Enhanced Vibration Isolation with Prestressed Resonant Auxetic Metamaterial
Abstract
1. Introduction
2. Materials and Methods
2.1. Design of Periodic Pattern
2.2. Design of Finite Structures
2.3. Materials
2.4. Experimental Setup
2.5. Numerical Methods—Brillouin Zone
- OA:
- et
- AB:
- et
- BC:
- et
- OC:
- et
- OB:
- et
2.6. Numerical Methods—Wave Finite Element Method
3. Results
3.1. Infinite Structure
3.1.1. Static Study
3.1.1.1. Boundary Conditions
- ⊳
- ⊳
- ⊳
- ⊳
3.1.1.2. Instability
3.1.1.3. Results
3.1.2. Dynamic Study
3.1.2.1. Computation Parameters
3.1.2.2. Dispersion Calculation
3.2. Finite Structures
3.2.1. Static Study
3.2.1.1. Boundary Conditions
- ⊳
- Left and right boundaries are not constrained anymore, that is to say:
- ⊳
- As the top and bottom boundaries of the samples are clamped to rigid material, their X component is now null:
- ⊳
- Mimicking the experimental setup, the bottom boundary is also clamped along the Y direction: , and the whole displacement is now imposed on the top boundary:
3.2.1.2. Results
3.2.2. Dynamic Study
Frequency Domain Analysis
Experimental Validation
4. Discussion
Author Contributions
Funding
Institutional Review Board Statement
Data Availability Statement
Acknowledgments
Conflicts of Interest
Abbreviations
| BZ | Brillouin Zone |
| DMA | Dynamic Mechanical Analysis |
| IBZ | Irreducible Brillouin Zone |
| TF | Transfer Function |
| WFEM | Wave Finite Element Method |
References
- Schurig, D.; Mock, J.; Justice, B.; Cummer, S.A.; Pendry, J.B.; Starr, A.; Smith, D. Metamaterial Electromagnetic Cloak at Microwave Frequencies. Science 2006, 314, 977–980. [Google Scholar] [CrossRef]
- Pendry, J.B. Negative Refraction Makes a Perfect Lens. Phys. Rev. Lett. 2000, 85, 3966–3969. [Google Scholar] [CrossRef]
- Kadic, M.; Bückmann, T.; Schittny, R.; Wegener, M. Metamaterials beyond Electromagnetism. Rep. Prog. Phys. 2013, 76, 126501. [Google Scholar] [CrossRef]
- Pendry, J.B.; Holden, A.J.; Robbins, D.J.; Stewart, W.J. Magnetism from Conductors and Enhanced Nonlinear Phenomena. IEEE Trans. Microw. Theory Tech. 1999, 47, 2075–2084. [Google Scholar] [CrossRef]
- Liu, Z.; Zhang, X.; Mao, Y.; Zhu, Y.; Yang, Z.; Chan, C.; Sheng, P. Locally Resonant Sonic Materials. Science 2000, 289, 1734–1736. [Google Scholar] [CrossRef]
- Yu, D.; Liu, Y.; Wang, G.; Zhao, H.; Qiu, J. Flexural Vibration Band Gaps in Timoshenko Beams with Locally Resonant Structures. J. Appl. Phys. 2006, 100, 124901. [Google Scholar] [CrossRef]
- Ashalley, E.; Acheampong, K.; Besteiro, L.V.; Besteiro, L.V.; Yu, P.; Neogi, A.; Govorov, A.O.; Govorov, A.O.; Wang, Z.M. Multitask Deep-Learning-Based Design of Chiral Plasmonic Metamaterials. Photonics Res. 2020, 8, 1213–1225. [Google Scholar] [CrossRef]
- Silalahi, H.M.; Chen, Y.P.; Shih, Y.H.; Chen, Y.S.; Lin, X.Y.; Liu, J.H.; Huang, C.Y. Floating Terahertz Metamaterials with Extremely Large Refractive Index Sensitivities. Photonics Res. 2021, 9, 1970–1978. [Google Scholar] [CrossRef]
- Matlack, K.H.; Bauhofer, A.; Krödel, S.; Palermo, A.; Daraio, C. Composite 3D-Printed Meta-Structures for Low Frequency and Broadband Vibration Absorption. arXiv 2015, arXiv:1511.09465. [Google Scholar]
- Krödel, S.; Thomé, N.; Daraio, C. Wide Band-Gap Seismic Metastructures. Extrem. Mech. Lett. 2015, 4, 111–117. [Google Scholar] [CrossRef]
- Robert, F. An Isotropic Three-Dimensional Structure with Poisson’s Ratio=−1. J. Elast. 1985, 15, 427–430. [Google Scholar] [CrossRef]
- Gibson, L.J.; Ashby, M.F.; Schajer, G.; Robertson, C. The Mechanics of Two-Dimensional Cellular Materials. Proc. R. Soc. Lond. Math. Phys. Sci. 1982, 382, 25–42. [Google Scholar] [CrossRef]
- Scarpa, F.; Tomlinson, G. Theoretical Characteristics of the Vibration of Sandwich Plates with In-Plane Negative Poisson’s Ratio Values. J. Sound Vib. 2000, 230, 45–67. [Google Scholar] [CrossRef]
- Bertoldi, K.; Boyce, M. Mechanically Triggered Transformations of Phononic Band Gaps in Periodic Elastomeric Structures. Phys. Rev. B 2008, 77, 052105. [Google Scholar] [CrossRef]
- Shim, J.; Wang, P.; Bertoldi, K. Harnessing Instability-Induced Pattern Transformation to Design Tunable Phononic Crystals. Int. J. Solids Struct. 2015, 58, 52–61. [Google Scholar] [CrossRef]
- Shim, J.; Shan, S.; Košmrlj, A.; Kang, S.H.; Chen, E.R.; Weaver, J.C.; Bertoldi, K. Harnessing Instabilities for Design of Soft Reconfigurable Auxetic/Chiral Materials. Soft Matter 2013, 9, 8198–8202. [Google Scholar] [CrossRef]
- Cui, S.; Harne, R.L. Tailoring Broadband Acoustic Energy Suppression Characteristics of Double Porosity Metamaterials with Compression Constraints and Mass Inclusions. J. Acoust. Soc. Am. 2017, 141, 4715–4726. [Google Scholar] [CrossRef][Green Version]
- Harne, R.L.; Song, Y.; Dai, Q. Trapping and Attenuating Broadband Vibroacoustic Energy with Hyperdamping Metamaterials. Extrem. Mech. Lett. 2017, 12, 41–47. [Google Scholar] [CrossRef]
- Grima, J.N.; Evans, K.E. Auxetic Behavior from Rotating Squares. J. Mater. Sci. Lett. 2000, 19, 1563–1565. [Google Scholar] [CrossRef]
- Deng, B.; Raney, J.; Tournat, V.; Bertoldi, K. Elastic Vector Solitons in Soft Architected Materials. Phys. Rev. Lett. 2017, 118, 204102. [Google Scholar] [CrossRef]
- Brillouin, L. Wave Propagation in Periodic Structures: Electric Filters and Crystal Lattices; McGraw-Hill Book Company, Inc: New York, NY, USA, 1946. [Google Scholar]
- Milton, G.W.; Willis, J.R. On Modifications of Newton’s Second Law and Linear Continuum Elastodynamics. Proc. R. Soc. A Math. Phys. Eng. Sci. 2007, 463, 855–880. [Google Scholar] [CrossRef]
- Chan, C.; Li, J.; Fung, K.H. On Extending the Concept of Double Negativity to Acoustic Waves. J. Zhejiang-Univ.-SCI. A 2006, 7, 24–28. [Google Scholar] [CrossRef]
- Yao, S.; Zhou, X.; Hu, G. Experimental Study on Negative Effective Mass in a 1D Mass–Spring System. New J. Phys. 2008, 10, 043020. [Google Scholar] [CrossRef]
- Harrison, J.; Kuchment, P.; Sobolev, A.; Winn, B. On Occurrence of Spectral Edges for Periodic Operators inside the Brillouin Zone. J. Phys. Math. Theor. 2007, 40, 7597. [Google Scholar] [CrossRef]
- Maurin, F.; Claeys, C.; Deckers, E.; Desmet, W. Probability That a Band-Gap Extremum Is Located on the Irreducible Brillouin-Zone Contour for the 17 Different Plane Crystallographic Lattices. Int. J. Solids Struct. 2018, 135, 26–36. [Google Scholar] [CrossRef]
- Mace, B.R.; Manconi, E. Modelling Wave Propagation in Two-Dimensional Structures Using Finite Element Analysis. J. Sound Vib. 2008, 318, 884–902. [Google Scholar] [CrossRef]
- Zhou, C.; Lainé, J.; Ichchou, M.; Zine, A. Wave Finite Element Method Based on Reduced Model for One-Dimensional Periodic Structures. Int. J. Appl. Mech. 2015, 7, 1550018. [Google Scholar] [CrossRef]






quadratic interpolation curve.
quadratic interpolation curve.


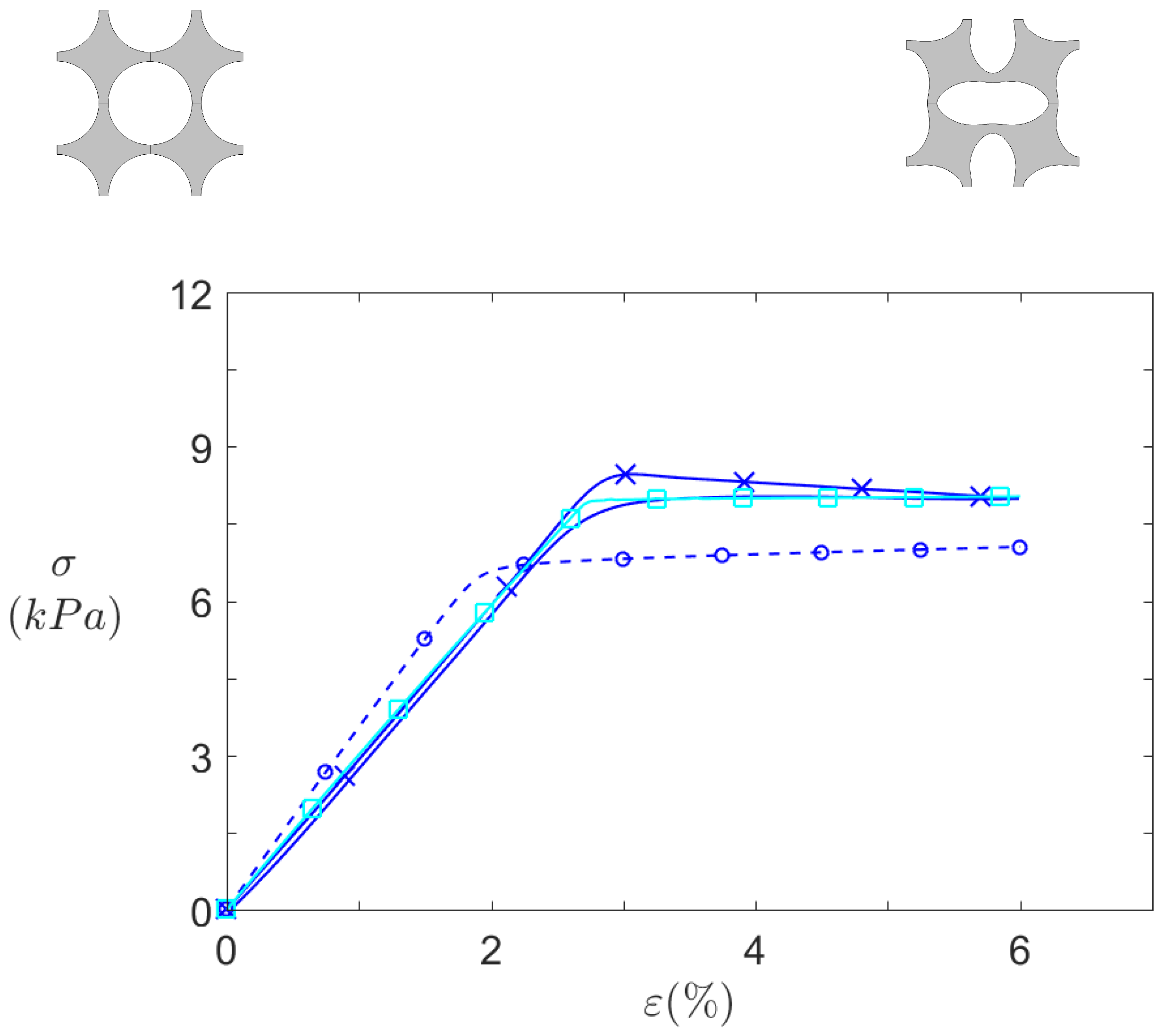
Effective stress and
effective Young’s modulus E against compression axis (Y).
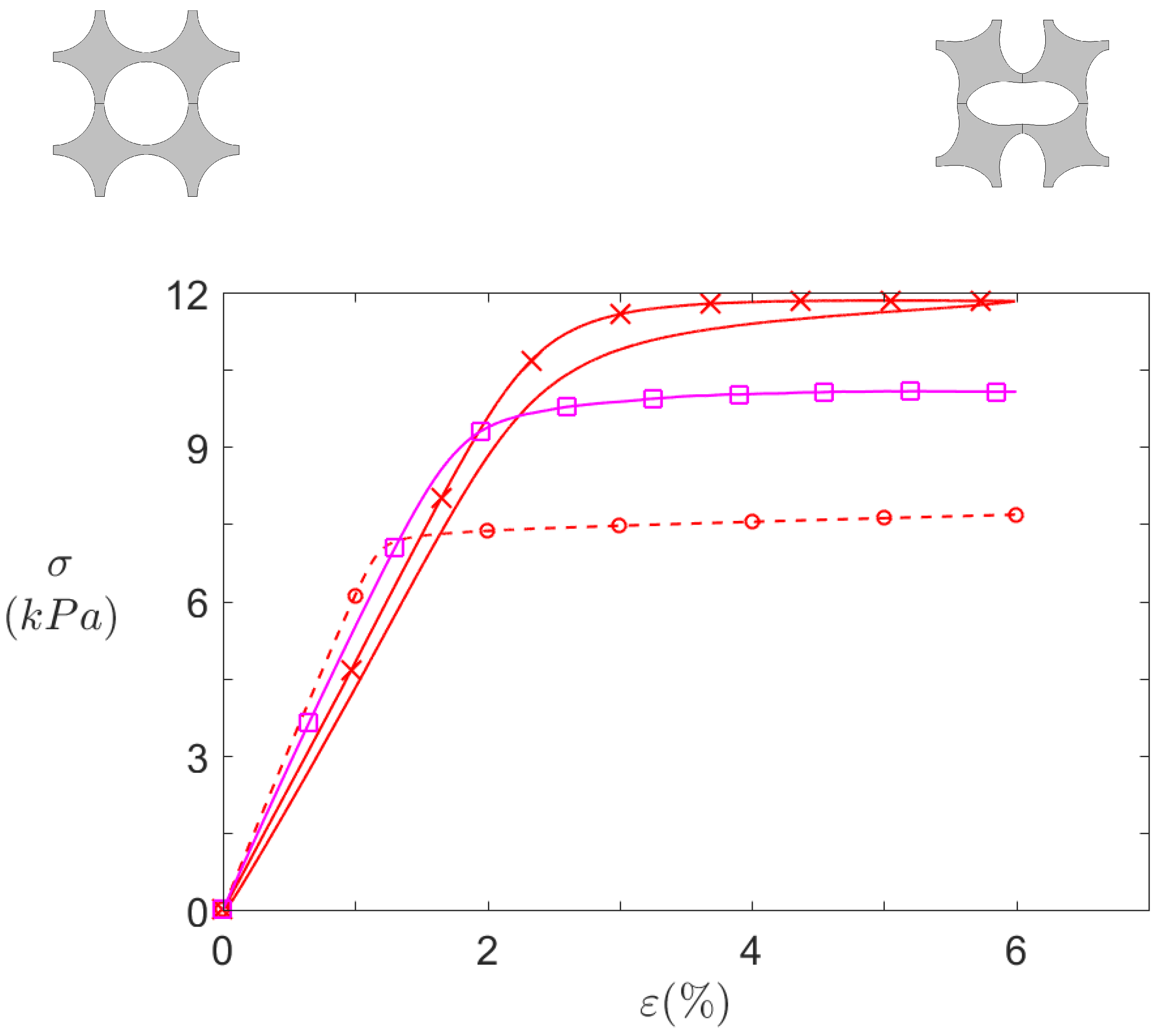
Effective stress and
effective Young’s modulus E against compression axis (Y).
Bandgaps and
width of the main bandgap.
Bandgaps and
width of the main bandgap.
infinite plates computations,
finite 8 × 7 structures computations, and
experimental 8 × 7 samples.
infinite plates computations,
finite 8 × 7 structures computations, and
experimental 8 × 7 samples.
2D infinite plates computations,
3D finite 8 × 7 structures computations, and
experimental 8 × 7 samples.
2D infinite plates computations,
3D finite 8 × 7 structures computations, and
experimental 8 × 7 samples.

and
3D structures. Omnidirectional bandgap ranges under 2 kHz for
and
, as found in the dispersion analysis.
and
3D structures. Omnidirectional bandgap ranges under 2 kHz for
and
, as found in the dispersion analysis.
Experimental and
computed results.
Omnidirectional bandgaps under 2 kHz, as found in the dispersion analysis.
Experimental and
computed results.
Omnidirectional bandgaps under 2 kHz, as found in the dispersion analysis.
Experimental and
computed results.
Omnidirectional bandgaps under 4 kHz, as found in the dispersion analysis.
Experimental and
computed results.
Omnidirectional bandgaps under 4 kHz, as found in the dispersion analysis.
and
, compared to their computed counterpart
and
. Omnidirectional bandgap ranges under 2 kHz for
and
, as found in the dispersion analysis.
and
, compared to their computed counterpart
and
. Omnidirectional bandgap ranges under 2 kHz for
and
, as found in the dispersion analysis.
| Material | Silicone | Steel |
| E | 0.97 MPa | 200 GPa |
| 0.499 | 0.3 | |
| 1150 kg/m3 | 7850 kg/m3 |
Publisher’s Note: MDPI stays neutral with regard to jurisdictional claims in published maps and institutional affiliations. |
© 2021 by the authors. Licensee MDPI, Basel, Switzerland. This article is an open access article distributed under the terms and conditions of the Creative Commons Attribution (CC BY) license (https://creativecommons.org/licenses/by/4.0/).
Share and Cite
Pyskir, A.; Collet, M.; Dimitrijevic, Z.; Lamarque, C.-H. Enhanced Vibration Isolation with Prestressed Resonant Auxetic Metamaterial. Materials 2021, 14, 6743. https://doi.org/10.3390/ma14226743
Pyskir A, Collet M, Dimitrijevic Z, Lamarque C-H. Enhanced Vibration Isolation with Prestressed Resonant Auxetic Metamaterial. Materials. 2021; 14(22):6743. https://doi.org/10.3390/ma14226743
Chicago/Turabian StylePyskir, Adrien, Manuel Collet, Zoran Dimitrijevic, and Claude-Henri Lamarque. 2021. "Enhanced Vibration Isolation with Prestressed Resonant Auxetic Metamaterial" Materials 14, no. 22: 6743. https://doi.org/10.3390/ma14226743
APA StylePyskir, A., Collet, M., Dimitrijevic, Z., & Lamarque, C.-H. (2021). Enhanced Vibration Isolation with Prestressed Resonant Auxetic Metamaterial. Materials, 14(22), 6743. https://doi.org/10.3390/ma14226743

