Precipitation Hardening at Elevated Temperatures above 400 °C and Subsequent Natural Age Hardening of Commercial Al–Si–Cu Alloy
Abstract
:1. Introduction
2. Experimental Procedures
3. Results
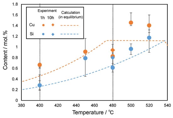
3.1. Solution Treatment
3.2. Artificial Aging at Elevated Temperatures above 400 °C
3.3. Natural Age-Hardening
4. Discussion
4.1. Precipitation at Elevated Temperatures
4.2. Natural-Age Hardening at Ambient Temperature
5. Conclusions
- (1)
- A small increase in the hardness of the AC2B alloy was observed at an elevated temperature of 480 °C. No obvious hardening was observed at higher and lower aging temperatures (450 and 500 °C). The small increase in hardness was attributed to the precipitation of metastable phases associated with the α-Al15(Fe, Mn)3Si2 phase containing a large amount of impurity elements (Fe and Mn). At a lower temperature of 400 °C, slight age hardening appeared, followed by a moderate decrease in hardness. This phenomenon was attributed to the precipitation of stable θ-Al2Cu and Q-Al4Cu2Mg8Si6 phases and their coarsening after a longer duration. The precipitation sequence was rationalized by thermodynamic calculations for the Al–Si–Cu–Fe–Mn–Mg system. These results provide the possibility of maintaining sufficient strength of commercial Al–Si–Cu (+Mg) cast alloys by controlling Mn and Fe impurities.
- (2)
- The natural-age hardening behavior significantly varies depending on the prior artificial aging temperatures ranging from 400 °C to 500 °C. The maximum hardness changed from 75 to 105 HV. The hardness enhanced by natural age hardening is strongly dependent on the solute contents of Cu and Si in the α-Al matrix. These results demonstrate an approach to the control of natural-age hardening by changing the types of precipitates with different constituent elements (for controlling the solute alloy contents) via a cooling process at elevated temperatures above 400 °C.
Author Contributions
Funding
Institutional Review Board Statement
Informed Consent Statement
Data Availability Statement
Acknowledgments
Conflicts of Interest
References
- Stojanovic, B.; Bukvic, M.; Epler, I. Application of aluminum and aluminum alloys in engineering. Appl. Eng. Lett. 2018, 3, 52–62. [Google Scholar] [CrossRef]
- Wallace, G.; Jackson, A.P.; Midson, S.P. Novel method for casting high quality aluminum turbocharger impellers. SAE Int. J. Mater. Manuf. 2010, 3, 405–412. [Google Scholar] [CrossRef]
- Wallace, G.; Jackson, A.P.; Midson, S.P.; Zhu, Q. High-quality aluminum turbocharger impellers produced by thixocasting. Trans. Nonferrous Met. Soc. China 2010, 20, 1786–1791. [Google Scholar] [CrossRef]
- Jackson, A.P.; Wallace, G.R.; Midson, S.P. Semi-solid casting of aluminum turbocharger impellers. Adv. Mater. Process. 2010, 168, 19–22. [Google Scholar]
- Kitaoka, S.; Fujikura, C.; Kamio, A. Aluminum-silicon alloys. J. Jpn. Inst. Light Met. 1988, 7, 426–446. [Google Scholar] [CrossRef] [Green Version]
- Awe, S.A. Solidification and microstructural formation of a ternary eutectic Al-Cu-Si cast alloy. J. King Saud Univ. Eng. Sci. 2021, 33, 569–580. [Google Scholar] [CrossRef]
- Cao, C.; Chen, D.; Fang, X.; Ren, J.; Shen, J.; Meng, L.; Liu, J.; Qiu, L.; Fang, Y. Effects of Cu addition on the microstructure and properties of the Al-Mn-Fe-Si alloy. J. Alloys Compd. 2020, 834, 155–175. [Google Scholar] [CrossRef]
- Bobel, A.; Kim, K.; Wolverton, C.; Walker, M.; Olson, G.B. Equilibrium composition variation of Q-phase precipitates in aluminum alloys. Acta Mater. 2017, 138, 150–160. [Google Scholar] [CrossRef]
- Kim, K.; Bobel, A.; Baik, S.; Walker, M.; Voorhees, P.W.; Olson, G.B. Enhanced coarsening resistance of Q-phase in aluminum alloys by the addition of slow diffusing solutes. Mater. Sci. Eng. A 2018, 735, 318–323. [Google Scholar] [CrossRef]
- Farkoosh, A.R.; Pekguleryuz, M. Enhanced mechanical properties of an Al-Si-Cu-Mg alloy at 300 °C: Effects of Mg and the Q-precipitate phase. Mater. Sci. Eng. A 2015, 621, 277–286. [Google Scholar] [CrossRef]
- Beroual, S.; Boumerzoug, Z.; Paillard, P.; Borjon-Piron, Y. Effects of heat treatment and addition of small amounts of Cu and Mg on the microstructure and mechanical properties of Al-Si-Cu and Al-Si-Mg cast alloys. J. Alloys Compd. 2019, 784, 1026–1035. [Google Scholar] [CrossRef]
- Yuan, B.; Guo, M.; Wu, Y.; Zhang, J.; Zhuang, L.; Lavernia, E.J. Influence of treatment pathways on the precipitation behaviors of Al-Mg-Si-Cu-(Zn)-Mn alloys. J. Alloys Compd. 2019, 797, 26–38. [Google Scholar] [CrossRef]
- Warmuzek, M.; Mr’owka, G.; Sieniawski, J. Influence of the heat treatment on the precipitation of the intermetallic phases in commercial AlMn1FeSi alloy. J. Mater. Process Technol. 2004, 157, 624–632. [Google Scholar] [CrossRef]
- Krupiński, M.; Król, M.; Maniara, R. Heat treatment of Al-Si-Cu alloys. Solid State Phenom. 2018, 275, 15–29. [Google Scholar] [CrossRef]
- Tang, K.; Du, Q.; Li, Y. Modelling microstructure evolution during casting, homogenization and ageing heat treatment of Al-Mg-Si-Cu-Fe-Mn alloys. Calphad 2018, 63, 164–184. [Google Scholar] [CrossRef]
- Beck, S.C.; Rutherford, B.A.; Avery, D.Z.; Phillips, B.J.; Rao, H.; Rekha, M.Y.; Brewer, L.N.; Allison, P.G.; Jordon, J.B. The effect of solutionizing and artificial ageing on the microstructure and mechanical properties in solid-state additive manufacturing of precipitation hardened Al–Mg–Si alloy. Mater. Sci. Eng. A 2021, 819, 141351. [Google Scholar] [CrossRef]
- Belov, N.A.; Korotkova, N.O.; Akopyan, T.K.; Pesin, A.M. Phase composition and mechanical properties of Al-1.5%Cu-1.5%Mn-0.35%Zr(Fe,Si) wire alloy. J. Alloys Compd. 2019, 782, 735–746. [Google Scholar] [CrossRef]
- Yang, B.; Milkereit, B.; Zhang, Y.; Rometsch, P.A.; Kessler, O. Continuous cooling precipitation diagram of aluminium alloy AA7150 based on a new fast scanning calorimetry and interrupted quenching method. Mater Charact. 2016, 120, 30–37. [Google Scholar] [CrossRef]
- Falahati, A.; Wu, J.; Lang, P.; Ahmadi, M.R.; Povoden-Karadeniz, E.; Kozeschnik, E. Assessment of parameters for precipitation simulation of heat treatable aluminum alloys using differential scanning calorimetry. Trans. Nonferrous Met. Soc. China 2014, 24, 2157–2167. [Google Scholar] [CrossRef]
- Milkereit, B.; Wanderka, N.; Schick, C.; Kessler, O. Continuous cooling precipitation diagrams of Al–Mg–Si alloys. Mater. Sci. Eng. A 2012, 550, 87–96. [Google Scholar] [CrossRef]
- Milkereit, B.; Beck, M.; Reich, M.; Kessler, O.; Schick, C. Precipitation kinetics of an aluminium alloy during Newtonian cooling simulated in a differential scanning calorimeter. Thermochim. Acta 2011, 522, 86–95. [Google Scholar] [CrossRef]
- Sjölander, E.; Seifeddine, S. The heat treatment of Al–Si–Cu–Mg casting alloys. J. Mater. Process Technol. 2010, 210, 1249–1259. [Google Scholar] [CrossRef] [Green Version]
- Miyoshi, H.; Kimizuka, H.; Ishii, A.; Ogata, S. Temperature-dependent nucleation kinetics of Guinier-Preston zones in Al–Cu alloys: An atomistic kinetic Monte Carlo and classical nucleation theory approach. Acta Mater. 2017, 138, 150–160. [Google Scholar] [CrossRef]
- Aruga, Y.; Kozuka, M.; Takaki, Y.; Sato, T. Effects of natural ageing after pre-ageing on clustering and bake-hardening behavior in an Al-Mg-Si alloy. Scr. Mater. 2016, 116, 82–86. [Google Scholar] [CrossRef] [Green Version]
- Takaki, Y.; Masuda, T.; Kobayashi, E.; Sato, T. Effect of natural ageing on bake hardening behavior of Al-Mg-Si alloys with multi-step ageing process. Mater. Trans. 2014, 55, 1257–1265. [Google Scholar] [CrossRef] [Green Version]
- Zhu, S.; Li, Z.; Yan, L.; Li, X.; Huang, S.; Yan, H.; Zhang, Y.; Xiong, B. Natural ageing behavior in pre-aged Al-Mg-Si-Cu alloys with and without Zn addition. J. Alloys Compd. 2019, 773, 496–502. [Google Scholar] [CrossRef]
- Callister, W.D.; Rethwisch, D.G. Materials Science and Engineering, 8th ed.; John Wiley & Sons: Hoboken, NJ, USA, 2011; pp. 367–370. [Google Scholar]
- Cooper, M. The crystal structure of the ternary alpha (AlFeSi). Acta Crystallogr. 1967, 23, 1106–1107. [Google Scholar] [CrossRef]
- Gao, T.; Hueral, K. Morphological evolution and strengthening behavior of α-Al(Fe,Mn)Si in Al-6Si-2Fe-xMn alloys. Result Phys. 2017, 7, 1051–1054. [Google Scholar] [CrossRef]
- Becker, H.; Bergh, T.; Vullum, P.E.; Leineweber, A.; Li, Y. Effect of Mn and cooling rates on α-, β- and δ-Al-Fe-Si intermetallic phase formation in a secondary Al-Si alloy. Materialia 2019, 5, 100198. [Google Scholar] [CrossRef]
- Romming, C.; Hansen, V.; Gjonnes, J. Crystal structure of beta-Al4.5FeSi. Acta Crystal. 1994, 50B, 307–312. [Google Scholar] [CrossRef]
- Takata, N.; Kodaira, H.; Sekizawa, K.; Suzuki, A.; Kobashi, M. Change in microstructure of selectively laser melted AlSi10Mg alloy with heat treatments. Mater. Sci. Eng. A 2017, 704, 218–228. [Google Scholar] [CrossRef]
- Arnberg, L.; Aurivilius, B. The crystal structure of AlxCu2Mg12-xSi7, (h-AlCuMgSi). Acta Chem. Scand. Ser. A Phys. Inorg. Chem. 1980, 34A, 1–5. [Google Scholar] [CrossRef] [Green Version]
- Meetsma, A.; de Boer, J.L.; van Smaalen, S. Refinement of the crystal structure of tetragonal Al2Cu. J. Solid State Chem. 1989, 83, 370–372. [Google Scholar] [CrossRef]
- Bals, S.; Kabius, B.; Haider, M.; Radmilovic, V.; Kisielowski, C. Annular dark field imaging in a TEM. Solid State Commun. 2004, 130, 675–680. [Google Scholar] [CrossRef]
- Zuo, L.; Ye, B.; Feng, J.; Kong, X.; Jiang, H.; Ding, W. Effect of Q-Al5Cu2Mg8Si6 phase on mechanical properties of Al-Si-Cu-Mg alloy at elevated temperature. Mater. Sci. Eng. A 2017, 693, 26–32. [Google Scholar] [CrossRef]
- Lodgaard, L.; Ryum, N. Precipitation of dispersoids containing Mn and/or Cr in Al–Mg–Si alloys. Mater. Sci. Eng. A 2000, 283, 144–152. [Google Scholar] [CrossRef]
- Allen, C.M.; O’Reilly, K.A.Q.; Cantor, B.; Evans, P.V. Intermetallic phase selection in 1XXX Al alloys. Prog. Mater. Sci. 1998, 43, 89–170. [Google Scholar] [CrossRef]
- Khalifa, W.; Samuel, F.H.; Gruzleski, J.E. Iron Intermetallic Phases in the Al Corner of the Al-Si-Fe System. Metall. Mater. Trans. A 2003, 34, 807–825. [Google Scholar] [CrossRef]
- Chang, Y.A.; Chen, S.; Zhang, F.; Yan, X.; Xie, F.; Schmid-Fetzer, R.; Oates, W.A. Phase diagram calculation: Past, present and future. Prog. Mater. Sci. 2004, 49, 313–345. [Google Scholar] [CrossRef]
- Yan, X.Y.; Chang, Y.A.; Xie, F.Y.; Chen, S.L.; Zhang, F.; Daniel, S. Calculated phase diagrams of aluminum alloys from binary Al–Cu to multicomponent commercial alloys. J. Alloys Compd. 2001, 320, 151–160. [Google Scholar] [CrossRef]
- CompuTherm LLC, PanAluminum, Thermodynamic Database for Multi-Component Aluminum-Rich Casting and Wrought Alloys. Available online: https://computherm.com/?docs=pandat-database-manual/database-overview (accessed on 1 May 2021).
- Porter, D.A.; Easterling, K.E.; Sherif, M.Y. Phase Transformations in Metals and Alloys, 3rd ed.; CRC Press: Boca Raton, FL, USA, 2009. [Google Scholar]















| Cu | Si | Mg | Zn | Fe | Mn | Ni | Ti | Pb | Sn | Cr | |
|---|---|---|---|---|---|---|---|---|---|---|---|
| Nominal | 2.0–4.0 | 5.0–7.0 | ≤0.5 | ≤1.0 | ≤1.0 | ≤0.5 | ≤0.35 | ≤0.2 | ≤0.2 | ≤0.1 | ≤0.15 |
| ICP analyzed | 2.40 | 6.35 | 0.29 | 0.28 | 0.42 | 0.30 | 0.03 | 0.05 | 0.01 | 0.01 | 0.03 |
Publisher’s Note: MDPI stays neutral with regard to jurisdictional claims in published maps and institutional affiliations. |
© 2021 by the authors. Licensee MDPI, Basel, Switzerland. This article is an open access article distributed under the terms and conditions of the Creative Commons Attribution (CC BY) license (https://creativecommons.org/licenses/by/4.0/).
Share and Cite
Li, R.; Takata, N.; Suzuki, A.; Kobashi, M.; Okada, Y.; Furukawa, Y. Precipitation Hardening at Elevated Temperatures above 400 °C and Subsequent Natural Age Hardening of Commercial Al–Si–Cu Alloy. Materials 2021, 14, 7155. https://doi.org/10.3390/ma14237155
Li R, Takata N, Suzuki A, Kobashi M, Okada Y, Furukawa Y. Precipitation Hardening at Elevated Temperatures above 400 °C and Subsequent Natural Age Hardening of Commercial Al–Si–Cu Alloy. Materials. 2021; 14(23):7155. https://doi.org/10.3390/ma14237155
Chicago/Turabian StyleLi, Ruoqi, Naoki Takata, Asuka Suzuki, Makoto Kobashi, Yuji Okada, and Yuichi Furukawa. 2021. "Precipitation Hardening at Elevated Temperatures above 400 °C and Subsequent Natural Age Hardening of Commercial Al–Si–Cu Alloy" Materials 14, no. 23: 7155. https://doi.org/10.3390/ma14237155
APA StyleLi, R., Takata, N., Suzuki, A., Kobashi, M., Okada, Y., & Furukawa, Y. (2021). Precipitation Hardening at Elevated Temperatures above 400 °C and Subsequent Natural Age Hardening of Commercial Al–Si–Cu Alloy. Materials, 14(23), 7155. https://doi.org/10.3390/ma14237155

