Combining Chromatographic, Rheological, and Mechanical Analysis to Study the Manufacturing Potential of Acrylic Blends into Polyacrylic Casts
Abstract
1. Introduction
2. Materials and Methods
2.1. (Co)monomers
2.2. Initiator
2.3. Accelerator
2.4. Other Substances
2.5. Coformulations/Blends and Flask Polymerization Experiments
2.6. Gas Chromatography (GC) Analysis and Conversion Calculations
2.7. Polymerization in a Rheometer and Rheological Analysis
2.8. Mechanical Property Tests
3. Results and Discussion
3.1. Analysis of GC Data
3.2. Rheological Analysis
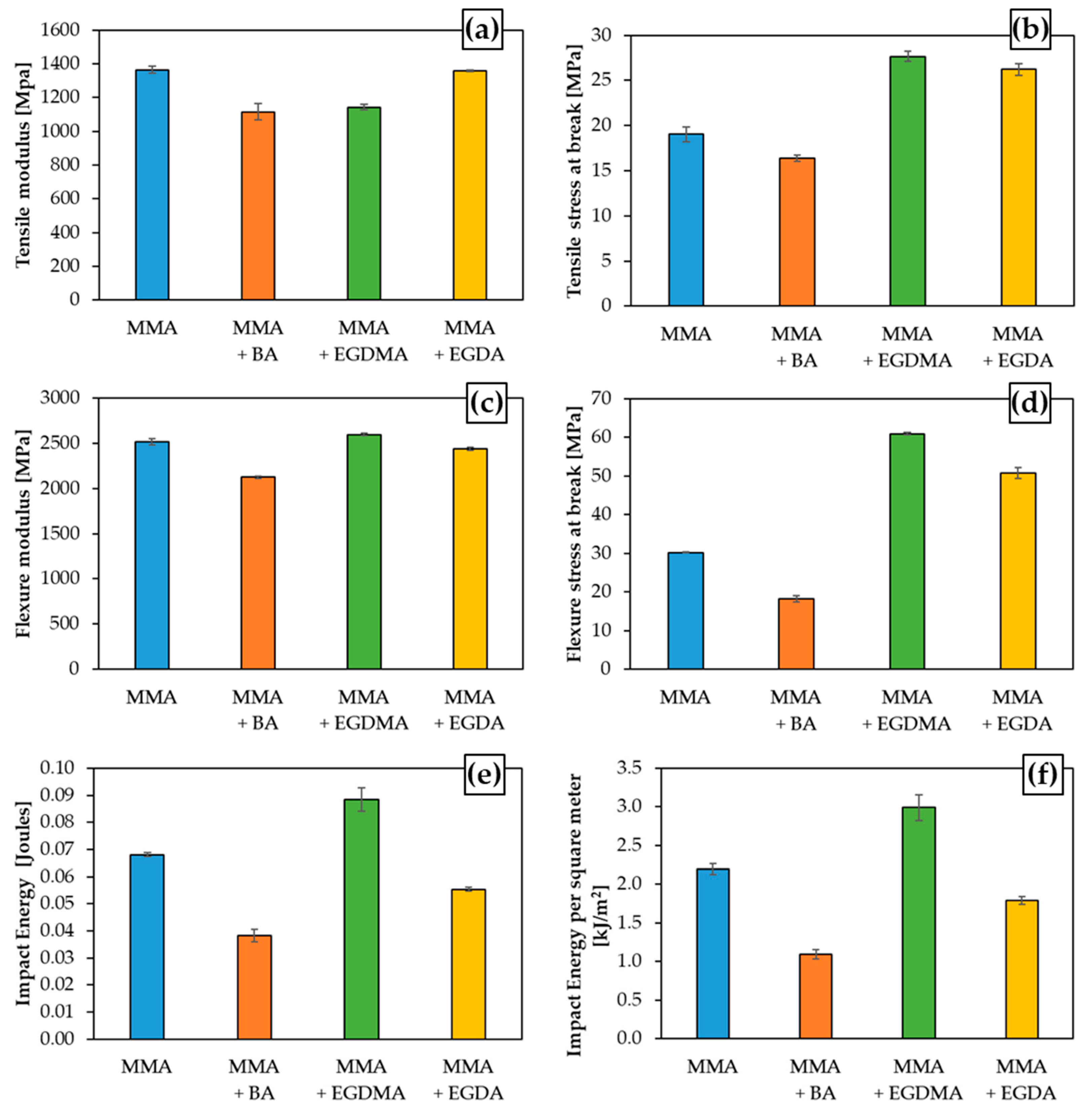
3.3. Analysis of Mechanical Properties
4. Conclusions
Supplementary Materials
Author Contributions
Funding
Institutional Review Board Statement
Informed Consent Statement
Data Availability Statement
Acknowledgments
Conflicts of Interest
References
- Brydson, J.A. Plastic Materials, 7th ed.; Butterworth-Heinemann: Oxford, UK, 1999. [Google Scholar]
- Odian, G. Principles of Polymerization, 4th ed.; John Wiley & Sons, Inc.: Hoboken, NJ, USA, 2004. [Google Scholar]
- Ram, A. Fundamentals of Polymer Engineering; Springer: New York, NY, USA, 1997. [Google Scholar] [CrossRef]
- Moens, E.K.C.; De Smit, K.; Marien, Y.W.; Trigilio, A.D.; van Steenberge, P.H.M.; van Geem, K.M.; Dubois, J.-L.L.; D’hooge, D.; D’hooge, D.R. Progress in Reaction Mechanisms and Reactor Technologies for Thermochemical Recycling of Poly(methyl methacrylate). Polymers 2020, 12, 1667. [Google Scholar] [CrossRef]
- Ali, U.; Karim, K.J.B.A.; Buang, N.A. A Review of the Properties and Applications of Poly (Methyl Methacrylate) (PMMA). Polym. Rev. 2015, 55, 678–705. [Google Scholar] [CrossRef]
- Siwal, S.S.; Chaudhary, G.; Saini, A.K.; Kaur, H.; Saini, V.; Mokhta, S.K.; Chand, R.; Chandel, U.K.; Christie, G.; Thakur, V.K. Key Ingredients and Recycling Strategy of Personal Protective Equipment (PPE): Towards Sustainable Solution for the COVID-19 like Pandemics. J. Environ. Chem. Eng. 2021, 9, 106284. [Google Scholar] [CrossRef]
- Rendeki, S.; Nagy, B.; Bene, M.; Pentek, A.; Toth, L.; Szanto, Z.; Told, R.; Maroti, P. An Overview on Personal Protective Equipment (PPE) Fabricated with Additive Manufacturing Technologies in the Era of COVID-19 Pandemic. Polymers 2020, 12, 2703. [Google Scholar] [CrossRef] [PubMed]
- Prasher, P.; Sharma, M. Nanotechnology-based self-sterilizing surfaces and their potential in combating COVID-19. Nanomedicine 2021, 16, 1183–1186. [Google Scholar] [CrossRef]
- Abdelwahab, S.F.; Mohamed, M.K.; Ali, W.Y.; Ali, A.S. Role of polymeric materials in preventing COVID-19 infection. Arch. Virol. 2021, 166, 2487–2493. [Google Scholar] [CrossRef]
- Gadhave, R.V.; Vineeth, S.K.; Gadekar, P.T. Polymers and Polymeric Materials in COVID-19 Pandemic: A Review. Open J. Polym. Chem. 2020, 10, 66–75. [Google Scholar] [CrossRef]
- Ozenen, G. Practical, rapid, and cost-efficient interior architectural precautions for prevention of COVID-19 in the workplace. Work 2020, 67, 3–9. [Google Scholar] [CrossRef] [PubMed]
- Harper, C.A. Handbook of Plastics, Elastomers, and Composites, 4th ed.; McGRAW-HILL: New York, NY, USA, 2002. [Google Scholar]
- Zhang, K.; Ma, C.; Zheng, Y.; Zhou, F.; Xiao, Y.; Xing, W.; Hu, Y. A novel coating of hyperbranched poly(urethane-phosphine oxide) for poly(methyl methacrylate) with high fire safety, excellent adhesion and transparency. Prog. Org. Coat. 2021, 161, 106481. [Google Scholar] [CrossRef]
- De Smit, K.; Marien, Y.W.; Van Geem, K.M.; Van Steenberge, P.H.M.M.; D’hooge, D.R. Connecting polymer synthesis and chemical recycling on a chain-by-chain basis: A unified matrix-based kinetic Monte Carlo strategy. React. Chem. Eng. 2020, 5, 1909–1928. [Google Scholar] [CrossRef]
- Scheirs, J.; Kaminsky, W. (Eds.) Feedstock Recycling and Pyrolysis of Waste Plastics; John Wiley & Sons, Ltd.: Chichester, UK, 2006. [Google Scholar] [CrossRef]
- Kikuchi, Y.; Hirao, M.; Ookubo, T.; Sasaki, A. Design of recycling system for poly(methyl methacrylate) (PMMA). Part 1: Recycling scenario analysis. Int. J. Life Cycle Assess. 2014, 19, 120–129. [Google Scholar] [CrossRef]
- Kaminsky, W.; Predel, M.; Sadiki, A. Feedstock recycling of polymers by pyrolysis in a fluidised bed. Polym. Degrad. Stab. 2004, 85, 1045–1050. [Google Scholar] [CrossRef]
- Brems, A.; Baeyens, J.; Dewil, R. Recycling and recovery of post-consumer plastic solid waste in a European context. Therm. Sci. 2012, 16, 669–685. [Google Scholar] [CrossRef]
- Smolders, K.; Baeyens, J. Thermal degradation of PMMA in fluidised beds. Waste Manag. 2004, 24, 849–857. [Google Scholar] [CrossRef]
- De Tommaso, J.; Dubois, J.-L. Risk Analysis on PMMA Recycling Economics. Polymers 2021, 13, 2724. [Google Scholar] [CrossRef] [PubMed]
- Johnson, J.A.; Jones, D.W. The mechanical properties of PMMA and its copolymers with ethyl methacrylate and butyl methacrylate. J. Mater. Sci. 1994, 29, 870–876. [Google Scholar] [CrossRef]
- Kema Ajekwene, K. Properties and Applications of Acrylates. In Acrylate Polymers for Advanced Applications; Serrano-Aroca, Á., Deb, S., Eds.; IntechOpen: London, UK, 2020; p. 13. [Google Scholar] [CrossRef]
- Silikas, N.; Al-Kheraif, A.; Watts, D.C. Influence of P/L ratio and peroxide/amine concentrations on shrinkage-strain kinetics during setting of PMMA/MMA biomaterial formulations. Biomaterials 2005, 26, 197–204. [Google Scholar] [CrossRef] [PubMed]
- Vallo, C.I. Flexural strength distribution of a PMMA-based bone cement. J. Biomed. Mater. Res. 2002, 63, 226–236. [Google Scholar] [CrossRef]
- Deb, S.; Vazquez, B.; Bonfield, W. Effect of crosslinking agents on acrylic bone cements based on poly(methylmethacrylate). J. Biomed. Mater. Res. 1997, 37, 465–473. [Google Scholar] [CrossRef]
- Matyjaszewski, K.; Davis, T.P. Handbook of Radical Polymerization; John Wiley and Sons, Inc.: Hoboken, NJ, USA, 2002. [Google Scholar]
- Achilias, D.S.; Sideridou, I. Study of the effect of two BPO/amine initiation systems on the free-radical polymerization of MMA used in dental resins and bone cements. J. Macromol. Sci. Part A 2002, 39, 1435–1450. [Google Scholar] [CrossRef]
- Alhareb, A.O.; Akil, H.M.; Ahmad, Z.A. Impact strength, fracture toughness and hardness improvement of PMMA denture base through addition of nitrile rubber/ceramic fillers. Saudi J. Dent. Res. 2017, 8, 26–34. [Google Scholar] [CrossRef]
- Chen, T.; Kusy, R.P. Effect of methacrylic acid:Methyl methacrylate monomer ratios on polymerization rates and properties of polymethyl methacrylates. J. Biomed. Mater. Res. 1997, 36, 190–199. [Google Scholar] [CrossRef]
- Okuyama, Y.; Shiraishi, T.; Yoshida, K.; Kurogi, T.; Watanabe, I.; Murata, H. Influence of composition and powder/liquid ratio on setting characteristics and mechanical properties of autopolymerized hard direct denture reline resins based on methyl methacrylate and ethylene glycol dimethacrylate. Dent. Mater. J. 2014, 33, 522–529. [Google Scholar] [CrossRef]
- Doomernik, D.E.; Kruse, R.R.; Reijnen, M.M.P.J.; Kozicz, T.L.; Kooloos, J.G.M. A comparative study of vascular injection fluids in fresh-frozen and embalmed human cadaver forearms. J. Anat. 2016, 229, 582–590. [Google Scholar] [CrossRef]
- Christoffersonm, R.H.; Nilsson, B.O. Microvascular corrosion casting with analysis in the scanning electron microscope. Scanning 1988, 10, 43–63. [Google Scholar] [CrossRef]
- Weiger, T.; Lametschwandtner, A.; Adam, H. Methylmethacrylate and Mercox CL in the scanning electron microscopy of corrosion casts. Mikroskopie 1982, 39, 187–197. [Google Scholar] [PubMed]
- Cornillie, P.; Casteleyn, C.; von Horst, C.; Henry, R. Corrosion casting in anatomy: Visualizing the architecture of hollow structures and surface details. Anat. Histol. Embryol. 2019, 48, 591–604. [Google Scholar] [CrossRef]
- Aharinejad, S.; Bock, P. Different Forms of Corrosion Casts. Scanning Microsc. 1994, 8, 403–414. [Google Scholar]
- Weiger, T.; Lametschwandtner, A.; Stockmayer, P. Technical parameters of plastics (Mercox CL-2B and various methylmethacrylates) used in scanning electron microscopy of vascular corrosion casts. Scan. Electron Microsc. 1986, 1986 Pt 1, 243–252. [Google Scholar]
- Maldonado-Zimbron, V.E.; Hong, J.; Russell, P.; Trevaskis, N.L.; Windsor, J.A.; Phillips, A.R.J. Methods for studying pulmonary lymphatics. Eur. Respir. J. 2021, 57, 2004106. [Google Scholar] [CrossRef]
- Schraufnagel, D.E.; Ganesan, D.P. Tracers in vascular casting resins enhance backscattering brightness. Scanning 2002, 24, 121–126. [Google Scholar] [CrossRef]
- Sugiyama, K.; Gu, Z.-B.; Kawase, C.; Yamamoto, T.; Kitazawa, Y. Optic Nerve and Peripapillary Choroidal Microvasculature of the Rat Eye. Investig. Ophthalmol. Vis. Sci. 1999, 40, 3084–3090. [Google Scholar]
- Taniguchi, Y.; Ohta, Y.; Tajiri, S. New Improved Method for Injection of Acrylic Resin. Okajimas Folia Anat. Jpn. 1952, 24, 259–267. [Google Scholar] [CrossRef] [PubMed][Green Version]
- Schraufnagel, D.E.; Schmid, A. Microvascular casting of the lung: Effects of various fixation protocols. J. Electron Microsc. Tech. 1988, 8, 185–191. [Google Scholar] [CrossRef]
- McMullan, D.M.; Hanley, F.L.; Riemer, R.K. A method for selectively limiting lumen diameter in corrosion casting. Microvasc. Res. 2004, 67, 215–217. [Google Scholar] [CrossRef]
- Walocha, J.; Litwin, J.A.; Miodoński, A.J. Corrosion casting technique. In Scanning Electron Microscopy for the Life Sciences; Schatten, H., Ed.; Cambridge University Press: Cambridge, UK, 2013; pp. 16–32. [Google Scholar] [CrossRef]
- Vandeghinste, B.; Trachet, B.; Renard, M.; Casteleyn, C.; Staelens, S.; Loeys, B.; Segers, P.; Vandenberghe, S. Replacing vascular corrosion casting by in vivo micro-ct imaging for building 3D cardiovascular models in mice. Mol. Imaging Biol. 2011, 13, 78–86. [Google Scholar] [CrossRef]
- Minnich, B.; Bartel, H.; Lametschwandtner, A. Quantitative microvascular corrosion casting by 2D- and 3D-morphometry. Ital. J. Anat. Embryol. 2001, 106, 213–220. [Google Scholar]
- Kratky, R.G.; Roach, M.R. Shrinkage of Batson’s and its relevance to vascular casting. Atherosclerosis 1984, 51, 339–341. [Google Scholar] [CrossRef]
- Hossler, F.E. Vascular Corrosion Casting Can Provide Quantitative as Well as Morphological Information on the Microvasculature of Organs and Tissues. Micros. Today 1998, 6, 14–15. [Google Scholar] [CrossRef][Green Version]
- Hodde, K.C.; Steeber, D.A.; Albrecht, R.M. Advances in corrosion casting methods. Scanning Microsc. 1990, 4, 693–704. [Google Scholar]
- Pollitt, C.C.; Molyneux, G.S. A scanning electron microscopical study of the dermal microcirculation of the equine foot. Equine Vet. J. 1990, 22, 79–87. [Google Scholar] [CrossRef]
- Murakami, T.; Hitomi, K.; Ohtsuka, A.; Jones, A.L.; Itoshima, T.; Hitomi, K.; Ohtsuka, A.; Jones, A.L. A Monomeric Methyl and Hydroxypropyl Methacrylate Injection Medium and Its Utility in Casting Blood Capillaries and Liver Bile Canaliculi for Scanning Electron Microscopy. Arch. Histol. Cytol. 1984, 47, 223–237. [Google Scholar] [CrossRef]
- Murakami, T. Application of the Scanning Electron Microscope to the Study of the Fine Distribution of the Blood Vessels. Arch. Histol. Jpn. 1971, 32, 445–454. [Google Scholar] [CrossRef] [PubMed][Green Version]
- Taniguchi, Y.; Ohta, Y.; Tajiri, S.; Okano, H.; Hanai, H. Supplement to New Improved Method for Injection of Acrylic Resin. Okajimas Folia Anat. Jpn. 1955, 27, 401–406. [Google Scholar] [CrossRef]
- Aharinejad, S.; MacDonald, I.C.; Mackay, E.C.; Mason-Savas, A. New aspects of microvascular corrosion casting: A scanning, transmission electron, and high-resolution intravital video microscopic study. Microsc. Res. Tech. 1993, 26, 473–488. [Google Scholar] [CrossRef] [PubMed]
- Krucker, T.; Lang, A.; Meyer, E.P. New polyurethane-based material for vascular corrosion casting with improved physical and imaging characteristics. Microsc. Res. Tech. 2006, 69, 138–147. [Google Scholar] [CrossRef]
- Rueda Esteban, R.J.; López McCormick, J.S.; Martínez Prieto, D.R.; Hernández Restrepo, J.D. Corrosion Casting, a Known Technique for the Study and Teaching of Vascular and Duct Structure in Anatomy. Int. J. Morphol. 2017, 35, 1147–1153. [Google Scholar] [CrossRef]
- Edeleva, M.; Marien, Y.W.; Van Steenberge, P.H.M.M.; D’hooge, D.R. Impact of side reactions on molar mass distribution, unsaturation level and branching density in solution free radical polymerization of n -butyl acrylate under well-defined lab-scale reactor conditions. Polym. Chem. 2021, 12, 2095–2114. [Google Scholar] [CrossRef]
- Edeleva, M.; Marien, Y.W.; Van Steenberge, P.H.M.; D’hooge, D.R. Jacket temperature regulation allowing well-defined non-adiabatic lab-scale solution free radical polymerization of acrylates. React. Chem. Eng. 2021, 6, 1053–1069. [Google Scholar] [CrossRef]
- Van Steenberge, P.H.M.; D’hooge, D.R.; Wang, Y.; Zhong, M.; Reyniers, M.-F.; Konkolewicz, D.; Matyjaszewski, K.; Marin, G.B. Linear Gradient Quality of ATRP Copolymers. Macromolecules 2012, 45, 8519–8531. [Google Scholar] [CrossRef]
- Shipp, D.A.; Wang, J.-L.; Matyjaszewski, K. Synthesis of Acrylate and Methacrylate Block Copolymers Using Atom Transfer Radical Polymerization. Macromolecules 1998, 31, 8005–8008. [Google Scholar] [CrossRef]
- Nese, A.; Mosnáček, J.; Juhari, A.; Yoon, J.A.; Koynov, K.; Kowalewski, T.; Matyjaszewski, K. Synthesis, Characterization, and Properties of Starlike Poly(n -butyl acrylate)-b-poly(methyl methacrylate) Block Copolymers. Macromolecules 2010, 43, 1227–1235. [Google Scholar] [CrossRef]
- Shukla, S.; Rai, J.S.P. Synthesis and kinetic study of diacrylate and dimethacrylate. Int. J. Plast. Technol. 2013, 17, 182–193. [Google Scholar] [CrossRef]
- Asua, J.M. Polymer Reaction Engineering, 1st ed.; Blackwell Publishing Ltd.: Oxford, UK, 2007. [Google Scholar] [CrossRef]
- De Keer, L.; Kilic, K.I.; Van Steenberge, P.H.M.; Daelemans, L.; Kodura, D.; Frisch, H.; De Clerck, K.; Reyniers, M.-F.; Barner-Kowollik, C.; Dauskardt, R.H.; et al. Computational prediction of the molecular configuration of three-dimensional network polymers. Nat. Mater. 2021, 20, 1422–1430. [Google Scholar] [CrossRef]
- Gassner, J.; Lametschwandtner, A.; Weiger, T.; Bauer, H.C. Diluted and undiluted Mercox severely destroy unfixed endothelial cells. A light and electron microscopic study using cultured endothelial cells and tadpole tail fin vessels. Scanning Microsc. 1994, 8, 721–734. [Google Scholar]
- Sun, X.; Chiu, Y.Y.; Lee, L.J. Microgel Formation in the Free Radical Cross-Linking Copolymerization of Methyl Methacrylate (MMA) and Ethylene Glycol Dimethacrylate (EGDMA). Ind. Eng. Chem. Res. 1997, 36, 1343–1351. [Google Scholar] [CrossRef]
- Farrar, D.F.; Rose, J. Rheological properties of PMMA bone cements during curing. Biomaterials 2001, 22, 3005–3013. [Google Scholar] [CrossRef]
- Lewis, G.; Carroll, M. Rheological properties of acrylic bone cement during curing and the role of the size of the powder particles. J. Biomed. Mater. Res. 2002, 63, 191–199. [Google Scholar] [CrossRef] [PubMed]
- Nicholas, M.K.D.; Waters, M.G.J.; Holford, K.M.; Adusei, G. Analysis of rheological properties of bone cements. J. Mater. Sci. Mater. Med. 2007, 18, 1407–1412. [Google Scholar] [CrossRef]
- Marten, F.L.; Hamielec, A.E. High Conversion Diffusion-Controlled Polymerization. In Polymerization Reactors and Processes; Henderson, J.N., Bouton, T.C., Eds.; American Chemical Society: Washington, DC, USA, 1979; pp. 43–70. [Google Scholar] [CrossRef]
- Chen, L.; Wu, F.; Li, D.; Yang, J.; Li, R. Preparation of self-crosslinked acrylate emulsion with high elasticity and its rheological properties. J. Cent. South Univ. Technol. 2008, 15, 324–328. [Google Scholar] [CrossRef]
- Teyssandier, F.; Love, B.J. MMA bulk polymerization and its influence on in situ resin viscosity comparing several chemorheological models. J. Appl. Polym. Sci. 2011, 120, 1367–1371. [Google Scholar] [CrossRef]
- Mann, K.A.; Ayers, D.C.; Werner, F.W.; Nicoletta, R.J.; Fortino, M.D. Tensile strength of the cement-bone interface depends on the amount of bone interdigitated with PMMA cement. J. Biomech. 1997, 30, 339–346. [Google Scholar] [CrossRef]
- Schroeder, W.F.; Auad, M.L.; Barcia Vico, M.A.; Borrajo, J.; Aranguren, M.I. Thermodynamic, morphological, mechanical and fracture properties of poly(methyl methacrylate)(PMMA) modified divinylester(DVE)/styrene(St) thermosets. Polymer 2005, 46, 2306–2319. [Google Scholar] [CrossRef]
- Schroeder, W.F.; Borrajo, J.; Aranguren, M.I. Poly(methyl methacrylate)-modified vinyl ester thermosets: Morphology, volume shrinkage, and mechanical properties. J. Appl. Polym. Sci. 2007, 106, 4007–4017. [Google Scholar] [CrossRef]
- Kaczmarek, H.; Gałka, P. Nano-mechanical properties of modified poly(methyl methacrylate) films studied by atomic force microscopy. Tribol. Lett. 2011, 41, 541–554. [Google Scholar] [CrossRef]
- Saramolee, P.; Lopattananon, N.; Sahakaro, K. Preparation and some properties of modified natural rubber bearing grafted poly(methyl methacrylate) and epoxide groups. Eur. Polym. J. 2014, 56, 1–10. [Google Scholar] [CrossRef]
- Gallow, K.C.; Jhon, Y.K.; Tang, W.; Genzer, J.; Loo, Y.-L.L. Cloud point suppression in dilute solutions of model gradient copolymers with prespecified composition profiles. J. Polym. Sci. Part B Polym. Phys. 2011, 49, 629–637. [Google Scholar] [CrossRef]
- Yu, J.; He, J. Crystallization kinetics of maleic anhydride grafted polypropylene ionomers. Polymer 2000, 41, 891–898. [Google Scholar] [CrossRef]
- Brauer, G.M.; Petrianyk, N.; Termini, D.J. Storage Stability of Dental Composites. J. Dent. Res. 1979, 58, 1791–1800. [Google Scholar] [CrossRef] [PubMed]
- Noël, L.F.J.J.; Brouwer, E.C.P.P.; Van Herk, A.M.; German, A.L. On-line gas chromatography and densimetry to obtain partial conversions of both monomers in emulsion copolymerization. J. Appl. Polym. Sci. 1995, 57, 245–254. [Google Scholar] [CrossRef][Green Version]
- Zhong, J.-F.; Chai, X.-S.; Fu, S.-Y.; Qin, X.-L. An improved sample preparation method for monomer conversion measurement using headspace gas chromatography in emulsion polymerization research. J. Appl. Polym. Sci. 2012, 124, 3525–3528. [Google Scholar] [CrossRef]
- Alfredo, N.V.; Jalapa, N.E.; Morales, S.L.; Ryabov, A.D.; Le Lagadec, R.; Alexandrova, L. Light-Driven Living/Controlled Radical Polymerization of Hydrophobic Monomers Catalyzed by Ruthenium(II) Metalacycles. Macromolecules 2012, 45, 8135–8146. [Google Scholar] [CrossRef]
- Beuermann, S.; Buback, M.; Davis, T.P.; Gilbert, R.G.; Hutchinson, R.A.; Olaj, O.F.; Russell, G.T.; Schweer, J.; van Herk, A.M. Critically evaluated rate coefficients for free-radical polymerization, 2. Propagation rate coefficients for methyl methacrylate. Macromol. Chem. Phys. 1997, 198, 1545–1560. [Google Scholar] [CrossRef]
- Hutchinson, R.A.; McMinn, J.H.; Paquet, D.A.; Beuermann, S.; Jackson, C. A Pulsed-Laser Study of Penultimate Copolymerization Propagation Kinetics for Methyl Methacrylate/ n -Butyl Acrylate. Ind. Eng. Chem. Res. 1997, 36, 1103–1113. [Google Scholar] [CrossRef]
- Dubé, M.A.; Penlidis, A. A systematic approach to the study of multicomponent polymerization kinetics?the butyl acrylate/methyl methacrylate/vinyl acetate example: 1. Bulk copolymerization. Polymer 1995, 36, 587–598. [Google Scholar] [CrossRef]
- McManus, N.T.; Dubé, M.A.; Penlidis, A. High temperature bulk copolymerization of butyl acrylate/methyl methacrylate: Reactivity ratio estimation. Polym. React. Eng. 1999, 7, 131–145. [Google Scholar] [CrossRef]
- Buback, M.; Feldermann, A.; Barner-Kowollik, C.; Lacík, I. Propagation rate coefficients of acrylate-methacrylate free-radical bulk copolymerizations. Macromolecules 2001, 34, 5439–5448. [Google Scholar] [CrossRef]
- D’hooge, D.R.; Van Steenberge, P.H.M.; Reyniers, M.-F.; Marin, G.B. The strength of multi-scale modeling to unveil the complexity of radical polymerization. Prog. Polym. Sci. 2016, 58, 59–89. [Google Scholar] [CrossRef]
- Mastan, E.; Li, X.; Zhu, S. Modeling and theoretical development in controlled radical polymerization. Prog. Polym. Sci. 2015, 45, 71–101. [Google Scholar] [CrossRef]
- De Rybel, N.; Van Steenberge, P.H.M.; Reyniers, M.-F.F.; D’hooge, D.R.; Marin, G.B. How chain length dependencies interfere with the bulk RAFT polymerization rate and microstructural control. Chem. Eng. Sci. 2018, 177, 163–179. [Google Scholar] [CrossRef]
- Achilias, D.S. A review of modeling of diffusion controlled polymerization reactions. Macromol. Theory Simul. 2007, 16, 319–347. [Google Scholar] [CrossRef]
- Zhan, P.; Chen, J.; Zheng, A.; Shi, H.; Chen, F.; Wei, D.; Xu, X.; Guan, Y. The Trommsdorff effect under shear and bulk polymerization of methyl methacrylate via reactive extrusion. Eur. Polym. J. 2020, 122, 109272. [Google Scholar] [CrossRef]
- Curteanu, S.; Bulacovschi, V. Free radical polymerization of methyl methacrylate: Modeling and simulation under semibatch and nonisothermal reactor conditions. J. Appl. Polym. Sci. 1999, 74, 2561–2570. [Google Scholar] [CrossRef]
- De Keer, L.; Cavalli, F.; Estupin, D.; Kru, A.J.D.; Rocha, S.; Van Steenberge, P.H.M.; De Laporte, L.; Hofkens, J.; Barner, L.; Dagmar, R.D. Synergy of Advanced Experimental and Modeling Tools to Underpin the Synthesis of Static Step-Growth-Based Networks Involving Polymeric Precursor Building Blocks. Macromolecules 2021. [Google Scholar] [CrossRef]
- Reddy, P.A.; Douglas, J.E.; Schulte, M.; Hossler, F.E. The effect of prefixation on the quality of vascular corrosion casts of rat heart. Cardiovasc. Pathol. 1995, 4, 133–140. [Google Scholar] [CrossRef]
- Verli, F.D.; Rossi-Schneider, T.R.; Schneider, F.L.; Yurgel, L.S.; de Souza, M.A.L. Vascular Corrosion Casting Technique Steps. Scanning 2007, 29, 128–132. [Google Scholar] [CrossRef] [PubMed]
- Van Der Zwan, A.; Hillen, B. Araldite F as injection material for quantitative morphology of cerebral vascularization. Anat. Rec. 1990, 228, 230–236. [Google Scholar] [CrossRef]
- D’hooge, D.R.; Reyniers, M.-F.; Marin, G.B. Methodology for Kinetic Modeling of Atom Transfer Radical Polymerization. Macromol. React. Eng. 2009, 3, 185–209. [Google Scholar] [CrossRef]
- Cioffi, M.; Hoffmann, A.C.; Janssen, L.P.B.M.B.M. Rheokinetics and the influence of shear rate on the Trommsdorff (gel) effect during free radical polymerization. Polym. Eng. Sci. 2001, 41, 595–602. [Google Scholar] [CrossRef]
- Rostami, M.-T.T.; Daneshgar, A. Modeling and experimental studies of methyl methacrylate polymerization in a tubular reactor. Chinese J. Chem. Eng. 2016, 24, 1655–1663. [Google Scholar] [CrossRef]
- Liu, Z.; Kind, M. Continuous polymerization of methyl methacrylate in a taylor-couette reactor. II. influence of fluid dynamics on polymer properties. Polym. Eng. Sci. 2013, 53, 950–955. [Google Scholar] [CrossRef]
- Zhan, P.; Chen, J.; Zheng, A.; Huang, T.; Shi, H.; Wei, D.; Xu, X.; Guan, Y. Preparation of methyl methacrylate-maleic anhydride copolymers via reactive extrusion by regulating the trommsdorff effect. Mater. Res. Express 2018, 6, 025315. [Google Scholar] [CrossRef]
- Tracy, J.; D’hooge, D.R.; Bosco, N.; Delgado, C.; Dauskardt, R. Evaluating and predicting molecular mechanisms of adhesive degradation during field and accelerated aging of photovoltaic modules. Prog. Photovolt. Res. Appl. 2018, 26, 981–993. [Google Scholar] [CrossRef]
- Masser, K.A.; Orlicki, J.A.; Napadensky, E.; Taylor, T.; Harris, D. Transparent, methacrylate-based polymer networks with controlled crosslinker ductility. J. Appl. Polym. Sci. 2021, 138, 49703. [Google Scholar] [CrossRef]
- Jiang, Y.; Li, Z.; Song, S.; Sun, S.; Li, Q. Highly-modified polylactide transparent blends with better heat-resistance, melt strength, toughness and stiffness balance due to the compatibilization and chain extender effects of methacrylate-co-glycidyl methacrylate copolymer. J. Appl. Polym. Sci. 2021, 138, 1–12. [Google Scholar] [CrossRef]
- Deb, S.; Vazquez, B. The effect of cross-linking agents on acrylic bone cements containing radiopacifiers. Biomaterials 2001, 22, 2177–2181. [Google Scholar] [CrossRef]







| Case | Monomer Molar Percentage | Initiator | Accel. 1 | |||
|---|---|---|---|---|---|---|
| MMA | BA | EGDMA | EGDA | cM0/cI0 | wA0/wI0 | |
| 1 | 100% | 100 | 0 | |||
| 2 | 100% | 100 | 1 | |||
| 3 | 100% | 100 | 0.5 | |||
| 4 | 100% | 100 | 2 | |||
| 5 | 90% | 10% | 100 | 1 | ||
| 6 | 50% | 50% | 100 | 1 | ||
| 7 | 98% | 2% | 100 | 1 | ||
| 8 | 95% | 5% | 100 | 1 | ||
| 9 | 98% | 2% | 100 | 1 | ||
| 10 | 95% | 5% | 100 | 1 | ||
| Case | 2 min | 10 min | 15 min 1 | 20 min 2 |
|---|---|---|---|---|
| 7 | × | |||
| 8 | × | × | × | |
| 9 | ||||
| 10 | × | × |
| Case from Table 1 | T0 = 20 °C No Temperature Control | T = 20 °C Constant Temperature |
|---|---|---|
| 3 | ≈37 min | ≈41 min |
| 5 | ≈27 min | ≈33 min |
| 7 | ≈17 min | ≈19 min |
| 9 | ≈21 min | ≈25 min |
Publisher’s Note: MDPI stays neutral with regard to jurisdictional claims in published maps and institutional affiliations. |
© 2021 by the authors. Licensee MDPI, Basel, Switzerland. This article is an open access article distributed under the terms and conditions of the Creative Commons Attribution (CC BY) license (https://creativecommons.org/licenses/by/4.0/).
Share and Cite
Reyes, P.; Edeleva, M.; D’hooge, D.R.; Cardon, L.; Cornillie, P. Combining Chromatographic, Rheological, and Mechanical Analysis to Study the Manufacturing Potential of Acrylic Blends into Polyacrylic Casts. Materials 2021, 14, 6939. https://doi.org/10.3390/ma14226939
Reyes P, Edeleva M, D’hooge DR, Cardon L, Cornillie P. Combining Chromatographic, Rheological, and Mechanical Analysis to Study the Manufacturing Potential of Acrylic Blends into Polyacrylic Casts. Materials. 2021; 14(22):6939. https://doi.org/10.3390/ma14226939
Chicago/Turabian StyleReyes, Pablo, Mariya Edeleva, Dagmar R. D’hooge, Ludwig Cardon, and Pieter Cornillie. 2021. "Combining Chromatographic, Rheological, and Mechanical Analysis to Study the Manufacturing Potential of Acrylic Blends into Polyacrylic Casts" Materials 14, no. 22: 6939. https://doi.org/10.3390/ma14226939
APA StyleReyes, P., Edeleva, M., D’hooge, D. R., Cardon, L., & Cornillie, P. (2021). Combining Chromatographic, Rheological, and Mechanical Analysis to Study the Manufacturing Potential of Acrylic Blends into Polyacrylic Casts. Materials, 14(22), 6939. https://doi.org/10.3390/ma14226939

