A Potential-Induced Transformation in the Double Electrical Layer on the Rhenium Electrode in Alkali Chloride Melts
Abstract
:1. Introduction
2. Materials and Methods
2.1. Preparation of Materials
2.2. Cyclic Voltammetry
2.3. Differential Capacitance Determination
- (i).
- A rhenium bar (99.99% purity) served as a working electrode with a surface area of 0.5 cm2,
- (ii).
- A glassy-carbon plate located at the bottom of the crucible with the sample melts was used as a counter electrode,
- (iii).
- A lead pool under the NaCl + KCl + 3 wt.% PbCl2 electrolyte in a quartz capsule served as a reference electrode.
2.4. Spectroscopy
3. Results
4. Discussion
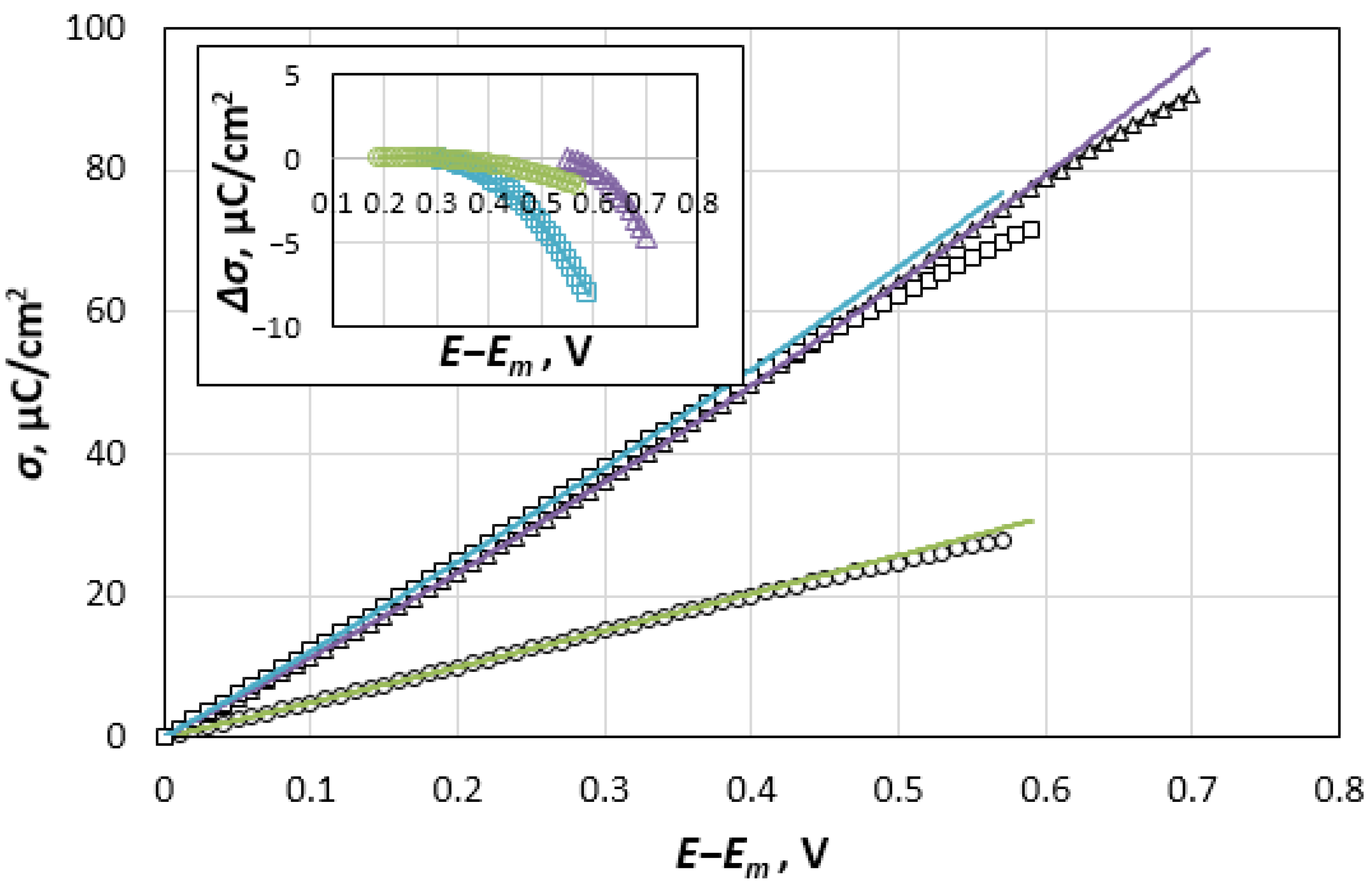
Re-KCl σ = 40.668E2 + 107.69E + 0.0728
Re-CsCl σ = 28.882E2 + 118.07E + 0.0569
5. Conclusions
Author Contributions
Funding
Institutional Review Board Statement
Informed Consent Statement
Acknowledgments
Conflicts of Interest
References
- Wu, W.; Chen, Z.; Wang, L. Oxidation behavior of multilayer iridium coating on niobium substrate. Prot. Met. Phys. Chem. Surf. 2015, 51, 607–612. [Google Scholar] [CrossRef]
- Zhu, L.; Bai, S.; Zhang, H.; Ye, Y.; Gao, W. Long-term high-temperature oxidation of iridium coated rhenium by electrical resistance heating method. Int. J. Refract. Met. Hard Mater. 2014, 44, 42–48. [Google Scholar] [CrossRef]
- Huang, Y.; Bai, S.; Zhang, H.; Ye, Y. Oxidation of iridium coating on rhenium coated graphite at elevated temperature in stagnated air. Appl. Surf. Sci. 2015, 328, 436–443. [Google Scholar] [CrossRef]
- Huang, Y.; Bai, S.; Zhang, H.; Ye, Y.; Zhu, L. Oxidation of iridium coatings on rhenium substrates at ultrahigh temperature in stagnant air: Its failure mechanism and life model. Surf. Coat. Technol. 2016, 288, 52–61. [Google Scholar] [CrossRef]
- Weiland, R.; Lupton, D.F.; Fischer, B.; Merker, J.; Scheckenbach, C.; Witte, J. High-temperature mechanical properties of the platinum group metals. Platin. Met. Rev. 2006, 50, 158–170. [Google Scholar] [CrossRef]
- Toenshoff, D.; Lanam, R.; Ragaini, J.; Shchetkovskiy, A.; Smirnov, A. Iridium coated rhenium rocket chambers produced by electroforming. In Proceedings of the 36th AIAA/ASME/SAE/ASEE Joint Propulsion Conference and Exhibit, Las Vegas, NV, USA, 24–28 July 2000; pp. 2000–3166. [Google Scholar] [CrossRef]
- Zhu, L.; Bai, S.; Zhang, H.; Ye, Y.; Gao, W. Rhenium used as an interlayer between carbon–carbon composites and iridium coating: Adhesion and wettability. Surf. Coat. Technol. 2013, 235, 68–74. [Google Scholar] [CrossRef]
- Kuznetsov, S.A. Electrochemistry of refractory metals in molten salts: Application for the creation of new and functional materials. Pure Appl. Chem. 2009, 81, 1423–1439. [Google Scholar] [CrossRef]
- Isakov, A.V.; Apisarov, A.P.; Nikitina, A.O. Electrowinning and annealing of Ir—Re—Ir material. Tsvetnye Met. (Nonferrous Met.) 2017, 11, 55–60. [Google Scholar] [CrossRef]
- Baraboshkin, A.N. Electrocrystallization of Metals from Molten Salts; Nauka: Moscow, USSR, 1976; p. 280. [Google Scholar]
- Timofeyev, N.I.; Baraboshkin, V.E.; Saltykova, N.A. Production of iridium crucibles by electrolysis of molten salts. In Proceedings of the International Symposium, 2000 TMS Annual Meeting, Nashville, TN, USA, 12–16 March 2000; pp. 175–179. [Google Scholar]
- Huang, Y.; Bai, S.; Zhang, H.; Ye, Y. Growth mechanism and mechanical property of laminar iridium coating by electrodeposition. Int. J. Refract. Met. Hard Mater. 2015, 50, 204–209. [Google Scholar] [CrossRef]
- Saltykova, N.A.; Portnyagin, O.V. Electrodeposition of iridium–ruthenium alloys from chloride melts: The structure of the deposit. Russ. J. Electrochem. 2001, 37, 924–930. [Google Scholar] [CrossRef]
- Qian, J.; Zhao, T. Electrodeposition of Ir on platinum in NaCl-KCl molten salt. Trans. Nonferrous Met. Soc. China 2012, 22, 2855–2862. [Google Scholar] [CrossRef]
- Huang, Y.; Bai, S.; Zhang, H.; Ye, Y.; Zhu, L. Electrocrystallization of iridium on the graphite, rhenium and iridium electrode from the NaCl-KCl-CsCl-IrCl3 molten salts. J. Electroanal. Chem. 2017, 791, 138–151. [Google Scholar] [CrossRef]
- Chernyshev, A.A.; Apisarov, A.P.; Isakov, A.V.; Zaikov, Y.P.; Malkov, V.B.; Laptev, M.V. Rhenium electrowinning in the KF-KBF4-B2O3-KReO4 Melt. J. Electrochem. Soc. 2017, 165, D427. [Google Scholar] [CrossRef]
- Saltykova, N.A.; Pecherskaya, L.S.; Baraboshkin, A.N.; Kotovsky, S.N.; Kosikhin, L.T. Salt passivation during anodic dissolution in iridium chloride melts. Elektrokhimiya 1986, 22, 579–584. (In Russian) [Google Scholar]
- Graves, A.D.; Inman, D. Adsorption and the differential capacitance of the electrical double-layer at platinum/halide metal interfaces. Nature 1965, 208, 481–482. [Google Scholar] [CrossRef]
- Laitinen, H.A.; Roe, D.K. Double layer capacity of platinum and bismuth electrodes in molten lithium chloride-potassium chloride. Collect. Czech. Chem. Commun. 1960, 25, 3065–3070. [Google Scholar] [CrossRef]
- Hills, G.J.; Johnson, K.E. Impedance Phenomena in molten salts. J. Electrochem. Soc. 1961, 108, 1013–1018. [Google Scholar] [CrossRef]
- Bukun, N.G.; Alekseeva, R.A. Capacitance of the double electrical layer of gold in molten chorides. Russ. J. Electrochem. 1975, 11, 1738–1741. (In Russian) [Google Scholar]
- Dokashenko, S.I.; Kirillova, E.V.; Stepanov, V.P. Impedance of a polycrystalline gold electrode in molten KCl. Rasplavy (Melts) 2004, 4, 47–61. (In Russian) [Google Scholar]
- Kirillova, E.V.; Dokashenko, S.I.; Stepanov, V.P. Capacitance of a polycrystalline silver electrode in Na, K, and Cs bromide melts. Russ. Metall. (Metally) 2011, 8, 729–733. [Google Scholar] [CrossRef]
- Kirillova, E.V.; Dokashenko, S.I.; Stepanov, V.P. Capacitance of a polycrystalline gold electrode in molten alkali bromides. Rasplavy (Melts) 2008, 4, 80–86. (In Russian) [Google Scholar]
- Kirillova, E.V.; Stepanov, V.P. Capacitance of the double electrical layer on the copper-group metals in molten alkali metal halides. Russ. Metall. (Metally) 2016, 2016, 691–697. [Google Scholar] [CrossRef]
- Kirillova, E.V.; Dokashenko, S.I.; Stepanov, V.P. Capacitance of a polycrystalline silver electrode in Na, K, and Cs chloride melts. Rasplavy (Melts) 2007, 5, 33–40. (In Russian) [Google Scholar]
- Pounds, M.; Tazi, S.; Salanne, M.; Madden, P.A. Ion adsorption at a metallic electrode: An ab initio based simulation study. J. Phys. Condens. Matter. 2009, 21, 424109. [Google Scholar] [CrossRef] [PubMed] [Green Version]
- Kłos, J.; Lamperski, S. Electrical double layer in molten salts with account of soft repulsions. J. Chem. Phys. 2019, 150, 184703. [Google Scholar] [CrossRef]
- Kłos, J.; Lamperski, S. Electrical double layer in molten salts taking into account Lennard-Jones potential. Electrochim. Acta 2020, 337, 135747. [Google Scholar] [CrossRef]
- Warren, R.W. Procedures and apparatus for zone purification of the alkali halides. Rev. Sci. Instrum. 1965, 36, 731–737. [Google Scholar] [CrossRef]
- Stepanov, V.P.; Minchenko, V.I. Ultrasonic velocity for an equimolar mixture of molten AgI and NaCl in the biphasic region. J. Chem. Thermodyn. 2013, 59, 250–253. [Google Scholar] [CrossRef]
- Smirnov, M.V.; Stepanov, V.P. Density and surface tension of molten alkali halides and their binary mxitures. Electrochim. Acta 1982, 27, 1551–1563. [Google Scholar] [CrossRef]
- Stepanov, V.P.; Sitnikov, L.V. Surface properties of elastically deformed copper electrode in alkali metal chloride melts. Russ. Metall. (Metally) 2014, 2, 126–134. [Google Scholar] [CrossRef]
- Pastukhov, Y.G.; Stepanov, V.P. Doklady Akademii Nauk SSSR; Akademiia Nauk SSSR: Moscow, Russian, 1989; Volume 307, pp. 648–652. (In Russian) [Google Scholar]
- Ryabchuk, V.N.; Stepanov, V.P.; Belyaev, V.S.; Filyaev, A.T. Differential surface stress of single-crystal gold(111) in a potassium chloride melt. Russ. J. Electrochem. 2001, 37, 827–832. [Google Scholar] [CrossRef]
- Stepanov, V.P.; Dokashenko, S.I.; Kirillova, E.V. Frequency dependence of potentials of minimum capacitance for electrodes of copper subgroup metals in alkali halide melts. Russ. J. Electrochem. 2012, 48, 1005–1010. [Google Scholar] [CrossRef]
- Stepanov, V.P. Potential of zero charge in molten alkali and alkaline-earth halides. Rasplavy (Melts) 2004, 3, 51–58. (In Russian) [Google Scholar]
- Tazi, S.; Salanne, M.; Simon, C.; Turq, P.; Pounds, M.; Madden, P.A. Potential-induced ordering transition of the adsorbed layer at the ionic liquid/electrified metal interface. J. Phys. Chem. B 2010, 114, 8453–8459. [Google Scholar] [CrossRef]
- Graves, A.D.; Inman, D. The electrical double layer in molten salts: Part 2. The double-layer capacitance. J. Electroanal. Chem. Interfacial Electrochem. 1970, 25, 357–372. [Google Scholar] [CrossRef]
- Stark, J.; Wendt, G. Beobachtungen über den Effekt des elektrischen Feldes auf Spektrallinien. II. Längseffekt. Ann. Phys. 1914, 348, 983–990. [Google Scholar] [CrossRef] [Green Version]
- Stark, J.; Kirschbaum, H. Beobachtungen über den Effekt des elektrischen Feldes auf Spektrallinien. III. Abhängigkeit von der Feldstärke. Ann. Phys. 1914, 348, 991–1016. [Google Scholar] [CrossRef]
- Tosi, M.P.; Fumi, F.G. Ionic sizes and born repulsive parameters in the NaCl-type alkali halides. J. Phys. Chem. Solids 1964, 25, 31–43. [Google Scholar] [CrossRef]
- Nart, F.C.; Iwasita, T. Second order Stark effect of adsorbed sulfate ions on polycrystalline platinum. Electrochim. Acta 1992, 37, 2179–2184. [Google Scholar] [CrossRef]
- Weber, M.; Nar, F.C. On the adsorption of ionic phosphate species on Au(111)—An in situ FTIR study. Electrochim. Acta 1996, 41, 653–659. [Google Scholar] [CrossRef]
- Stepanov, A.D.; Vetyukov, M.M.; Shkolnikov, S.N. Corrosion and anodic behavior of rhenium in chloride melts. In Proceedings of the V Ural Conference on High-Temperature Physical Chemistry and Electrochemistry, UrO AN SSSR, Sverdlovsk, USSR, 31 October – 2 November 1989. (In Russian). [Google Scholar]
- Kuznetsov, S.A.; Kalinnikov, V.T. Basicity of molten salts and stabilization of higher oxidation states of d and f elements. Dokl. Akad. Nauk 2011, 441, 61–63. (In Russian) [Google Scholar] [CrossRef]
- Kuznetsov, S.A. Electroreduction of rhenium complexes in halide and oxyhalide melts. Elektrokhimiya (Electrochemistry) 1994, 30, 1462–1469. (In Russian) [Google Scholar]
- Loo, B.H. In situ identification of halide complexes on gold electrode by surface-enhanced Raman spectroscopy. J. Phys. Chem. 1982, 86, 433–437. [Google Scholar] [CrossRef]
- Gao, P.; Weaver, M.J. Metal-adsorbate vibrational frequencies as a probe of surface bonding: Halides and pseudohalides at gold electrodes. J. Phys. Chem. 1986, 90, 4057–4063. [Google Scholar] [CrossRef]
- Melendres, C.A.; Hahn, F. ‘In-situ’ observation of halide ion adsorption on a gold electrode using synchrotron far infrared spectroscopy. J. Electroanal. Chem. 1999, 463, 258–261. [Google Scholar] [CrossRef]
- Sitnikov, L.V.; Zakir’yanova, I.D.; Kirillova, E.V. Investigation of chloride interaction with electrically polarized gold surface by surface-inhanced Raman spectroscopy. Rasplavy (Melts) 2016, 5, 455–463. (In Russian) [Google Scholar]
- Shimanouchi, T. Tables of molecular vibrational frequencies. Consolidated volume II. J. Phys. Chem. Ref. Data 1977, 6, 993–1102. [Google Scholar] [CrossRef]
- Davtyan, O.K. Quantum Chemistry; Vysshaya Shkola: Moscow, USSR, 1962. (In Russian) [Google Scholar]
- Borisova, L.V.; Ermakov, A.N. Analytical Chemistry of Rhenium; Nauka: Moscow, USSR, 1974. (In Russian) [Google Scholar]
- Huheey, J. Inorganic Chemistry: Princiles of Structure and Reactivity; Harper & Row: New York, NY, USA, 1983. [Google Scholar]






Publisher’s Note: MDPI stays neutral with regard to jurisdictional claims in published maps and institutional affiliations. |
© 2021 by the authors. Licensee MDPI, Basel, Switzerland. This article is an open access article distributed under the terms and conditions of the Creative Commons Attribution (CC BY) license (https://creativecommons.org/licenses/by/4.0/).
Share and Cite
Kirillova, E.V.; Stepanov, V.P. A Potential-Induced Transformation in the Double Electrical Layer on the Rhenium Electrode in Alkali Chloride Melts. Materials 2021, 14, 6009. https://doi.org/10.3390/ma14206009
Kirillova EV, Stepanov VP. A Potential-Induced Transformation in the Double Electrical Layer on the Rhenium Electrode in Alkali Chloride Melts. Materials. 2021; 14(20):6009. https://doi.org/10.3390/ma14206009
Chicago/Turabian StyleKirillova, Ekaterina V., and Victor P. Stepanov. 2021. "A Potential-Induced Transformation in the Double Electrical Layer on the Rhenium Electrode in Alkali Chloride Melts" Materials 14, no. 20: 6009. https://doi.org/10.3390/ma14206009
APA StyleKirillova, E. V., & Stepanov, V. P. (2021). A Potential-Induced Transformation in the Double Electrical Layer on the Rhenium Electrode in Alkali Chloride Melts. Materials, 14(20), 6009. https://doi.org/10.3390/ma14206009

