Borocarbonitride Layers on Titanium Dioxide Nanoribbons for Efficient Photoelectrocatalytic Water Splitting
Abstract
:1. Introduction
2. Materials and Methods
2.1. Synthesis
2.2. Characterization
3. Results and Discussion
3.1. Morphological and Structural Characterization
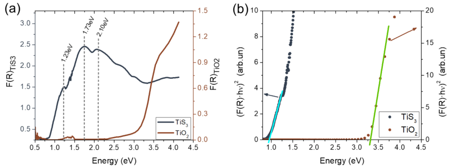
3.2. Optical Characterization
3.3. Surface Chemical Composition and Element Distribution
3.4. Photoelectrocatalytic Activity for the OER
4. Conclusions
Supplementary Materials
Author Contributions
Funding
Institutional Review Board Statement
Informed Consent Statement
Data Availability Statement
Acknowledgments
Conflicts of Interest
References
- Lewis, N.S.; Nocera, D.G. Powering the planet: Chemical challenges in solar energy utilization. Proc. Natl. Acad. Sci. USA 2006, 103, 15729–15735. [Google Scholar] [CrossRef] [Green Version]
- Osterloh, F.E.; Parkinson, B.A. Recent developments in solar water-splitting photocatalysis. MRS Bull. 2011, 36, 17–22. [Google Scholar] [CrossRef] [Green Version]
- Van der Krol, R.; Grätzel, M. Photoelectrochemical Hydrogen Production; Springer: New York, NY, USA, 2012. [Google Scholar]
- Lewis, N.S. Toward cost-effective solar energy use. Science 2007, 315, 798–801. [Google Scholar] [CrossRef] [Green Version]
- Fujishima, A.; Honda, K. Electrochemical Photolysis of Water at a Semiconductor Electrode. Nature 1972, 238, 37–38. [Google Scholar] [CrossRef] [PubMed]
- Walter, M.G.; Warren, E.L.; McKone, J.R.; Boettcher, S.W.; Mi, Q.; Santori, E.A.; Lewis, N.S. Solar water splitting cells. Chem. Rev. 2010, 110, 6446–6473. [Google Scholar] [CrossRef] [PubMed]
- Chen, X.; Shen, S.; Guo, L.; Mao, S.S. Semiconductor-based photocatalytic hydrogen generation. Chem. Rev. 2010, 110, 6503–6570. [Google Scholar] [CrossRef] [PubMed]
- Jamesh, M.I.; Xiaoming, S. Recent progess on earth abundant electrocatalysts for oxygen evolution reaction (OER) in alkaline medium to achieve efficient water splitting- A review. J. Power Sources 2018, 400, 31–68. [Google Scholar] [CrossRef]
- Berger, T.; Monllor-Satoca, D.; Jankulovska, M.; Lana-Villareal, T.; Gómez, R. The electrochemistry of nanostructured titanium dioxide electrodes. ChemPhysChem 2012, 13, 2824–2875. [Google Scholar] [CrossRef]
- Cao, F.; Xiong, J.; Wu, F.; Liu, Q.; Shi, Z.; Yu, Y.; Wang, X.; Li, L. Enhanced photoelectrochemical performance from rationally designed anatase/rutile TiO2 heterostructures. ACS Appl. Mater. Interfaces 2016, 8, 12239–12245. [Google Scholar] [CrossRef]
- Hu, S.; Shaner, M.R.; Beardslee, J.A.; Lichterman, M.; Brunschwig, B.S.; Lewis, N.S. Amorphous TiO2 coatings stabilize Si, GaAs, and GaP photoanodes for efficient water oxidation. Science 2014, 344, 1005–1009. [Google Scholar] [CrossRef] [Green Version]
- Li, Z.; Chen, Y.; Ma, T.; Jiang, Y.; Chen, J.; Pan, H.; Sun, W. 2D Metal-Free Nanomaterials Beyond Graphene and its Analogues toward Electrocatalysis Applications. Adv. Energy Mater. 2021, 11, 2101202. [Google Scholar] [CrossRef]
- Chhetri, M.; Maitra, S.; Chakraborty, H.; Waghmare, U.V.; Rao, C.N.R. Superior performance of borocarbonitrides, BxCyNz, as stable, low-cost metal-free electrocatalysts for the hydrogen evolution reaction. Energy Environ. Sci. 2016, 9, 95–101. [Google Scholar] [CrossRef]
- Rao, C.N.R.; Chhetri, M. Borocarbonitrides as Metal-Free Catalysts for the Hydrogen Evolution Reaction. Adv. Mater. 2019, 31, 1–13. [Google Scholar] [CrossRef]
- Jiménez-Arévalo, N.; Leardini, F.; Ferrer, I.J.; Ares, J.R.; Sánchez, C.; Abdelnabi, M.M.S.; Betti, M.G.; Mariani, C. Ultrathin Transparent B-C-N Layers Grown on Titanium Substrates with Excellent Electrocatalytic Activity for the Oxygen Evolution Reaction. ACS Appl. Energy Mater. 2020, 3, 1922–1932. [Google Scholar] [CrossRef]
- Leardini, F.; Jiménez-Arévalo, N.; Ferrer, I.J.; Ares, J.R.; Molina, P.; Gómez Navarro, C.; Manzanares, Y.; Granados, D.; Urbanos, F.J.; García-García, F.J.; et al. A fast synthesis route of boron-carbon-nitrogen ultrathin layers towards highly mixed ternary B-C-N phases. 2D Mater. 2019, 6, 035015. [Google Scholar] [CrossRef]
- Ghasemi, F.; Frisenda, R.; Flores, E.; Papadopoulos, N.; Biele, R.; Perez de Lara, D.; Van der Zant, H.S.J.; Watanabe, K.; Taniguchi, T.; D’Agosta, R.; et al. Tunable Photodetectors via In Situ Thermal Conversion of TiS3 to TiO2. Nanomaterials 2020, 10, 711. [Google Scholar] [CrossRef] [PubMed] [Green Version]
- Ferrer, I.J.; Maciá, M.D.; Carcelén, V.; Ares, J.R.; Sánchez, C. On the photoelectrochemical properties of TiS3 films. Energy Procedia 2012, 22, 48–52. [Google Scholar] [CrossRef] [Green Version]
- Ferrer, I.J.; Ares, J.R.; Clamagirand, J.M.; Barawi, M.; Sánchez, C. Optical properties of titanium trisulphide (TiS3) thin films. Thin Solid Films 2013, 535, 398–401. [Google Scholar] [CrossRef]
- Massimi, L.; Betti, M.G.; Caramazza, S.; Postorino, P.; Mariani, C.; Latini, A.; Leardini, F. In-Vacuum thermolysis of ethane 1,2-diamineborane for the synthesis of ternary borocarbonitrides. Nanotechnology 2016, 27, 435601. [Google Scholar] [CrossRef]
- Leardini, F.; Flores, E.; Ferrer, I.J.; Ares, J.R.; Sánchez, C.; Molina, P.; van der Meulen, H.P.; Navarro, C.G.; Polin, G.L.; Urbanos, F.J.; et al. Chemical vapor deposition growth of boron-carbon-nitrogen layers from methylamine borane thermolysis products. Nanotechnology 2018, 29, 025603. [Google Scholar] [CrossRef] [Green Version]
- Pawbaje, A.S.; Island, J.O.; Flores, E.; Ares, J.R.; Sánchez, C.; Ferrer, I.J.; Jadkar, S.R.; van der Zant, H.S.J.; Castellanos-Gomez, A.; Late, D.J. Temperature-Dependent Raman Spectroscopy of Titanium Trisulfide (TiS3) Nanoribbons and Nanosheets. ACS Appl. Mater. Interfaces 2015, 43, 24185–24190. [Google Scholar] [CrossRef] [PubMed] [Green Version]
- Ohsaka, T. Temperature Dependence of the Raman Spectrum in Anatase TiO2. J. Phys. Soc. Jpn. 1980, 48, 1661–1668. [Google Scholar] [CrossRef]
- Zhang, Y.; Wu, W.; Zhang, K.; Liu, C.; Yu, A.; Peng, M.; Zhai, J. Raman Study of 2D anatase TiO2 nanosheets. Phys. Chem. Chem. Phys. 2016, 18, 32178–32184. [Google Scholar] [CrossRef] [PubMed]
- Melendres, C.A.; Narayanasamy, A.; Maroni, V.A.; Siegel, R.W. Raman Spectroscopy of nanophase TiO2. J. Mater. Res. 1989, 4, 1246–1250. [Google Scholar] [CrossRef]
- Mammone, J.F.; Sharma, S.K.; Nicol, M. Raman study of rutile (TiO2) at high pressures. Solid State Commun. 1980, 34, 799–802. [Google Scholar] [CrossRef]
- Murphy, A.B. Modified Kubelka-Munk model for calculations of the reflectance of coatings with optically-rough surfaces. J. Phys. D Appl. Phys. 2006, 39, 3571. [Google Scholar] [CrossRef]
- Xu, B.; Sohn, H.Y.; Mohassab, Y.; Lan, Y. Structures, preparation and applications of titanium suboxides. RSC Adv. 2016, 6, 79706–79722. [Google Scholar] [CrossRef]
- Diebold, U.; Mandey, T.E. TiO2 by XPS. Surf. Sci. Spectra 1996, 4, 227–231. [Google Scholar] [CrossRef]
- Göpel, W.; Anderson, J.A.; Frankel, D.; Jaehnig, M.; Philips, K.; Schäfer, J.A.; Rocker, G. Surface defects of TiO2 (110): A combined XPS, XAES and ELS study. Surf. Sci. 1984, 139, 333–346. [Google Scholar] [CrossRef]
- Guillemot, F.; Porté, M.C.; Labrugère, C.; Baquey, C. Ti4+ to Ti3+ conversion of TiO2 uppermost layer by low-temperature vacuum annealing: Interest for titanium biomedical applications. J. Colloid Interface Sci. 2002, 255, 75–78. [Google Scholar] [CrossRef]
- Nappini, S.; Bondino, F.; Píš, I.; Chelleri, R.; Greco, S.L.; Lazzarino, M.; Magnano, E. Chemical composition and interaction strength of two-dimensional boron-nitrogen-carbon heterostructures driven by polycrystalline metallic surfaces. Appl. Surf. Sci. 2019, 479, 903–913. [Google Scholar] [CrossRef]
- Attri, R.; Sreedhara, M.B.; Rao, C.N. R Compositional tuning of electrical and optical properties of PLD-generated thin films of 2D borocarbonitrides (BN)1-x (C) x. ACS Appl. Electron. Mater. 2019, 1, 569–576. [Google Scholar] [CrossRef]
- Ci, L.; Song, L.; Jin, C.; Jariwala, D.; Wu, D.; Li, Y.; Srivastava, A.; Wang, Z.F.; Storr, K.; Balicas, L.; et al. Atomic layers of hybridized boron nitride and graphene domains. Nat. Mater. 2010, 9, 430–435. [Google Scholar] [CrossRef] [PubMed]
- Ong, C.W.; Huang, H.; Zheng, B.; Kwok, R.W.M.; Hui, Y.Y.; Lau, W.M. X-ray photoemission spectroscopy of nonmetallic materials: Electronic structures of boron and BxOy. J. Appl. Phys. 2004, 95, 3527. [Google Scholar] [CrossRef] [Green Version]
- Schneider, J.; Matsuoka, M.; Takeuchi, M.; Zhang, J.; Horiuchi, Y.; Anpo, M.; Bahnemann, D.W. Understanding TiO2 Photocatalysis: Mechanisms and materials. Chem. Rev. 2014, 114, 9919–9986. [Google Scholar] [CrossRef] [PubMed]
- Wypych, A.; Bobowska, I.; Tracz, M.; Opasinska, A.; Kadlubowski, S.; Krzywania-Kaliszewska, A.; Grobelny, J.; Wojciechowski, P. Dielectric Properties and Characterisation of Titanium Dioxide Obtained by Different Chemistry Methods. J. Nanomater. 2014, 2014, 1–9. [Google Scholar] [CrossRef]







Publisher’s Note: MDPI stays neutral with regard to jurisdictional claims in published maps and institutional affiliations. |
© 2021 by the authors. Licensee MDPI, Basel, Switzerland. This article is an open access article distributed under the terms and conditions of the Creative Commons Attribution (CC BY) license (https://creativecommons.org/licenses/by/4.0/).
Share and Cite
Jiménez-Arévalo, N.; Flores, E.; Giampietri, A.; Sbroscia, M.; Betti, M.G.; Mariani, C.; Ares, J.R.; J. Ferrer, I.; Leardini, F. Borocarbonitride Layers on Titanium Dioxide Nanoribbons for Efficient Photoelectrocatalytic Water Splitting. Materials 2021, 14, 5490. https://doi.org/10.3390/ma14195490
Jiménez-Arévalo N, Flores E, Giampietri A, Sbroscia M, Betti MG, Mariani C, Ares JR, J. Ferrer I, Leardini F. Borocarbonitride Layers on Titanium Dioxide Nanoribbons for Efficient Photoelectrocatalytic Water Splitting. Materials. 2021; 14(19):5490. https://doi.org/10.3390/ma14195490
Chicago/Turabian StyleJiménez-Arévalo, Nuria, Eduardo Flores, Alessio Giampietri, Marco Sbroscia, Maria Grazia Betti, Carlo Mariani, José R. Ares, Isabel J. Ferrer, and Fabrice Leardini. 2021. "Borocarbonitride Layers on Titanium Dioxide Nanoribbons for Efficient Photoelectrocatalytic Water Splitting" Materials 14, no. 19: 5490. https://doi.org/10.3390/ma14195490
APA StyleJiménez-Arévalo, N., Flores, E., Giampietri, A., Sbroscia, M., Betti, M. G., Mariani, C., Ares, J. R., J. Ferrer, I., & Leardini, F. (2021). Borocarbonitride Layers on Titanium Dioxide Nanoribbons for Efficient Photoelectrocatalytic Water Splitting. Materials, 14(19), 5490. https://doi.org/10.3390/ma14195490

