Optimization, Equilibrium and Kinetic Modeling of Methylene Blue Removal from Aqueous Solutions Using Dry Bean Pods Husks Powder
Abstract
:1. Introduction
2. Materials and Methods
2.1. Adsorbent Preparation and Characterization
2.2. Taguchi Experimental Design
2.3. Adsorption Experimental Studies
2.4. Equilibrium and Kinetic Modeling
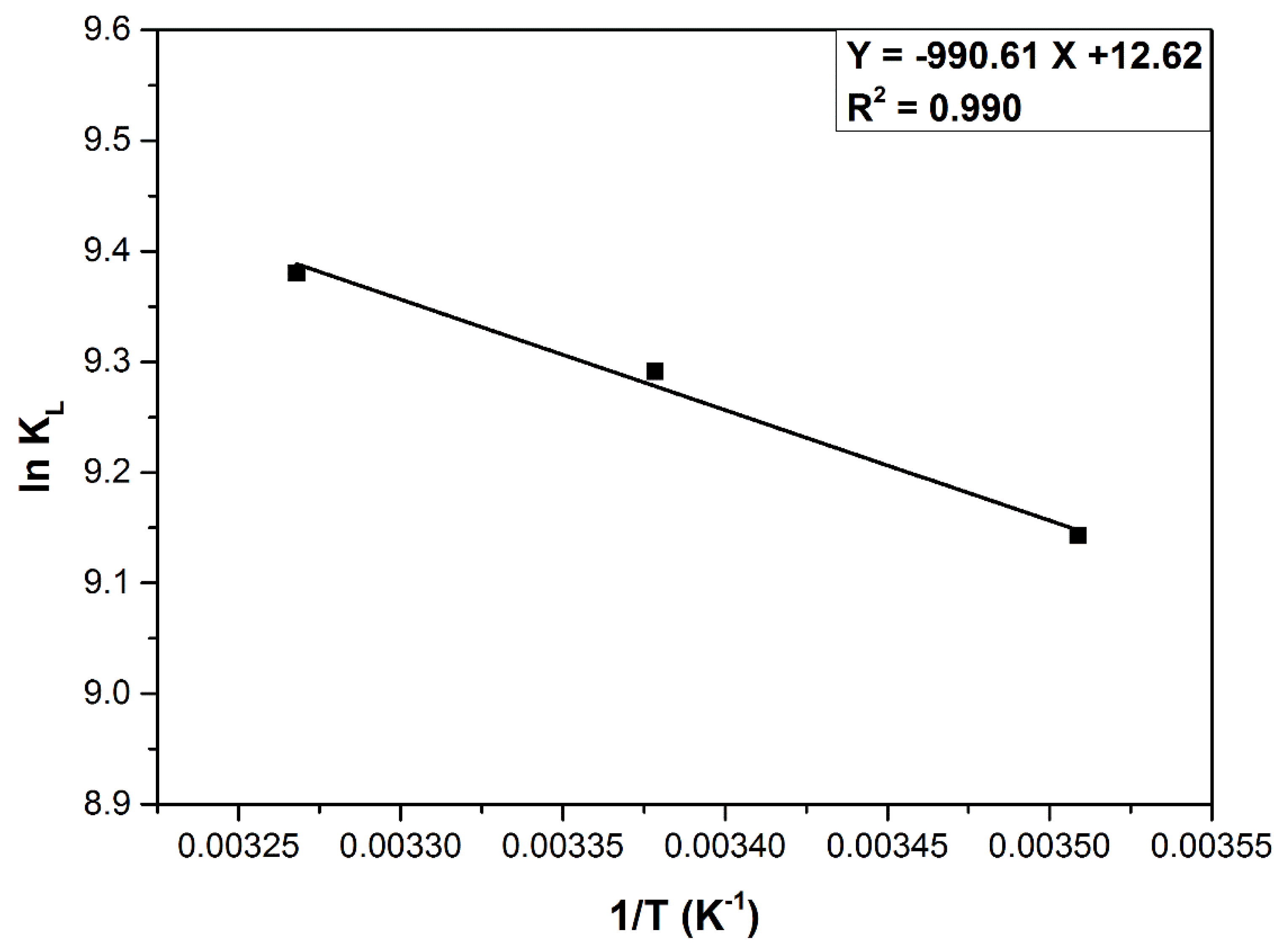
2.5. Thermodynamic Parameter Determination
2.6. Desorption Experimental Studies
3. Results and Discussion
3.1. Adsorbent Material Characterization
3.2. Optimization of Adsorption Parameters
3.3. Equilibrium Modeling
3.4. Kinetic Modeling
3.5. Thermodynamic Parameters
3.6. Desorption Studies
4. Conclusions
Author Contributions
Funding
Institutional Review Board Statement
Informed Consent Statement
Data Availability Statement
Conflicts of Interest
References
- Alghamdi, W.M.; El Mannoubi, I. Investigation of Seeds and Peels of Citrullus colocynthis as Efficient Natural Adsorbent for Methylene Blue Dye. Processes 2021, 9, 1279. [Google Scholar] [CrossRef]
- Alvarez-Torrellas, S.; Boutahala, M.; Boukhalfa, N.; Munoz, M. Effective Adsorption of Methylene Blue dye onto Magnetic Nanocomposites. Modeling and Reuse Studies. Appl. Sci. 2019, 9, 4563. [Google Scholar] [CrossRef] [Green Version]
- De Luca, P.; Nagy, J.B. Treatment of Water Contaminated with Reactive Black-5 Dye by Carbon Nanotubes. Materials 2020, 13, 5508. [Google Scholar] [CrossRef]
- Ge, M.; Xi, Z.; Zhu, C.; Liang, G.; Yang, Y.; Hu, G.; Jamal, L.; Jahangir Alam, S.M. Adsorption Process and Properties Analyses of a Pure Magadiite and a Modified Magadiite on Rhodamine-B from an Aqueous Solution. Processes 2019, 7, 565. [Google Scholar] [CrossRef] [Green Version]
- Gong, J.; Liu, J.; Jiang, Z.; Wen, X.; Mijowska, E.; Tang, T.; Chen, X. A facile approach to prepare porous cup-stacked carbon nanotube with high performance in adsorption of methylene blue. J. Colloid. Interface. Sci. 2015, 445, 195–204. [Google Scholar] [CrossRef]
- Kweinor Tetteh, E.; Rathilal, S. Adsorption and Photocatalytic Mineralization of Bromophenol Blue Dye with TiO2 Modified with Clinoptilolite/Activated Carbon. Catalysts 2021, 11, 7. [Google Scholar] [CrossRef]
- Rojas, J.; Suarez, D.; Moreno, A.; Silva-Agredo, J.; Torres-Palma, R.A. Kinetics, Isotherms and Thermodynamic Modeling of Liquid Phase Adsorption of Crystal Violet Dye onto Shrimp-Waste in Its Raw, Pyrolyzed Material and Activated Charcoals. Appl. Sci. 2019, 9, 5337. [Google Scholar] [CrossRef] [Green Version]
- Setiabudi, H.D.; Jusoh, R.; Suhaimi, S.F.R.M.; Masrur, S.F. Adsorption of methylene blue onto oil palm (Elaeis guineensis) leaves: Process optimization, isotherm, kinetics and thermodynamic studies. J. Taiwan Inst. Chem. Eng. 2016, 63, 363–370. [Google Scholar] [CrossRef] [Green Version]
- Valerio Filho, A.; Xavare Kulman, R.; Vaz Tholozan, L.; Felkl de Almeida, A.R.; Silveira da Rosa, G. Preparation and Characterization of Activated Carbon Obtained from Water Treatment Plant Sludge for Removal of Cationic Dye from Wastewater. Processes 2020, 8, 1549. [Google Scholar] [CrossRef]
- Abualnaja, K.M.; Alprol, A.E.; Abu-Saied, M.A.; Ashour, M.; Mansour, A.T. Removing of Anionic Dye from Aqueous Solutions by Adsorption Using of Multiwalled Carbon Nanotubes and Poly (Acrylonitrile-styrene) Impregnated with Activated Carbon. Sustainability 2021, 13, 7077. [Google Scholar] [CrossRef]
- Cai, X.; Li, J.; Liu, Y.; Hu, X.; Tan, X.; Liu, S.; Wang, H.; Gu, Y.; Luo, L. Design and Preparation of Chitosan-Crosslinked Bismuth Ferrite/Biochar Coupled Magnetic Material for Methylene Blue Removal. Int. J. Environ. Res. Public Health 2020, 17, 6. [Google Scholar] [CrossRef] [Green Version]
- Mokhtar, N.; Aziz, E.A.; Aris, A.; Ishak, W.F.W.; Ali, N.S.M. Biosorption of azo-dye using marine macro-alga of Euchema Spinosum. J. Environ. Chem. Eng. 2017, 5, 5721–5731. [Google Scholar] [CrossRef]
- Reddy, P.M.K.; Verma, P.; Subrahmanyam, C. Bio-waste derived adsorbent material for methylene blue adsorption. J. Taiwan Inst. Chem. Eng. 2016, 58, 500–508. [Google Scholar] [CrossRef]
- Shakoor, S.; Nasar, A. Removal of methylene blue dye from artificially contaminated water using citrus limetta peel waste as a very low cost adsorbent. J. Taiwan. Inst. Chem. Eng. 2016, 66, 154–163. [Google Scholar] [CrossRef]
- Hakami, A.A.H.; Wabaidur, S.M.; Khan, M.A.; AlOthman, Z.A.; Siddiqui, M.R. Extraction Procedures and Analytical Methods for the Determination of Methylene Blue, Rhodamine B and Crystal Violet-An Overview. Curr. Anal. Chem. 2021, 17, 708–728. [Google Scholar] [CrossRef]
- Iwuozor, K.O.; Ighalo, J.O.; Ogunfowora, L.A.; Adeniyi, A.G.; Igwegbe, C.A. An empirical literature analysis of adsorbent performance for methylene blue uptake from aqueous media. J. Environ. Chem. Eng. 2021, 9, 105658. [Google Scholar] [CrossRef]
- Santoso, E.; Ediati, R.; Kusumawati, Y.; Bahruji, H.; Sulistiono, D.O.; Prasetyoko, D. Review on recent advances of carbon based adsorbent for methylene blue removal from waste water. Mater. Today Chem. 2020, 16, 100233. [Google Scholar] [CrossRef]
- Kadhom, M.; Albayati, N.; Alalwan, H.; Al-Furaiji, M. Removal of dyes by agricultural waste. Sustain. Chem. Pharm. 2020, 16, 100259. [Google Scholar] [CrossRef]
- Fernandez-Lopez, J.A.; Angosto, J.M.; Roca, M.J.; Doval Minarro, M. Taguchi design-based enhancement of heavy metals bioremoval by agroindustrial waste biomass from artichoke. Sci. Total Environ. 2019, 653, 55–63. [Google Scholar] [CrossRef] [PubMed]
- Ghorbani, F.; Kamari, S. Application of response surface methodology for optimization of methyl orange adsorption by Fe-grafting sugar beet bagasse. Adsorp. Sci. Technol. 2017, 35, 317–338. [Google Scholar] [CrossRef]
- Korake, S.R.; Jadhao, P.D. Investigation of Taguchi optimization, equilibrium isotherms, and kinetic modeling for cadmium adsorption onto deposited silt. Heliyon 2020, 6, e05755. [Google Scholar]
- Madan, S.S.; Wasewar, K.L. Optimization for benzeneacetic acid removal from aqueous solution using CaO2 nanoparticles based on Taguchi method. J. Appl. Res. Technol. 2017, 15, 332–339. [Google Scholar] [CrossRef] [Green Version]
- Razmi, B.; Ghasemi-Fasaei, R. Investigation of Taguchi optimization, equilibrium isotherms, and kinetic modeling for phosphorus adsorption onto natural zeolite of clinoptilolite type. Adsorp. Sci. Technol. 2018, 36, 1470–1483. [Google Scholar] [CrossRef] [Green Version]
- Shojaei, S.; Shojaei, S.; Band, S.S.; Farizhandi, A.A.K.; Ghoroqi, M.; Mosavi, A. Application of Taguchi method and response surface methodology into the removal of malachite green and auramine-O by NaX nanozeolites. Sci. Rep. 2021, 11, 16054. [Google Scholar] [CrossRef] [PubMed]
- Aita, C.A.G.; Goss, I.C.; Rosendo, T.S.; Tier, M.D.; Wiedenhoft, A.; Reguly, A. Shear strength optimization for FSSW AA6060-T5 joints by Taguchi and full factorial design. J. Mater. Res. Technol. 2020, 9, 16072–16079. [Google Scholar] [CrossRef]
- Taiwo, A.E.; Madzimbamuto, T.N.; Ojumu, T.V. Optimization of process variables for acetoin production in a bioreactor using Taguchi orthogonal array design. Heliyon 2020, 6, e05103. [Google Scholar] [CrossRef]
- Belmiro, R.H.; Tribst, A.A.L.; Cristianini, M. Impact of high pressure processing in hydration and drying curves of common beans (Phaseolus vulgaris L.). Innov. Food Sci. Emerg. Technol. 2018, 47, 279–285. [Google Scholar] [CrossRef]
- Corzo-Rios, L.J.; Sanchez-Chino, X.M.; Cardador-Martinez, A.; Martinez-Herrera, J.; Jimenez-Martinez, C. Effect of cooking on nutritional and non-nutritional compounds in two species of Phaseolus (P. vulgaris and P. coccineus) cultivated in Mexico. Int. J. Gastron. Food Sci. 2020, 20, 100206. [Google Scholar]
- Salama, D.M.; Osman, S.A.; Abd El-Aziz, M.E.; Abd Elwahed, M.S.A.; Shaaban, E.A. Effect of zinc oxide nanoparticles on the growth, genomic DNA, production and the quality of common dry bean (Phaseolus vulgaris). Biocatal. Agric. Biotechnol. 2019, 18, 101083. [Google Scholar] [CrossRef]
- Ghosh, S.B.; Mondal, N.K. Application of Taguchi method for optimizing the process parameters for the removal of fluoride by Al-impregnated Eucalyptus bark ash. Environ. Nanotechnol. Monit. Manag. 2019, 11, 100206. [Google Scholar] [CrossRef]
- Santra, D.; Joarder, R.; Sarkar, M. Taguchi design and equilibrium modeling for fluoride adsorption on cerium loaded cellulose nanocomposite bead. Carbohydr. Polym. 2014, 111, 813–821. [Google Scholar] [CrossRef]
- Zolgharnein, J.; Rastgordani, M. Optimization of simultaneous removal of binary mixture of indigo carmine and methyl orange dyes by cobalt hydroxide nano-particles through Taguchi method. J. Mol. Liq. 2018, 262, 405–414. [Google Scholar] [CrossRef]
- Rahmani, M.; Kaykhaii, M.; Sasani, M. Application of Taguchi L16 design method for comparative study of ability of 3A zeolite in removal of Rhodamine B and Malachite green from environmental water samples. Spectrochim. Acta. Part A 2018, 188, 164–169. [Google Scholar] [CrossRef]
- Postai, D.L.; Demarchi, C.A.; Zanatta, F.; Melo, D.C.C.; Rodrigues, C.A. Adsorption of rhodamine B and methylene blue dyes using waste of seeds of Aleurites Moluccana, a low cost adsorbent. Alex. Eng. J. 2016, 55, 1713–1723. [Google Scholar] [CrossRef] [Green Version]
- Spagnoli, A.A.; Giannakoudakis, D.A.; Bashkova, S. Adsorption of methylene blue on cashew nut shell based carbons activated with zinc chloride: The role of surface and structural parameters. J. Mol. Liq. 2017, 229, 465–471. [Google Scholar] [CrossRef]
- Han, R.; Zou, W.; Yu, W.; Cheng, S.; Wang, Y.; Shi, J. Biosorption of methylene blue from aqueous solution by fallen phoenix tree’s leaves. J. Hazard. Mater. 2007, 141, 156–162. [Google Scholar] [CrossRef]
- Dotto, G.L.; Salau, N.P.G.; Piccin, J.S.; Cadaval, T.R.S.; de Pinto, L.A.A. Adsorption Kinetics in Liquid Phase: Modeling for Discontinuous and Continuous Systems. In Adsorption Processes for Water Treatment and Purification; Bonilla-Petriciolet, A., Mendoza-Castillo, D., Reynel-Avila, H., Eds.; Springer: Cham, Switzerland, 2017; pp. 53–76. [Google Scholar]
- Piccin, J.S.; Cadaval, T.R.S.; de Pinto, L.A.A.; Dotto, G.L. Adsorption Isotherms in Liquid Phase: Experimental, Modeling, and Interpretations. In Adsorption Processes for Water Treatment and Purification; Bonilla-Petriciolet, A., Mendoza-Castillo, D., Reynel-Avila, H., Eds.; Springer: Cham, Switzerland, 2017; pp. 19–51. [Google Scholar]
- Pang, J.; Fu, F.; Ding, Z.; Lu, J.; Li, N.; Tang, B. Adsorption behaviors of methylene blue from aqueous solution on mesoporous birnessite. J. Taiwan Inst. Chem. Eng. 2017, 77, 168–176. [Google Scholar] [CrossRef]
- Weng, C.H.; Lin, Y.T.; Tzeng, T.W. Removal of methylene blue from aqueous solution by adsorption onto pineapple leaf powder. J. Hazard. Mater. 2009, 170, 417–424. [Google Scholar] [CrossRef]
- Blazquez, G.; Martin-Lara, M.A.; Tenorio, G.; Calero, M. Batch biosorption of lead(II) from aqueous solutions by olive tree pruning waste: Equilibrium, kinetics and thermodynamic study. Chem. Eng. J. 2011, 168, 170–177. [Google Scholar] [CrossRef]
- Wang, Z.L.; Liu, Y.X.; Peng, J.H.; Zhang, R.Q. Hemicelluloses extraction of bagasse with NaOH/borax. Adv. Mat. Res. 2012, 610–613, 3367–3370. [Google Scholar] [CrossRef]
- Pekel Bayramgil, N. Preparation of graft copolymers of cellulose derivatives and their use in recovery processes. In Cellulose-Based Graft Copolymers: Structure and Chemistry, 1st ed.; Thakur, V.K., Ed.; CRC Press: Boca Raton, FL, USA, 2015; pp. 335–364. [Google Scholar]
- Wulandari, W.T.; Rochliadi, A.; Arcana, I.M. Nanocellulose prepared by acid hydrolysis of isolated cellulose from sugarcane bagasse. IOP Conf. Ser. Mat. Sci. Eng. 2016, 107, 012045. [Google Scholar] [CrossRef]
- Cheng, S.; Huang, A.; Wang, S.; Zhang, Q. Effect of different heat treatment temperatures on the chemical composition and structure of Chinese Fir wood. BioResources 2016, 11, 4006–4016. [Google Scholar] [CrossRef] [Green Version]
- Saravanakumar, S.S.; Kumaravel, A.; Nagarajan, T.; Moorthy, I.G. Effect of chemical treatments on physicochemical properties of Prosopis juliflora fibers. Int. J. Polym. Anal. Charact. 2014, 19, 383–390. [Google Scholar] [CrossRef]
- Lupoi, J.S.; Smith-Moritz, A.; Singh, S.; McQualter, R.; Scheller, H.V.; Simmons, B.A.; Henry, R.J. Localization of polyhydroxybutyrate in sugarcane using Fourier-transform infrared microspectroscopy and multivariate imaging. Biotechnol. Biofuels 2015, 8, 98. [Google Scholar] [CrossRef] [Green Version]
- Ali, M.E.; Yong, C.K.; Ching, Y.C.; Chuah, C.H.; Liou, N.S. Effect of single and double stage chemically treated kenaf fibers on mechanical properties of polyvinyl alcohol film. BioResources 2015, 10, 822–838. [Google Scholar] [CrossRef] [Green Version]
- Mosoarca, G.; Vancea, C.; Popa, S.; Boran, S.; Tanasie, C. A green approach for treatment of wastewater with manganese using wood ash. J. Chem. Technol. Biotechnol. 2020, 95, 1781–1789. [Google Scholar] [CrossRef]
- Hameed, B.H. Evaluation of papaya seeds as a novel non-conventional low-cost adsorbent for removal of methylene blue. J. Hazard. Mater. 2009, 162, 939–944. [Google Scholar] [CrossRef]
- Choi, H.J.; Yu, S.W. Biosorption of methylene blue from aqueous solution by agricultural bioadsorbent corncob. Environ. Eng. Res. 2019, 24, 99–106. [Google Scholar] [CrossRef] [Green Version]
- Mahadlek, J.; Mahadlek, J. Investigation of various factors affecting methylene blue adsorption on agricultural waste: Banana stalks. Sci. Eng. Health Stud. 2020, 14, 47–61. [Google Scholar]
- Liang, J.; Wu, J.; Li, P.; Wang, X.; Yang, B. Shaddock peel as a novel low-cost adsorbent for removal of methylene blue from dye wastewater. Desalin. Water. Treat. 2012, 39, 70–75. [Google Scholar] [CrossRef]
- Miraboutalebi, S.M.; Nikouzad, S.K.; Peydayesh, M.; Allahgholi, N.; Vafajoo, L.; McKay, G. Methylene blue adsorption via maize silk powder: Kinetic, equilibrium, thermodynamic studies and residual error analysis. Process Saf. Environ. Prot. 2017, 106, 191–202. [Google Scholar] [CrossRef]
- Hameed, B.H.; El-Khaiary, M.I. Sorption kinetics and isotherm studies of a cationic dye using agricultural waste: Broad bean peels. J. Hazard. Mater. 2008, 154, 639–648. [Google Scholar] [CrossRef] [PubMed]
- Zhou, H.; Feng, Y.F.; Wu, Y.H.; Yang, L.Z. Mung Bean Shell (Vigna radiata L. Wilczek)-A Novel Cost-Effective Adsorbent for Removing Methylene Blue from Aqueous Solutions. AMR 2012, 573–574, 68–79. [Google Scholar] [CrossRef]
- Bayomie, O.S.; Kandeel, H.; Shoeib, T.; Yang, H.; Youssef, N.; El-Sayed, M.M.H. Novel approach for effective removal of methylene blue dye from water using fava bean peel waste. Sci. Rep. 2020, 10, 7824. [Google Scholar] [CrossRef] [PubMed]
- Oliveira, L.S.; Franca, A.S.; Alves, T.M.; Rocha, S.D.F. Evaluation of untreated coffee husks as potential biosorbents for treatment of dye contaminated waters. J. Hazard. Mater. 2008, 155, 507–512. [Google Scholar] [CrossRef] [PubMed]
- Hameed, B.H.; Ahmad, A.A. Batch adsorption of methylene blue from aqueous solution by garlic peel, an agricultural waste biomass. J. Hazard. Mater. 2009, 164, 870–875. [Google Scholar] [CrossRef] [PubMed]
- Song, J.; Zou, W.; Bian, Y.; Su, F.; Han, R. Adsorption characteristics of methylene blue by peanut husk in batch and column modes. Desalination 2011, 265, 119–125. [Google Scholar] [CrossRef]
- Gong, R.; Li, M.; Yang, C.; Sun, Y.; Chen, J. Removal of cationic dyes from aqueous solution by adsorption on peanut hull. J. Hazard. Mater. 2005, 121, 247–250. [Google Scholar] [CrossRef]
- Liu, J.; Li, E.; You, X.; Hu, C.; Huang, Q. Adsorption of methylene blue on an agro-waste oiltea shell with and without fungal treatment. Sci. Rep. 2016, 6, 38450. [Google Scholar] [CrossRef]
- Kushwaha, A.K.; Gupta, N.; Chattopadhyaya, M.C. Removal of cationic methylene blue and malachite green dyes from aqueous solution by waste materials of Daucus carota. J. Saudi. Chem. Soc. 2014, 18, 200–207. [Google Scholar] [CrossRef]
- Pavan, F.A.; Mazzocato, A.C.; Gushikem, Y. Removal of methylene blue dye from aqueous solutions by adsorption using yellow passion fruit peel as adsorbent. Bioresour. Technol. 2008, 99, 3162–3165. [Google Scholar] [CrossRef]
- Vadivelan, V.; Kumar, K.V. Equilibrium, kinetics, mechanism and process design for the sorption of methylene blue onto rice husk. J. Colloid Interf. Sci. 2005, 286, 90–100. [Google Scholar] [CrossRef]
- Malik, D.S.; Jain, C.K.; Yadav, A.K.; Kothari, R.; Pathak, V.V. Removal of methylene blue dye in aqueous solution by agricultural waste. Int. Res. J. Eng. Tech. 2016, 3, 864–880. [Google Scholar]
- Pal, P.; Pal, A. Bengal Gram Husk as Efficient and Cost-Effective Adsorbent for Pb2+ and Methylene Blue Removal in Single and Binary Systems. J. Hazard. Toxic Radioact. Waste 2020, 24, 04019032. [Google Scholar] [CrossRef]
- Annadurai, G.; Juang, R.S.; Lee, D.J. Use of cellulose-based wastes for adsorption of dyes from aqueous solutions. J. Hazard. Mater. 2002, 92, 263–274. [Google Scholar] [CrossRef]
- Shooto, N.D.; Nkutha, C.S.; Guilande, N.R.; Naidoo, E.B. Pristine and modified mucuna beans adsorptive studies of toxic lead ions and methylene blue dye from aqueous solution. S. Afr. J. Chem. Eng. 2020, 31, 33–43. [Google Scholar] [CrossRef]
- Conrad, E.K.; Nnaemeka, O.J.; Chris, A.O. Adsorptive removal of methylene blue from aqueous solution using agricultural waste: Equilibrium, kinetic and thermodynamic studies. Am. J. Chem. Mater. Sci. 2015, 2, 14–25. [Google Scholar]
- Bulut, Y.; Aydin, H. A kinetics and thermodynamics study of methylene blue adsorption on wheat shells. Desalination 2006, 194, 259–267. [Google Scholar] [CrossRef]
- Dawood, S.; Sen, T.K.; Phan, C. Adsorption removal of Methylene Blue (MB) dye from aqueous solution by bio-char prepared from Eucalyptus sheathiana bark: Kinetic, equilibrium, mechanism, thermodynamic and process design. Desalin. Water Treat. 2016, 57, 28964–28980. [Google Scholar] [CrossRef]
- Wakkel, M.; Khiari, B.; Zagrouba, F. Textile wastewater treatment by agro-industrial waste: Equilibrium modelling, thermodynamics and mass transfer mechanisms of cationic dyes adsorption onto low-cost lignocellulosic adsorbent. J. Taiwan Inst. Chem. Eng. 2019, 96, 439–452. [Google Scholar] [CrossRef]
- Jiang, Z.; Hu, D. Molecular mechanism of anionic dyes adsorption on cationized rice husk cellulose from agricultural wastes. J. Mol. Liq. 2019, 276, 105–114. [Google Scholar] [CrossRef]










| Parameter | Level 1 | Level 2 | Level 3 |
|---|---|---|---|
| pH | 2 | 6 | 10 |
| Time (min) | 5 | 30 | 50 |
| Adsorbent dose (mg L−1) | 0.5 | 1.5 | 2.5 |
| Initial dye concentration (mg L−1) | 50 | 150 | 250 |
| Temperature (K) | 285 | 296 | 306 |
| pH | Time | Adsorbent Dose | Initial Dye Concentration | Temperature | Dye Removal Efficiency | S/N Ratio |
|---|---|---|---|---|---|---|
| 2 | 5 | 0.5 | 50 | 285 | 38.81 | 31.77 |
| 2 | 5 | 0.5 | 50 | 296 | 42.22 | 32.51 |
| 2 | 5 | 0.5 | 50 | 306 | 42.62 | 32.59 |
| 2 | 30 | 1.5 | 150 | 285 | 53.95 | 34.63 |
| 2 | 30 | 1.5 | 150 | 296 | 58.69 | 35.37 |
| 2 | 30 | 1.5 | 150 | 306 | 59.24 | 35.45 |
| 2 | 50 | 2.5 | 250 | 285 | 53.35 | 34.54 |
| 2 | 50 | 2.5 | 250 | 296 | 58.04 | 35.27 |
| 2 | 50 | 2.5 | 250 | 306 | 58.58 | 35.35 |
| 6 | 5 | 1.5 | 250 | 285 | 48.67 | 33.74 |
| 6 | 5 | 1.5 | 250 | 296 | 52.97 | 34.48 |
| 6 | 5 | 1.5 | 250 | 306 | 53.44 | 34.55 |
| 6 | 30 | 2.5 | 50 | 285 | 80.12 | 38.07 |
| 6 | 30 | 2.5 | 50 | 296 | 87.16 | 38.80 |
| 6 | 30 | 2.5 | 50 | 306 | 87.98 | 38.88 |
| 6 | 50 | 0.5 | 150 | 285 | 52.94 | 34.47 |
| 6 | 50 | 0.5 | 150 | 296 | 57.59 | 35.20 |
| 6 | 50 | 0.5 | 150 | 306 | 58.13 | 35.28 |
| 10 | 5 | 2.5 | 150 | 285 | 63.67 | 36.07 |
| 10 | 5 | 2.5 | 150 | 296 | 69.26 | 36.80 |
| 10 | 5 | 2.5 | 150 | 306 | 69.91 | 36.89 |
| 10 | 30 | 0.5 | 250 | 285 | 48.73 | 33.75 |
| 10 | 30 | 0.5 | 250 | 296 | 53.01 | 34.48 |
| 10 | 30 | 0.5 | 250 | 306 | 53.51 | 34.56 |
| 10 | 50 | 1.5 | 50 | 285 | 74.66 | 37.46 |
| 10 | 50 | 1.5 | 50 | 296 | 81.21 | 38.19 |
| 10 | 50 | 1.5 | 50 | 306 | 81.98 | 38.27 |
| Level | pH | Time | Adsorbent Dose | Initial Dye Concentration | Temperature |
|---|---|---|---|---|---|
| 1 | 34.17 | 34.38 | 33.85 | 36.29 * | 34.95 |
| 2 | 35.95 | 36.00 | 35.80 | 35.58 | 35.68 |
| 3 | 36.28 * | 36.01 * | 36.75 * | 34.53 | 35.76 * |
| Delta | 2.11 | 1.63 | 2.90 | 1.76 | 0.81 |
| Rank | 2 | 4 | 1 | 3 | 5 |
| Isotherm Model | Parameters | Value |
|---|---|---|
| Langmuir | KL (L mg−1) | 0.032 ± 0.004 |
| qmax (mg g−1) | 121.16 ± 7.53 | |
| R2 | 0.9921 | |
| SSE | 21.51 | |
| χ2 | 0.41 | |
| ARE (%) | 3.89 | |
| Freundlich | Kf (mg g−1) | 9.88 ± 1.79 |
| 1/n | 0.51 ± 0.04 | |
| R2 | 0.9839 | |
| SSE | 44.79 | |
| χ2 | 1.38 | |
| ARE (%) | 6.77 |
| Adsorbent Material | Maximum Adsorption Capacity (mg g−1) | Reference |
|---|---|---|
| papaya seeds | 555.55 | [50] |
| corncob | 417.12 | [51] |
| banana stalks | 322.58 | [52] |
| shaddock peel | 305.81 | [53] |
| maize silk powder | 234.10 | [54] |
| broad bean peels | 192.72 | [55] |
| mung bean shell | 165.92 | [56] |
| fava beans | 140.00 | [57] |
| dry bean pods husk | 121.16 | This study |
| coffee husks | 90.09 | [58] |
| garlic peel | 82.64 | [59] |
| peanut husk | 72.13 | [60] |
| peanut hull | 68.03 | [61] |
| oiltea shell | 64.35 | [62] |
| Daucus carota stem powder | 55.50 | [63] |
| yellow passion fruit waste | 44.70 | [64] |
| rice husk | 40.59 | [65] |
| corn husk | 30.33 | [66] |
| Bengal gram bean | 24.70 | [67] |
| banana peel | 20.80 | [68] |
| mucuna beans | 19.97 | [69] |
| orange peel | 18.60 | [68] |
| raw corn cobs | 18.28 | [70] |
| wheat shells | 16.56 | [71] |
| Kinetic Model | Parameters | Value |
|---|---|---|
| Pseudo-first-order | k1 (min−1) | 0.349 ± 0.029 |
| qe,calc (mg g−1) | 41.98 ± 0.47 | |
| R2 | 0.9965 | |
| SSE | 0.45 | |
| χ2 | 0.013 | |
| ARE (%) | 20.55 | |
| Pseudo-second-order | k2 (g mg−1 min−1) | 0.018 ± 0.001 |
| qe,calc (mg g−1) | 43.89 ± 0.16 | |
| R2 | 0.9998 | |
| SSE | 0.26 | |
| χ2 | 0.009 | |
| ARE (%) | 20.46 |
| ΔG (kJ mol−1) | ΔH (kJ mol−1) | ΔS (J mol−1 K−1) | ||
|---|---|---|---|---|
| 285 K | 296 K | 306 K | 0.99 | 12.62 |
| −21.66 | −22.86 | −23.86 | ||
Publisher’s Note: MDPI stays neutral with regard to jurisdictional claims in published maps and institutional affiliations. |
© 2021 by the authors. Licensee MDPI, Basel, Switzerland. This article is an open access article distributed under the terms and conditions of the Creative Commons Attribution (CC BY) license (https://creativecommons.org/licenses/by/4.0/).
Share and Cite
Mosoarca, G.; Popa, S.; Vancea, C.; Boran, S. Optimization, Equilibrium and Kinetic Modeling of Methylene Blue Removal from Aqueous Solutions Using Dry Bean Pods Husks Powder. Materials 2021, 14, 5673. https://doi.org/10.3390/ma14195673
Mosoarca G, Popa S, Vancea C, Boran S. Optimization, Equilibrium and Kinetic Modeling of Methylene Blue Removal from Aqueous Solutions Using Dry Bean Pods Husks Powder. Materials. 2021; 14(19):5673. https://doi.org/10.3390/ma14195673
Chicago/Turabian StyleMosoarca, Giannin, Simona Popa, Cosmin Vancea, and Sorina Boran. 2021. "Optimization, Equilibrium and Kinetic Modeling of Methylene Blue Removal from Aqueous Solutions Using Dry Bean Pods Husks Powder" Materials 14, no. 19: 5673. https://doi.org/10.3390/ma14195673
APA StyleMosoarca, G., Popa, S., Vancea, C., & Boran, S. (2021). Optimization, Equilibrium and Kinetic Modeling of Methylene Blue Removal from Aqueous Solutions Using Dry Bean Pods Husks Powder. Materials, 14(19), 5673. https://doi.org/10.3390/ma14195673
