Impact of Li3BO3 Addition on Solid Electrode-Solid Electrolyte Interface in All-Solid-State Batteries
Abstract
:1. Introduction
2. Materials and Methods
3. Results and Discussion
3.1. Determination of Heat Treatment Conditions for LiCoO2- and Li4Ti5O12-Based Composite Electrodes
3.2. LiCoO2/Li3BO3 Composite Cathode
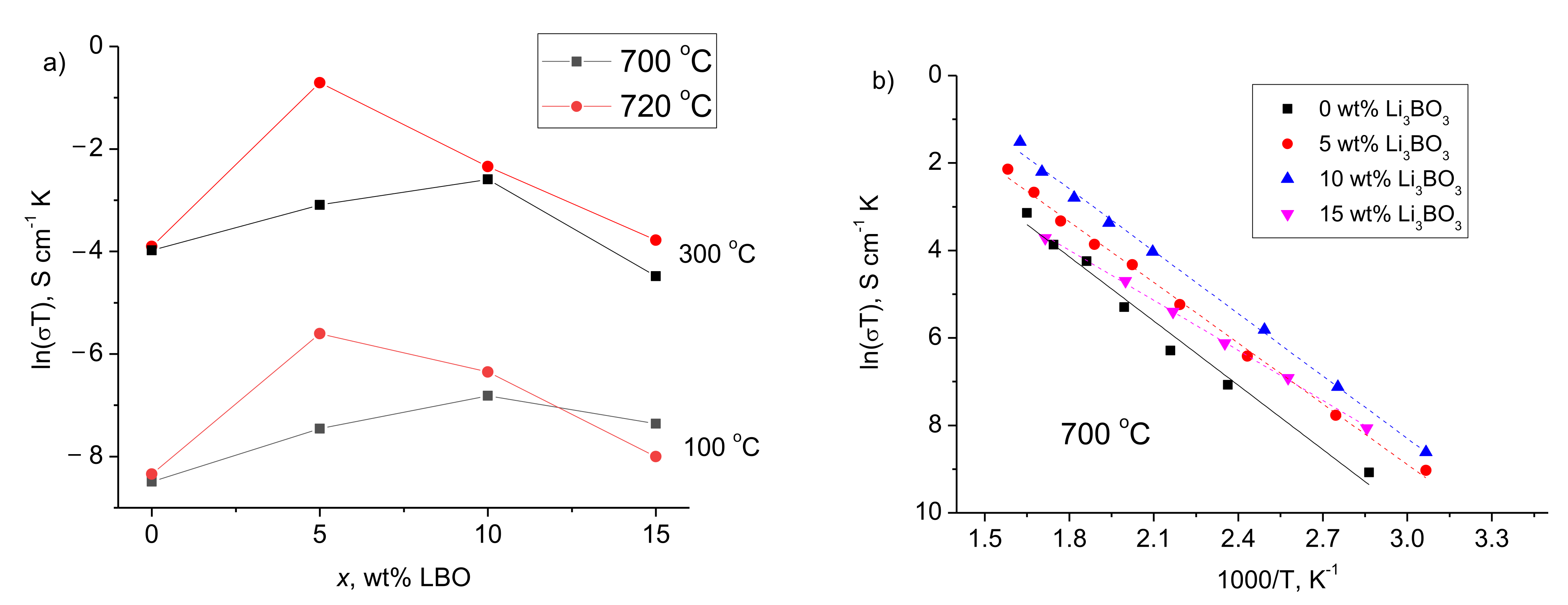
3.3. Li4Ti5O12/Li3BO3 Composite Anode
4. Conclusions
Author Contributions
Funding
Institutional Review Board Statement
Informed Consent Statement
Data Availability Statement
Acknowledgments
Conflicts of Interest
References
- Kim, J.G.; Son, B.; Mukherjee, S.; Schuppert, N.; Bates, A.; Kwon, O.; Choi, M.J.; Chung, H.Y.; Park, S. A review of lithium and non-lithium based solid-state batteries. J. Power Sources 2015, 282, 299–322. [Google Scholar] [CrossRef]
- Chen, L.; Huang, Y.F.; Ma, J.; Ling, H.; Kang, F.; He, Y.B. Progress and perspective of all-solid-state lithium batteries with high performance at room temperature. Energy Fuels 2020, 34, 13456–13472. [Google Scholar] [CrossRef]
- Banerjee, A.; Wang, X.; Fang, C.; Wu, E.A.; Meng, Y.S. Interfaces and Interphases in All-Solid-State Batteries with Inorganic Solid Electrolytes. Chem. Rev. 2020, 120, 6878–6933. [Google Scholar] [CrossRef] [PubMed]
- Alexander, G.V.; Indu, M.S.; Murugan, R. Review on the critical issues for the realization of all-solid-state lithium metal batteries with garnet electrolyte: Interfacial chemistry, dendrite growth, and critical current densities. Ionics 2021, 27, 4105–4126. [Google Scholar] [CrossRef]
- Kammampata, S.P.; Thangadurai, V. Cruising in ceramics—discovering new structures for all-solid-state batteries—fundamentals, materials, and performances. Ionics 2018, 24, 639–660. [Google Scholar] [CrossRef]
- Liu, Q.; Geng, Z.; Han, C.; Fu, Y.; Li, S.; He, Y.B.; Kang, F.; Li, B. Challenges and perspectives of garnet solid electrolytes for all solid-state lithium batteries. J. Power Sources 2018, 389, 120–134. [Google Scholar] [CrossRef]
- Zheng, F.; Kotobuki, M.; Song, S.; Lai, M.O.; Lu, L. Review on solid electrolytes for all-solid-state lithium-ion batteries. J. Power Sources 2018, 389, 198–213. [Google Scholar] [CrossRef]
- Takada, K. Progress in solid electrolytes toward realizing solid-state lithium batteries. J. Power Sources 2018, 394, 74–85. [Google Scholar] [CrossRef]
- Ramakumar, S.; Deviannapoorani, C.; Dhivya, L.; Shankar, L.S.; Murugan, R. Lithium garnets: Synthesis, structure, Li+ conductivity, Li+ dynamics and applications. Prog. Mater. Sci 2017, 88, 325–411. [Google Scholar] [CrossRef]
- Murugan, R.; Thangadurai, V.; Weppner, W. Fast lithium ion conduction in garnet-type Li7La3Zr2O12. Angew. Chem. Int. Ed. 2007, 46, 7778–7781. [Google Scholar] [CrossRef]
- Indu, M.S.; Alexander, G.V.; Sreejith, O.V.; Abraham, S.E.; Murugan, R. Lithium garnet-cathode interfacial chemistry: Inclusive insights and outlook toward practical solid-state lithium metal batteries. Mater. Today Energy 2021, 21, 100804. [Google Scholar] [CrossRef]
- Xiao, Y.; Wang, Y.; Bo, S.H.; Kim, J.C.; Miara, L.J.; Ceder, G. Understanding interface stability in solid-state batteries. Nat. Rev. Mater. 2020, 5, 105–126. [Google Scholar] [CrossRef]
- Callegari, D.; Colombi, S.; Nitti, A.; Simari, C.; Nicotera, I.; Ferrara, C.; Mustarelli, P.; Pasini, D.; Quartarone, E. Autonomous Self-Healing Strategy for Stable Sodium-Ion Battery: A Case Study of Black Phosphorus Anodes. ACS Appl. Mater. Interfaces 2021, 13, 13170–13182. [Google Scholar] [CrossRef] [PubMed]
- Shiraki, S.; Shirasawa, T.; Suzuki, T.; Kawasoko, H.; Shimizu, R.; Hitosug, T. Atomically Well-Ordered Structure at Solid Electrolyte and Electrode Interface Reduces the Interfacial Resistance. ACS Appl. Mater. Interfaces 2018, 10, 41732–41737. [Google Scholar] [CrossRef] [PubMed]
- Pershina, S.V.; Druzhinin, K.V.; Shevelin, P.Y.; Raskovalov, A.A. Cathode half-cell of all-solid-state battery, modified with LiPO3 glass. Russ. J. Appl. Chem 2016, 89, 904–908. [Google Scholar] [CrossRef]
- Nishio, K.; Horiba, K.; Nakamura, N.; Kitamura, M.; Kumigashira, H.; Shimizu, R.; Hitosugi, T. Bottom-current-collector-free thin-film batteries using LiNi0.8Co0.2O2 epitaxial thin films. J. Power Sources 2019, 416, 56–61. [Google Scholar] [CrossRef]
- Alexander, G.V.; Rosero-Navarro, N.C.; Miura, A.; Tadanage, K.; Murugan, R. Electrochemical performance of a garnet solid electrolyte based lithium metal battery with interface modification. J. Mater. Chem. A 2018, 42, 21018–21028. [Google Scholar] [CrossRef]
- Ohta, S.; Komagata, S.; Seki, J.; Saeki, T.; Morishita, S.; Asaoka, T. All-solid-state lithium ion battery using garnet-type oxide and Li3BO3 solid electrolytes fabricated by screen-printing. J. Power Sources 2013, 238, 53–56. [Google Scholar] [CrossRef]
- Liu, T.; Ren, Y.; Shen, Y.; Zhao, S.-X.; Lin, Y.; Nan, C.-W. Achieving high capacity in bulk-type solid-state lithium ion battery based on Li6.75La3Zr1.75Ta0.25O12 electrolyte: Interfacial resistance. J. Power Sources 2016, 324, 349–357. [Google Scholar] [CrossRef]
- Park, K.; Yu, B.-C.; Jung, J.-W.; Li, Y.; Zhou, W.; Gao, H.; Son, S.; Goodenough, J.B. Electrochemical nature of the cathode interface for a solid-state lithium-ion battery: Interface between LiCoO2 and garnet-Li7La3Zr2O12. Chem. Mater. 2016, 28, 8051–8059. [Google Scholar] [CrossRef]
- Kato, T.; Hamanaka, T.; Yamamoto, K.; Hirayama, T.; Sagane, F.; Motoyama, M.; Iriyama, Y. In-situ Li7La3Zr2O12/LiCoO2 interface modification for advanced all-solid-state battery. J. Power Sources 2014, 260, 292–298. [Google Scholar] [CrossRef] [Green Version]
- Hommo, K.; Shoji, M.; Munakata, H.; Kanamura, K. Interfacial formation between LiCoO2 and Li6.25Al0.25La3Zr2O12 using lithium-ion conductive liquids. In Proceedings of the 2nd World Conference on Solid Electrolytes for Advanced Applications: Garnets and Competitors, Shizuoka, Japan, 23–27 September 2019; p. 78. [Google Scholar]
- Chen, R.-J.; Zhang, Y.-B.; Liu, T.; Xu, B.; Shen, Y.; Li, L.; Lin, Y.-H.; Nan, C.-W. All-Solid-State Lithium Battery with High Capacity Enabled by a New Way of Composite Cathode Design. Solid State Ion 2017, 310, 44–49. [Google Scholar] [CrossRef]
- Luo, W.; Gong, Y.; Zhu, Y.; Li, Y.; Yao, Y.; Zhang, Y.; Fu, K. (Kelvin); Pastel, G.; Lin, C.; Mo, Y.; et al. Reducing Interfacial Resistance between Garnet-Structured Solid-State Electrolyte and Li-Metal Anode by a Germanium Layer. Adv. Mater. 2017, 29, 1606042. [Google Scholar] [CrossRef] [PubMed]
- Zhu, Y.; Gonzalez-Rosillo, J.C.; Balaish, M.; Hood, Z.D.; Kim, K.J.; Rupp, J.L.M. Lithium-Film Ceramics for Solid-State Lithionic Devices. Nat. Rev. Mater. 2021, 6, 313–331. [Google Scholar] [CrossRef]
- Sun, C.; Liu, J.; Gong, Y.; Wilkinson, D.P.; Zhang, J. Recent Advances in All-Solid-State Rechargeable Lithium Batteries. Nano Energy 2017, 33, 363–386. [Google Scholar] [CrossRef] [Green Version]
- Chen, K.; Shen, Y.; Jiang, J.; Zhang, Y.; Lin, Y.; Nan, C.-W. High Capacity and Rate Performance of LiNi0.5Co0.2Mn0.3O2 Composite Cathode for Bulk-Type All-Solid-State Lithium Battery. J. Mater. Chem. A 2014, 2, 13332. [Google Scholar] [CrossRef]
- Bensalah, N.; Dawood, H. Review on Synthesis, Characterizations, and Electrochemical Properties of Cathode Materials for Lithium Ion Batteries. J. Material. Sci. Eng 2016, 5, 1000258. [Google Scholar] [CrossRef] [Green Version]
- Liu, T.; Zhang, Y.; Zhang, X.; Wang, L.; Zhao, S.-X.; Lin, Y.-H.; Shen, Y.; Luo, J.; Li, L.; Nan, C.-W. Enhanced Electrochemical Performance of Bulk Type Oxide Ceramic Lithium Batteries Enabled by Interface Modification. J. Mater. Chem. A 2018, 6, 4649–4657. [Google Scholar] [CrossRef]
- Hao, Y.; Lai, Q.; Liu, D.; Xu, Z.; Ji, X. Synthesis by Citric Acid Sol–Gel Method and Electrochemical Properties of Li4Ti5O12 Anode Material for Lithium-Ion Battery. Mater. Chem. Phys. 2005, 94, 382–387. [Google Scholar] [CrossRef]
- Huang, S.H.; Wen, Z.Y.; Zhang, J.C.; Gu, Z.H.; Xu, X.H. Li4Ti5O12/Ag Composite as Electrode Materials for Lithium-Ion Battery. Solid State Ion. 2006, 177, 851–855. [Google Scholar] [CrossRef]
- Hsiao, K.-C.; Liao, S.-C.; Chen, J.-M. Microstructure Effect on the Electrochemical Property of Li4Ti5O12 as an Anode Material for Lithium-Ion Batteries. Electrochim. Acta 2008, 53, 7242–7247. [Google Scholar] [CrossRef]
- Pfenninger, R.; Afyon, S.; Garbayo, I.; Struzik, M.; Rupp, J.L.M. Lithium Titanate Anode Thin Films for Li-Ion Solid State Battery Based on Garnets. Adv. Funct. Mater. 2018, 28, 1800879. [Google Scholar] [CrossRef]
- Van den Broek, J.; Afyon, S.; Rupp, J.L.M. Interface-Engineered All-Solid-State Li-Ion Batteries Based on Garnet-Type Fast Li+ Conductors. Adv. Energy Mater. 2016, 6, 1600736. [Google Scholar] [CrossRef] [Green Version]
- Van den Broek, J.; Rupp, J.L.M.; Afyon, S. Boosting the Electrochemical Performance of Li-Garnet Based All-Solid-State Batteries with Li4Ti5O12 Electrode: Routes to Cheap and Large Scale Ceramic Processing. J. Electroceram 2017, 38, 182–188. [Google Scholar] [CrossRef]
- Yoshima, K.; Harada, Y.; Takami, N. Thin Hybrid Electrolyte Based on Garnet-Type Lithium-Ion Conductor Li7La3Zr2O12 for 12 V-Class Bipolar Batteries. J. Power Sources 2016, 302, 283–290. [Google Scholar] [CrossRef]
- Zhuravlev, V.D.; Nefedova, K.V.; Evschik, E.Y.; Sherstobitova, E.A.; Kolmakov, V.G.; Dobrovolsky, Y.A.; Porotnikova, N.M.; Korchun, A.V.; Shikhovtseva, A.V. Effect of Lithium Borate Coating on the Electrochemical Properties of LiCoO2 Electrode for Lithium-Ion Batteries. Chim. Tech. Acta 2020, 8, 20218101. [Google Scholar] [CrossRef]
- Il’ina, E.A.; Antonov, B.D.; Vlasov, M.I. Stability Investigations of Composite Solid Electrolytes Based on Li7La3Zr2O12 in Contact with LiCoO2. Solid State Ion. 2020, 356, 115452. [Google Scholar] [CrossRef]
- Pershina, S.V.; Antonov, B.D.; Farlenkov, A.S. Optimization of Technology for Synthesis of Li4Ti5O12 Anode Materials for Lithium-Ion Batteries. Russ. J. Appl. Chem 2021, 94, 30–37. [Google Scholar] [CrossRef]
- Raskovalov, A.A.; Pershina, S.V.; Reznitskikh, O.G.; Denisova, T.A.; Nevmyvako, R.D. The Transport Properties of the Composition Glassy LiPO3/Crystalline SiO2 System. Ionics 2015, 21, 695–704. [Google Scholar] [CrossRef]
- Kwatek, K.; Slubowska, W.; Ruiz, C.; Sobrados, I.; Sanz, J.; Garbarczyk, J.E.; Nowiński, J.L. The mechanism of enhanced ionic conductivity in Li1.3Al0.3Ti1.7(PO4)3–(0.75Li2O·0.25B2O3) composites. J. Alloy. Compd. 2020, 838, 155623. [Google Scholar] [CrossRef]
- Ferreira, E.B.; Lima, M.L.; Zanotto, E.D. DSC Method for Determining the Liquidus Temperature of Glass-Forming Systems. J. Am. Ceram. Soc. 2010, 93, 3757–3763. [Google Scholar] [CrossRef]
- Kim, K.H.; Iriyama, Y.; Yamamoto, K.; Kumazaki, S.; Asaka, T.; Tanabe, K.; Fisher, C.A.J.; Hirayama, T.; Murugan, R.; Ogumi, Z. Characterization of the Interface between LiCoO2 and Li7La3Zr2O12 in an All-Solid-State Rechargeable Lithium Battery. J. Power Sources 2011, 196, 764–767. [Google Scholar] [CrossRef]
- Il’ina, E.A.; Raskovalov, A.A. Studying of Superionic Solid Electrolyte Li7La3Zr2O12 Stability by Means of Chemical Thermodynamics for Application in All-Solid-State Batteries. Electrochim. Acta 2020, 330, 135220. [Google Scholar] [CrossRef]
- Pershina, S.V.; Il’ina, E.A.; Reznitskikh, O.G. Phase Composition, Density, and Ionic Conductivity of the Li7La3Zr2O12-Based Composites with LiPO3 Glass Addition. Inorg. Chem 2017, 56, 9880–9891. [Google Scholar] [CrossRef] [PubMed]
- Larraz, G.; Orera, A.; Sanjuan, M.L. Cubic phases of garnet-type Li7La3Zr2O12: The role of hydration. J. Mater. Chem. A 2013, 1, 11419–11428. [Google Scholar] [CrossRef] [Green Version]
- Pershina, S.V.; Antonov, B.D. Glass-ceramics based on Li1.5Al0.5Ge1.5(PO4)3 for advanced all-solid-state batteries. J. Phys. Conf. Ser. 2021, 1967, 012014. [Google Scholar] [CrossRef]











Publisher’s Note: MDPI stays neutral with regard to jurisdictional claims in published maps and institutional affiliations. |
© 2021 by the authors. Licensee MDPI, Basel, Switzerland. This article is an open access article distributed under the terms and conditions of the Creative Commons Attribution (CC BY) license (https://creativecommons.org/licenses/by/4.0/).
Share and Cite
Il’ina, E.; Pershina, S.; Antonov, B.; Pankratov, A. Impact of Li3BO3 Addition on Solid Electrode-Solid Electrolyte Interface in All-Solid-State Batteries. Materials 2021, 14, 7099. https://doi.org/10.3390/ma14227099
Il’ina E, Pershina S, Antonov B, Pankratov A. Impact of Li3BO3 Addition on Solid Electrode-Solid Electrolyte Interface in All-Solid-State Batteries. Materials. 2021; 14(22):7099. https://doi.org/10.3390/ma14227099
Chicago/Turabian StyleIl’ina, Evgeniya, Svetlana Pershina, Boris Antonov, and Alexander Pankratov. 2021. "Impact of Li3BO3 Addition on Solid Electrode-Solid Electrolyte Interface in All-Solid-State Batteries" Materials 14, no. 22: 7099. https://doi.org/10.3390/ma14227099
APA StyleIl’ina, E., Pershina, S., Antonov, B., & Pankratov, A. (2021). Impact of Li3BO3 Addition on Solid Electrode-Solid Electrolyte Interface in All-Solid-State Batteries. Materials, 14(22), 7099. https://doi.org/10.3390/ma14227099

