |
| Sum | 111,354.90 | 198,941.50 | 300,663.20 | 52,397.59 | 10,827.33 | 726.11 |
| Count | 283.00 | 283.00 | 283.00 | 283.00 | 283.00 | 283.00 |
| Training Dataset | ||||||
| Mean | 393.14 | 697.76 | 1067.67 | 185.80 | 36.78 | 2.65 |
| Std error | 4.41 | 14.67 | 11.94 | 2.15 | 2.56 | 0.42 |
| Median | 382.82 | 653.00 | 1040.00 | 176.00 | 26.25 | 0.00 |
| variance | 4404.11 | 48,659.21 | 32,197.86 | 1045.27 | 1483.09 | 40.60 |
| Std. dev | 66.36 | 220.59 | 179.44 | 32.33 | 38.51 | 6.37 |
| Kurtosis | −0.14 | −0.38 | 0.28 | 3.70 | 0.52 | 27.05 |
| Skewness | 0.13 | 0.11 | 0.65 | 1.57 | 1.11 | 4.83 |
| Range | 376.00 | 985.37 | 728.00 | 178.88 | 150.00 | 43.00 |
| Min | 224.00 | 184.63 | 702.00 | 135.00 | 0.00 | 0.00 |
| Max | 600.00 | 1170.00 | 1430.00 | 313.88 | 150.00 | 43.00 |
| Sum | 88,848.53 | 157,693.90 | 240,1294.40 | 41,990.32 | 8313.19 | 599.42 |
| Count | 226.00 | 226.00 | 226.00 | 226.00 | 226.00 | 226.00 |
| Testing Dataset | ||||||
| Mean | 394.85 | 723.64 | 1041.56 | 182.58 | 44.11 | 2.22 |
| Std error | 8.64 | 32.84 | 26.13 | 3.36 | 4.96 | 0.46 |
| Median | 390.00 | 653.00 | 990.00 | 175.00 | 29.62 | 0.00 |
| variance | 4255.64 | 61,470.40 | 38,931.08 | 642.77 | 1399.90 | 11.97 |
| Std. dev | 65.24 | 247.93 | 197.31 | 25.35 | 37.42 | 3.46 |
| Kurtosis | −0.17 | −0.93 | 0.05 | 0.46 | 1.07 | 9.21 |
| Skewness | 0.28 | 0.09 | 0.57 | 0.73 | 1.24 | 2.55 |
| Range | 302.00 | 932.82 | 728.00 | 125.70 | 150.00 | 19.00 |
| Min | 238.00 | 237.19 | 702.00 | 135.20 | 0.00 | 0.00 |
| Max | 540.00 | 1170.00 | 1430.00 | 260.90 | 150.00 | 19.00 |
| Sum | 22,506.35 | 41,247.52 | 59,368.84 | 10,407.28 | 2514.14 | 126.69 |
| Count | 57.00 | 57.00 | 57.00 | 57.00 | 57.00 | 57.00 |
| Parameters | Cement | Fine Aggregate | Coarse Aggregate | Water | Silica Fume | Superplasticizer |
|---|---|---|---|---|---|---|
| Statistical Description | ||||||
| Mean | 386.48 | 756.67 | 1102.91 | 186.36 | 55.33 | 3.57 |
| Std error | 4.64 | 23.17 | 18.24 | 3.05 | 12.57 | 0.18 |
| Median | 375.00 | 912.00 | 980.00 | 169.53 | 26.25 | 3.90 |
| variance | 3212.04 | 79,963.57 | 49,589.84 | 1388.00 | 23,545.85 | 4.98 |
| Std. dev | 56.67 | 282.78 | 222.69 | 37.26 | 153.45 | 2.23 |
| Kurtosis | −0.12 | −1.07 | −0.83 | 2.72 | 30.06 | 1.27 |
| Skewness | 0.73 | −0.39 | 0.28 | 1.68 | 5.49 | 0.40 |
| Range | 234.60 | 985.37 | 728.00 | 178.68 | 953.98 | 10.48 |
| Min | 289.49 | 184.63 | 702.00 | 135.20 | 0.00 | 0.00 |
| Max | 524.09 | 1170.00 | 1430.00 | 313.88 | 953.98 | 10.48 |
| Sum | 57,586.23 | 112,744.40 | 164,334.20 | 27,766.94 | 8244.31 | 531.91 |
| Count | 149.00 | 149.00 | 149.00 | 149.00 | 149.00 | 149.00 |
| Training Dataset | ||||||
| Mean | 388.13 | 749.54 | 1109.50 | 187.36 | 57.08 | 3.55 |
| Std error | 5.79 | 28.83 | 22.72 | 3.85 | 16.18 | 0.22 |
| Median | 375.00 | 912.00 | 980.00 | 169.53 | 26.25 | 3.90 |
| variance | 3212.04 | 79,963.57 | 49,589.84 | 1388.00 | 23,545.85 | 4.98 |
| Std. dev | 57.92 | 288.26 | 227.22 | 38.52 | 161.78 | 2.22 |
| Kurtosis | −0.32 | −1.10 | −0.87 | 2.35 | 27.33 | 1.29 |
| Skewness | 0.60 | −0.33 | 0.18 | 1.61 | 5.25 | 0.38 |
| Range | 234.60 | 985.37 | 728.00 | 178.68 | 953.98 | 10.48 |
| Min | 289.49 | 184.63 | 702.00 | 135.20 | 0.00 | 0.00 |
| Max | 524.09 | 1170.00 | 1430.00 | 313.88 | 953.98 | 10.48 |
| Sum | 38,813.39 | 74,954.21 | 110,950.07 | 18,736.21 | 5707.68 | 354.82 |
| Count | 100.00 | 100.00 | 100.00 | 100.00 | 100.00 | 100.00 |
| Testing Dataset | ||||||
| Mean | 383.12 | 771.23 | 1089.47 | 184.30 | 51.77 | 3.61 |
| Std error | 7.78 | 39.08 | 30.69 | 4.97 | 19.48 | 0.32 |
| Median | 375.00 | 920.00 | 980.00 | 165.00 | 26.25 | 3.90 |
| variance | 2966.32 | 74,850.46 | 46,145.30 | 1212.64 | 18,596.89 | 5.17 |
| Std. dev | 54.46 | 273.59 | 214.81 | 34.82 | 136.37 | 2.27 |
| Kurtosis | 0.63 | −0.97 | −0.61 | 4.14 | 42.05 | 1.47 |
| Skewness | 1.08 | −0.54 | 0.51 | 1.89 | 6.29 | 0.46 |
| Range | 201.59 | 985.37 | 728.00 | 178.68 | 953.98 | 10.48 |
| Min | 322.50 | 184.63 | 702.00 | 135.20 | 0.00 | 0.00 |
| Max | 524.09 | 1170.00 | 1430.00 | 313.88 | 953.98 | 10.48 |
| Sum | 18,772.84 | 37,790.19 | 53,384.14 | 9030.73 | 2536.63 | 177.09 |
| Count | 49.00 | 49.00 | 49.00 | 49.00 | 49.00 | 49.00 |
| Parameters | Abbreviation | Minimum | Maximum |
|---|---|---|---|
| Input Variables | |||
| Binder | C | 224 | 600 |
| Fine Aggregate Coarse Aggregate | FA CA | 184.6 702 | 1170 1430 |
| Water | W | 135 | 313.9 |
| Silica Fume Superplasticizer | SF SP | 0 0 | 150 43 |
| Output Variable | |||
| Compressive Strength | fc’ | 5.66 | 95.9 |
| Parameters | Abbreviation | Minimum | Maximum |
|---|---|---|---|
| Input Variables | |||
| Binder | C | 289.5 | 524.1 |
| Fine Aggregate Coarse Aggregate | FA CA | 184.6 702 | 1170 1430 |
| Water | W | 135 | 313.9 |
| Silica Fume Superplasticizer | SF SP | 0 0 | 954 10.5 |
| Output Variable | |||
| Split Tensile Strength | fst’ | 6.97 | 0.66 |
| Assessment Criteria | Range | Accurate Model |
|---|---|---|
| MAE | [0, ∞) | The Smaller the Better |
| RMSE | [0, ∞) | The Smaller the Better |
| MSLE | [0, ∞) | The Smaller the Better |
| R2 Value | (0,1] | The Bigger the Better |
| Output Parameter | Approach Employed | R Value |
|---|---|---|
| Compressive Strength | MLPNN | 0.85 |
| ANFIS | 0.91 | |
| GEP | 0.97 | |
| Split Tensile Strength | MLPNN | 0.90 |
| ANFIS | 0.92 | |
| GEP | 0.93 |
| Models | MAE | RMSE | RMSLE | R2 Value |
|---|---|---|---|---|
| MLPNN | ||||
| Compressive Strength | 5.28 | 7.25 | 0.065 | 0.85 |
| Split Tensile Strength | 0.41 | 0.51 | 0.059 | 0.90 |
| ANFIS | ||||
| Compressive Strength | 4.18 | 5.69 | 0.056 | 0.91 |
| Split Tensile Strength | 0.26 | 0.40 | 0.052 | 0.92 |
| GEP | ||||
| Compressive Strength | 3.52 | 3.56 | 0.046 | 0.97 |
| Split Tensile Strength | 0.31 | 0.31 | 0.037 | 0.93 |
Publisher’s Note: MDPI stays neutral with regard to jurisdictional claims in published maps and institutional affiliations. |
© 2021 by the authors. Licensee MDPI, Basel, Switzerland. This article is an open access article distributed under the terms and conditions of the Creative Commons Attribution (CC BY) license (https://creativecommons.org/licenses/by/4.0/).
Share and Cite
Nafees, A.; Javed, M.F.; Khan, S.; Nazir, K.; Farooq, F.; Aslam, F.; Musarat, M.A.; Vatin, N.I. Predictive Modeling of Mechanical Properties of Silica Fume-Based Green Concrete Using Artificial Intelligence Approaches: MLPNN, ANFIS, and GEP. Materials 2021, 14, 7531. https://doi.org/10.3390/ma14247531
Nafees A, Javed MF, Khan S, Nazir K, Farooq F, Aslam F, Musarat MA, Vatin NI. Predictive Modeling of Mechanical Properties of Silica Fume-Based Green Concrete Using Artificial Intelligence Approaches: MLPNN, ANFIS, and GEP. Materials. 2021; 14(24):7531. https://doi.org/10.3390/ma14247531
Chicago/Turabian StyleNafees, Afnan, Muhammad Faisal Javed, Sherbaz Khan, Kashif Nazir, Furqan Farooq, Fahid Aslam, Muhammad Ali Musarat, and Nikolai Ivanovich Vatin. 2021. "Predictive Modeling of Mechanical Properties of Silica Fume-Based Green Concrete Using Artificial Intelligence Approaches: MLPNN, ANFIS, and GEP" Materials 14, no. 24: 7531. https://doi.org/10.3390/ma14247531
APA StyleNafees, A., Javed, M. F., Khan, S., Nazir, K., Farooq, F., Aslam, F., Musarat, M. A., & Vatin, N. I. (2021). Predictive Modeling of Mechanical Properties of Silica Fume-Based Green Concrete Using Artificial Intelligence Approaches: MLPNN, ANFIS, and GEP. Materials, 14(24), 7531. https://doi.org/10.3390/ma14247531

