Lignosulfonate-Based Conducting Flexible Polymeric Membranes for Liquid Sensing Applications
Abstract
:1. Introduction
2. Materials and Methods
2.1. Materials and Reagents
2.2. LS-Based PU Polymer Synthesis
2.3. Polymer Characterization
2.4. Potentiometric Measurements
3. Results and Discussion
3.1. Characterization of LS-Based PUs
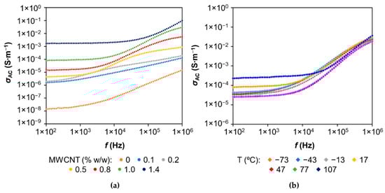
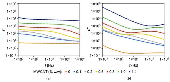
3.2. DC and AC Electrical Conductivity of LS-Based PU Polymer Doped with MWCNTs
3.3. Sensor Properties of the LS-Based PU Polymer Membrane Composite Doped with 1% w/w MWCNTs
3.4. DC Electrical Conductivity of LS-Based PU Polymer Membrane Composite Doped with Other Carbon Nanofillers
4. Conclusions
Supplementary Materials
Author Contributions
Funding
Institutional Review Board Statement
Informed Consent Statement
Data Availability Statement
Conflicts of Interest
References
- Qasem, N.A.A.; Mohammed, R.H.; Lawal, D.U. Removal of heavy metal ions from wastewater: A comprehensive and critical review. Npj Clean Water 2021, 4, 36. [Google Scholar] [CrossRef]
- Bansod, B.; Kumar, T.; Thakur, R.; Rana, S.; Singh, I. A review on various electrochemical techniques for heavy metal ions detection with different sensing platforms. Biosens. Bioelectron. 2017, 94, 443–455. [Google Scholar] [CrossRef]
- Isildak, Ö.; Özbek, O. Application of Potentiometric Sensors in Real Samples. Crit. Rev. Anal. Chem. 2021, 51, 218–231. [Google Scholar] [CrossRef] [PubMed]
- Jin Mei, C.; Ahmad, S.A.A. A review on the determination heavy metals ions using calixarene-based electrochemical sensors. Arab. J. Chem. 2021, 14, 103303. [Google Scholar] [CrossRef]
- Gonçalves, S.S.L.; Rudnitskaya, A.; Sales, A.J.M.; Costa, L.M.C.; Evtuguin, D.V. Nanocomposite polymeric materials based on eucalyptus lignoboost® kraft lignin for liquid sensing applications. Materials 2020, 13, 1637. [Google Scholar] [CrossRef] [PubMed] [Green Version]
- Cuartero, M.; Crespo, G.A. All-solid-state potentiometric sensors: A new wave for in situ aquatic research. Curr. Opin. Electrochem. 2018, 10, 98–106. [Google Scholar] [CrossRef]
- Parrilla, M.; Cuartero, M.; Crespo, G.A. Wearable potentiometric ion sensors. TrAC Trends Anal. Chem. 2019, 110, 303–320. [Google Scholar] [CrossRef]
- Özbek, O.; Berkel, C.; Isildak, Ö. Applications of Potentiometric Sensors for the Determination of Drug Molecules in Biological Samples. Crit. Rev. Anal. Chem. 2020, 29, 1–12. [Google Scholar] [CrossRef]
- Magina, S.; Barros-Timmons, A.; Ventura, S.P.M.; Evtuguin, D.V. Evaluating the hazardous impact of ionic liquids—Challenges and opportunities. J. Hazard. Mater. 2021, 412, 125215. [Google Scholar] [CrossRef]
- Yang, J.; Liu, Y.; Liu, S.; Li, L.; Zhang, C.; Liu, T. Conducting polymer composites: Material synthesis and applications in electrochemical capacitive energy storage. Mater. Chem. Front. 2017, 1, 251–268. [Google Scholar] [CrossRef]
- Bach-Toledo, L.; Hryniewicz, B.M.; Marchesi, L.F.; Dall’Antonia, L.H.; Vidotti, M.; Wolfart, F. Conducting polymers and composites nanowires for energy devices: A brief review. Mater. Sci. Energy Technol. 2020, 3, 78–90. [Google Scholar] [CrossRef]
- Tajik, S.; Beitollahi, H.; Nejad, F.G.; Shoaie, I.S.; Khalilzadeh, M.A.; Asl, M.S.; Van Le, Q.; Zhang, K.; Jang, H.W.; Shokouhimehr, M. Recent developments in conducting polymers: Applications for electrochemistry. RSC Adv. 2020, 10, 37834–37856. [Google Scholar] [CrossRef]
- Kitto, T.; Bodart-Le Guen, C.; Rossetti, N.; Cicoira, F. Processing and patterning of conducting polymers for flexible, stretchable, and biomedical electronics. In Handbook of Organic Materials for Electronic and Photonic Devices; Ostroverkhova, O., Ed.; Elsevier Ltd.: Amsterdam, The Netherlands, 2019; pp. 817–842. ISBN 9780081022849. [Google Scholar]
- Khalifeh, S. Optimized electronic polymers, small molecules, complexes, and elastomers for organic electronic systems. In Polymers in Organic Electronics; ChemTec Publishing: Scarborough, ON, Canada, 2020; pp. 49–184. ISBN 978-1-927885-68-0. [Google Scholar]
- Zhou, Q.; Shi, G. Conducting Polymer-Based Catalysts. J. Am. Chem. Soc. 2016, 138, 2868–2876. [Google Scholar] [CrossRef]
- Iqbal, S.; Ahmad, S. Conducting polymer composites: An efficient EMI shielding material. In Materials for Potential EMI Shielding Applications; Kuruvilla, J., Runcy, W., Gejo, G., Eds.; Elsevier Inc.: Amsterdam, The Netherlands, 2020; pp. 257–266. ISBN 9780128175903. [Google Scholar]
- Maruthi, N.; Faisal, M.; Raghavendra, N. Conducting polymer based composites as efficient EMI shielding materials: A comprehensive review and future prospects. Synth. Met. 2021, 272, 116664. [Google Scholar] [CrossRef]
- Teixeira, S.S.; Gama, N.; Cordeiro, T.; Barros-Timmons, A.; Dionísio, M.; Graça, M.P.F.; Costa, L.C. Poly (L-lactic acid)/lithium ferrite composites: Electrical properties. Polymer 2021, 230, 124100. [Google Scholar] [CrossRef]
- Naveen, M.H.; Gurudatt, N.G.; Shim, Y.B. Applications of conducting polymer composites to electrochemical sensors: A review. Appl. Mater. Today 2017, 9, 419–433. [Google Scholar] [CrossRef]
- Chauhan, M.; Bhardwaj, S.K.; Bhanjana, G.; Kumar, R.; Dilbaghi, N.; Kumar, S.; Chaudhary, G.R. Conducting Polymers and metal-organic frameworks as advanced materials for development of nanosensors. In Advances in Nanosensors for Biological and Environmental Analysis; Deep, A., Kumar, S., Eds.; Elsevier Inc.: St. Louis, MO, USA, 2019; pp. 43–62. ISBN 9780128174562. [Google Scholar]
- Wang, Y.; Liu, A.; Han, Y.; Li, T. Sensors based on conductive polymers and their composites: A review. Polym. Int. 2020, 69, 7–17. [Google Scholar] [CrossRef]
- Chen, J.; Zhu, Y.; Huang, J.; Zhang, J.; Pan, D.; Zhou, J.; Ryu, J.E.; Umar, A.; Guo, Z. Advances in Responsively Conductive Polymer Composites and Sensing Applications. Polym. Rev. 2021, 61, 157–193. [Google Scholar] [CrossRef]
- Nehra, M.; Dilbaghi, N.; Hassan, A.A.; Kumar, S. Carbon-based nanomaterials for the development of sensitive nanosensor platforms. In Advances in Nanosensors for Biological and Environmental Analysis; Deep, A., Kumar, S., Eds.; Elsevier Inc.: St. Louis, MO, USA, 2019; Volume 60, pp. 1–25. ISBN 9780128174562. [Google Scholar]
- Graça, M.P.F.; Rudnitskaya, A.; Faria, F.A.; Evtuguin, D.V.; Gomes, M.T.S.R.; Oliveira, J.A.B.P.; Costa, L.C. Electrochemical impedance study of the lignin-derived conducting polymer. Electrochim. Acta 2012, 76, 69–76. [Google Scholar] [CrossRef]
- Loos, M. Fundamentals of polymer matrix composites containing CNTs. In Carbon Nanotube Reinforced Composites; Elsevier Inc.: Amsterdam, The Netherlands, 2015; pp. 125–170. ISBN 9781455731961. [Google Scholar]
- Li, Y.; Huang, X.; Zeng, L.; Li, R.; Tian, H.; Fu, X.; Wang, Y.; Zhong, W.H. A review of the electrical and mechanical properties of carbon nanofiller-reinforced polymer composites. J. Mater. Sci. 2019, 54, 1036–1076. [Google Scholar] [CrossRef]
- Aradhana, R.; Mohanty, S.; Nayak, S.K. Comparison of mechanical, electrical and thermal properties in graphene oxide and reduced graphene oxide filled epoxy nanocomposite adhesives. Polymer 2018, 141, 109–123. [Google Scholar] [CrossRef]
- Guo, X.; Zhang, S.; Shan, X. quan Adsorption of metal ions on lignin. J. Hazard. Mater. 2008, 151, 134–142. [Google Scholar] [CrossRef] [PubMed]
- Li, Z.; Ge, Y. Application of Lignin and Its Derivatives in Adsorption of Heavy Metal Ions in Water: A Review. ACS Sustain. Chem. Eng. 2018, 6, 7181–7192. [Google Scholar] [CrossRef]
- Santander, P.; Butter, B.; Oyarce, E.; Yáñez, M.; Xiao, L.P.; Sánchez, J. Lignin-based adsorbent materials for metal ion removal from wastewater: A review. Ind. Crops Prod. 2021, 167, 113510. [Google Scholar] [CrossRef]
- Ge, Y.; Xiao, D.; Li, Z.; Cui, X. Dithiocarbamate functionalized lignin for efficient removal of metallic ions and the usage of the metal-loaded bio-sorbents as potential free radical scavengers. J. Mater. Chem. A 2014, 2, 2136–2145. [Google Scholar] [CrossRef]
- Jin, C.; Zhang, X.; Xin, J.; Liu, G.; Wu, G.; Kong, Z.; Zhang, J. Clickable Synthesis of 1,2,4-Triazole Modified Lignin-Based Adsorbent for the Selective Removal of Cd(II). ACS Sustain. Chem. Eng. 2017, 5, 4086–4093. [Google Scholar] [CrossRef]
- Faria, F.A.C.; Evtuguin, D.V.; Rudnitskaya, A.; Gomes, M.T.S.R.; Oliveira, J.A.B.P.; Graça, M.P.F.; Costa, L.C. Lignin-based polyurethane doped with carbon nanotubes for sensor applications. Polym. Int. 2012, 61, 788–794. [Google Scholar] [CrossRef]
- Rudnitskaya, A.; Evtuguin, D.V.; Costa, L.C.; Graça, M.P.F.; Fernandes, A.J.S.; Correia, M.R.P.; Gomes, M.T.S.R.; Oliveira, J.A.B.P. Potentiometric chemical sensors from lignin-poly(propylene oxide) copolymers doped by carbon nanotubes. Analyst 2013, 138, 501–508. [Google Scholar] [CrossRef] [PubMed]
- Magina, S.; Barros-Timmons, A.; Evtuguin, D.V. Changes in potentialities of acidic sulphite pulping spent liquors while re-profiling mill from paper-grade to dissolving pulps. In Proceedings of the 15th European Workshop on Lignocellulosics and Pulp (EWLP2018)—Posters Presentations, Aveiro, Portugal, 26–29 June 2018; pp. 303–306. [Google Scholar]
- Evtuguin, D.V.; Andreolety, J.P.; Gandini, A. Polyurethanes based on oxygen-organosolv lignin. Eur. Polym. J. 1998, 34, 1163–1169. [Google Scholar] [CrossRef]
- Bellamy, L.J. The Infrared Spectra of Complex Molecules. Volume Advances in Infrared Group Frequencies, 2nd ed.; Chapmanand Hall: London, UK; New York, NY, USA, 1980; ISBN 978-94-011-6522-8. [Google Scholar]
- Zou, J.; Chen, Y.; Liang, M.; Zou, H. Effect of hard segments on the thermal and mechanical properties of water blown semi-rigid polyurethane foams. J. Polym. Res. 2015, 22, 120. [Google Scholar] [CrossRef]
- Boeriu, C.G.; Bravo, D.; Gosselink, R.J.A.; van Dam, J.E.G. Characterisation of structure-dependent functional properties of lignin with infrared spectroscopy. Ind. Crops Prod. 2004, 20, 205–218. [Google Scholar] [CrossRef]
- Agarwal, U.P.; Atalla, R.H. Vibrational spectroscopy. In Lignin and Lignans: Advances in Chemistry; Heitner, C., Dimmel, D., Schmidt, J.A., Eds.; Taylor and Francis Group, LLC: Boca Raton, FL, USA, 2010; pp. 103–136. ISBN 9781574444865. [Google Scholar]
- Dawy, M.; Shabaka, A.A.; Nada, A.M.A. Molecular structure and dielectric properties of some treated lignins. Polym. Degrad. Stab. 1998, 62, 455–462. [Google Scholar] [CrossRef]
- Collier, W.; Kalasinsky, V.F.; Schultz, T.P. Infrared study of lignin: Assignment of methoxyl C-H bending and stretching bands. Holzforschung 1997, 51, 167–168. [Google Scholar] [CrossRef]
- Collier, W.E.; Schultz, T.P.; Kalasinsky, V.F. Infrared study of lignin: Reexamination of acryl-alkyl ether C-O stretching. Holzforschung 1992, 46, 523–528. [Google Scholar] [CrossRef]
- Detoni, S.; Hadzi, D. Infra-red spectra of some organic sulphur-oxygen compounds. Spectrochim. Acta 1956, 11, 601–608. [Google Scholar] [CrossRef]
- Hergert, H.L. Infrared spectra. In Lignins: Occurrence, Formation, Structure and Reactions; Sarkanen, K.V., Ludwig, C.H., Eds.; John Wiley & Sons, Inc.: New York, NY, USA, 1971; pp. 267–297. ISBN 978-0471754220. [Google Scholar]
- Marques, A.P.; Evtuguin, D.V.; Magina, S.; Amado, F.M.L.; Prates, A. Chemical Composition of Spent Liquors from Acidic Magnesium-Based Sulphite Pulping of Eucalyptus globulus. J. Wood Chem. Technol. 2009, 29, 322–336. [Google Scholar] [CrossRef]
- Jakab, B.E.; Faix, O.; Till, F.; Szekely, T. Thermogravimetry/Mass Spectrometry of Various Lignosulfonates as well as of a Kraft and Acetosolv Lignin. Holzforschung 1991, 45, 355–360. [Google Scholar] [CrossRef]
- Brebu, M.; Vasile, C. Thermal degradation of lignin—A review. Cellul. Chem. Technol. 2010, 44, 353–363. [Google Scholar]
- Chattopadhyay, D.K.; Webster, D.C. Thermal stability and flame retardancy of polyurethanes. Prog. Polym. Sci. 2009, 34, 1068–1133. [Google Scholar] [CrossRef]
- Chupka, E.I.; Rykova, T.M. Electrical properties of lignin. Chem. Nat. Compd. 1983, 19, 78–80. [Google Scholar] [CrossRef]
- Mansor, M.R.; Fadzullah, S.H.S.M.; Masripan, N.A.B.; Omar, G.; Akop, M.Z. Comparison Between functionalized graphene and carbon nanotubes: Effect of morphology and surface group on mechanical, electrical, and thermal properties of nanocomposites. In Functionalized Graphene Nanocomposites and Their Derivatives: Synthesis, Processing and Applications; Jawaid, M., Bouhfid, R., Qaiss, A.E.K., Eds.; Elsevier Inc.: Amsterdam, The Netherlands, 2019; pp. 177–204. ISBN 9780128145531. [Google Scholar]
- Min, C.; Shen, X.; Shi, Z.; Chen, L.; Xu, Z. The electrical properties and conducting mechanisms of carbon nanotube/polymer nanocomposites: A review. Polym. Plast. Technol. Eng. 2010, 49, 1172–1181. [Google Scholar] [CrossRef]
- Jonscher, A.K. The “universal” dielectric response. Nature 1977, 267, 673–679. [Google Scholar] [CrossRef]
- Jonscher, A.K. A new understanding of the dielectric relaxation of solids. J. Mater. Sci. 1981, 16, 2037–2060. [Google Scholar] [CrossRef]
- Greenhoe, B.M.; Hassan, M.K.; Wiggins, J.S.; Mauritz, K.A. Universal power law behavior of the AC conductivity versus frequency of agglomerate morphologies in conductive carbon nanotube-reinforced epoxy networks. J. Polym. Sci. Part B Polym. Phys. 2016, 54, 1918–1923. [Google Scholar] [CrossRef]
- Sun, H.; Zhang, H.; Liu, S.; Ning, N.; Zhang, L.; Tian, M.; Wang, Y. Interfacial polarization and dielectric properties of aligned carbon nanotubes/polymer composites: The role of molecular polarity. Compos. Sci. Technol. 2018, 154, 145–153. [Google Scholar] [CrossRef]
- Buck, R.P.; Lindner, E. Recomendations for nomenclature of ion-selective electrodes (IUPAC recommendations 1994). Pure Appl. Chem. 1994, 66, 2527–2536. [Google Scholar] [CrossRef]
- Bedemo, A.; Chandravanshi, B.S.; Zewge, F. Removal of trivalent chromium from aqueous solution using aluminum oxide hydroxide. Springerplus 2016, 5, 1288. [Google Scholar] [CrossRef] [Green Version]
- Shen-Yang, T.; Ke-An, L. The distribution of chromium(VI) species in solution as a function of pH and concentration. Talanta 1986, 33, 775–777. [Google Scholar] [CrossRef]
- Vlasov, Y.G.; Bychkov, E.A.; Legin, A.V. Chalcogenide glass chemical sensors: Research and analytical applications. Talanta 1994, 41, 1059–1063. [Google Scholar] [CrossRef]
- Umezawa, Y.; Bühlmann, P.; Umezawa, K.; Tohda, K.; Amemiya, S. Potentiometric selectivity coefficients of ion-selective electrodes part I. Inorganic cations (technical report). Pure Appl. Chem. 2000, 72, 1851–2082. [Google Scholar] [CrossRef]
- Rudnitskaya, A.; Evtuguin, D.V. Lignin applications in chemical sensing. In Multisensor Systems For Chemical Analysis; Lvova, L., Kirsanov, D., Di Natale, C., Legin, A., Eds.; CRC Press: Boca Raton, FL, USA; Taylor & Francis Group, LLC: Abingdon, UK, 2013; pp. 181–210. ISBN 9780120149018. [Google Scholar]
- Evtuguin, D.V. Sulphite pulping. In Lignocellulosic Fibers and Wood Handbook: Renewable Materials for Today’s Environment; Belgacem, N., Pizzi, A., Eds.; Scrivener Publishing LLC: Hoboken, NJ, USA, 2016; pp. 225–244. ISBN 9781118773727. [Google Scholar]
- Faridbod, F.; Davarkhah, N.; Beikzadeh, M.; Yekefallah, M.; Rezapour, M. Cu2+-selective sensors based on a new ion-carrier and their application for the analysis of copper content of water samples. Int. J. Electrochem. Sci. 2017, 12, 876–889. [Google Scholar] [CrossRef]
- Amr, A.E.G.E.; Al-Omar, M.A.; Kamel, A.H.; Elsayed, E.A. Single-piece solid contact Cu2+-Selective Electrodes Based on a synthesized macrocyclic calix[4]arene derivative as a neutral carrier ionophore. Molecules 2019, 24, 920. [Google Scholar] [CrossRef] [PubMed] [Green Version]
- Ansari, R.; Delavar, A.F.; Mohammad-Khah, A. Solid-state ion selective electrode based on polypyrrole conducting polymer nanofilm as a new potentiometric sensor for Zn2+ ion. J. Solid State Electrochem. 2012, 16, 3315–3322. [Google Scholar] [CrossRef]
- Benvidi, A.; Elahizadeh, M.; Zare, H.R.; Vafazadeh, R. Highly sensitive membrane electrode based on a copper(II)-bis(n-4-Methylphenyl-salicyldenaminato) complex for the determination of chromate. Anal. Lett. 2011, 44, 595–606. [Google Scholar] [CrossRef]
- Andac, M.; Coldur, F.; Bilir, S.; Birinci, A.; Demir, S.; Uzun, H. Solid-contact polyvinyl chloride membrane electrode based on the bis[(2-(hydroxyethylimino)phenolato]copper(II) complex for trace level determination of copper ions in wastewater. Can. J. Chem. 2014, 92, 324–328. [Google Scholar] [CrossRef]
- Kumar, P.; Sharma, H.K. Development of all solid state chromium(III) selective sensor by using newly synthesized triazole derivative as an ionophore in PVC matrix. Electrochim. Acta 2013, 87, 925–929. [Google Scholar] [CrossRef]
- Yan, Z.; Zhang, S.; Wang, H.; Kang, Y. Preparation and analytical application of new Cr3+-selective membrane electrodes based on acylhydrazone-containing benzimidazole derivatives. J. Iran. Chem. Soc. 2016, 13, 411–420. [Google Scholar] [CrossRef]
- Chen, L.; Zeng, X.; He, X.; Zhang, Z. Selective electrodes for silver based on polymeric membranes containing calix[4]arene derivatives. Fresenius. J. Anal. Chem. 2000, 367, 535–538. [Google Scholar] [CrossRef] [PubMed]
- Mahajan, R.K.; Kaur, I.; Sharma, V.; Kumar, M. Sensor for silver(I) ion based on schiff-base-p-tert-butylcalix[4]arene. Sensors 2002, 2, 417–423. [Google Scholar] [CrossRef]
- Masrournia, M.; Zamani, H.A.; Mohamadzadeh, H.; Seyedi, S.M.; Ganjali, M.R.; Eshghi, H. A Silver(I) PVC-Membrane Sensor Based on Synthesized Dilaktam Crown Ether. J. Chil. Chem. Soc. 2009, 53, 63–67. [Google Scholar] [CrossRef]
- Seo, H.; Jeong, E.; Ahmed, M.S.; Lee, H.K.; Jeon, S. Polymeric membrane silver-ion selective electrodes based on schiff base N,N’-bis(pyridin-2-ylmethylene)benzene-1,2-diamine. Bull. Korean Chem. Soc. 2010, 31, 1699–1703. [Google Scholar] [CrossRef] [Green Version]
- Mazloum Ardakani, M.; Safaei-Ghomi, J.; Mehdipoor, M. Highly selective copper membrane electrode using C-p-nitrophenyl-N-phenylnitrone. New J. Chem. 2003, 27, 1140–1143. [Google Scholar] [CrossRef]
- Singh, G.; Yadav, K.C. A Zinc Selective Polymeric Membrane Electrode Based on N,N′-benzene-1,2-diylbis[1-(pyridin-2-yl)ethanimine] as an Ionophore. Sch. Acad. J. Pharm. 2014, 3, 438–443. [Google Scholar]
- Chandra, S.; Tomar, P.K.; Kumar, A.; Malik, A.; Singh, A. Fabrication of copper-selective PVC membrane electrode based on newly synthesized copper complex of Schiff base as carrier. J. Saudi Chem. Soc. 2016, 20, S293–S299. [Google Scholar] [CrossRef] [Green Version]
- Gupta, V.K.; Jain, A.K.; Maheshwari, G.; Lang, H.; Ishtaiwi, Z. Copper(II)-selective potentiometric sensors based on porphyrins in PVC matrix. Sens. Actuators B Chem. 2006, 117, 99–106. [Google Scholar] [CrossRef]
- Kamel, A.H.; Mahmoud, W.H.; Mostafa, M.S. Response characteristics of copper-selective polymer membrane electrodes based on a newly synthesized macrocyclic calix[4]arene derivative as a neutral carrier ionophore. Electroanalysis 2010, 22, 2453–2459. [Google Scholar] [CrossRef]
- Kopylovich, M.N.; Mahmudov, K.T.; Pombeiro, A.J.L. Poly(vinyl) chloride membrane copper-selective electrode based on 1-phenyl-2-(2-hydroxyphenylhydrazo)butane-1,3-dione. J. Hazard. Mater. 2011, 186, 1154–1162. [Google Scholar] [CrossRef]
- Isa, I.M.; Noor, S.M.; Juahir, Y.; Hashim, N.; Ahmad, M.; Kamari, A.; Mohamed, A.; Ghani, S.A.; Wardani, N.I. Zinc(II) Selective Electrode based on Polymeric Membrane of 2,6-Diacetylpyridinebis(benzenesulfonylhydrazide) Ligand. Int. J. Electrochem. Sci. 2014, 9, 4512–4522. [Google Scholar]
- Rezvani Ivari, S.A.; Darroudi, A.; Arbab Zavar, M.H.; Zohuri, G.; Ashraf, N. Ion imprinted polymer based potentiometric sensor for the trace determination of Cadmium (II) ions. Arab. J. Chem. 2017, 10, S864–S869. [Google Scholar] [CrossRef] [Green Version]
- Kaushal, S.; Badru, R.; Singh, P.; Kumar, S.; Mittal, S.K. Estimation of Trace Level Cadmium(II) by Polyaniline-zirconium Phosphoborate Nanocomposite-based Membrane Electrode. J. Anal. Chem. 2019, 74, 800–808. [Google Scholar] [CrossRef]
- Gupta, V.K.; Singh, A.K.; Gupta, B. Schiff bases as cadmium(II) selective ionophores in polymeric membrane electrodes. Anal. Chim. Acta 2007, 583, 340–348. [Google Scholar] [CrossRef] [PubMed]
- Gupta, V.K.; Singh, A.K.; Al Khayat, M.; Gupta, B. Neutral carriers based polymeric membrane electrodes for selective determination of mercury (II). Anal. Chim. Acta 2007, 590, 81–90. [Google Scholar] [CrossRef]
- Puri, R.K.; Kumar, V.; Mahajan, M.P.; Mahajan, R.K. Mercury(II) ion recognition by newly synthesized oxadiazaphosphepine based receptors: Coated graphite and polymeric membrane electrodes. J. Incl. Phenom. Macrocycl. Chem. 2011, 69, 263–271. [Google Scholar] [CrossRef]
- Hassan, A.K. Chemical Sensor for Determination of Mercury in Contaminated Water. Mod. Chem. Appl. 2013, 1, 1–4. [Google Scholar] [CrossRef] [Green Version]
- Ansari, R.; Delavar, A.F.; Mohammad-khah, A. A solid state Cr(VI) ion-selective electrode based on polypyrrole. Microchim. Acta 2012, 178, 71–79. [Google Scholar] [CrossRef]
- Amemiya, S.; Bühlmann, P.; Umezawa, Y. A Phase Boundary Potential Model for Apparently “Twice-Nernstian” Responses of Liquid Membrane Ion-Selective Electrodes. Anal. Chem. 1998, 70, 445–454. [Google Scholar] [CrossRef]
- Karamać, M. Chelation of Cu(II), Zn(II), and Fe(II) by tannin constituents of selected edible nuts. Int. J. Mol. Sci. 2009, 10, 5485–5497. [Google Scholar] [CrossRef]
- Ghislandi, M.; Tkalya, E.; Marinho, B.; Koning, C.E.; De With, G. Electrical conductivities of carbon powder nanofillers and their latex-based polymer composites. Compos. Part. A Appl. Sci. Manuf. 2013, 53, 145–151. [Google Scholar] [CrossRef]











| Interferent Ion | |
|---|---|
| Zn(II) | 0.29 ± 0.08 |
| Cd(II) | 1.49 ± 0.41 |
| Cu(II) | 0.40 ± 0.15 |
| Cr(III) | 0.53 ± 0.28 |
| Hg(II) | 0.54 ± 0.11 |
| Ag(I) | 2.66 ± 0.62 |
| Fe(III) | 0.50 ± 0.26 |
| Fe(II) | 0.65 ± 0.14 |
Publisher’s Note: MDPI stays neutral with regard to jurisdictional claims in published maps and institutional affiliations. |
© 2021 by the authors. Licensee MDPI, Basel, Switzerland. This article is an open access article distributed under the terms and conditions of the Creative Commons Attribution (CC BY) license (https://creativecommons.org/licenses/by/4.0/).
Share and Cite
Magina, S.; Rudnitskaya, A.; Soreto, S.; Costa, L.C.; Barros-Timmons, A.; Evtuguin, D.V. Lignosulfonate-Based Conducting Flexible Polymeric Membranes for Liquid Sensing Applications. Materials 2021, 14, 5331. https://doi.org/10.3390/ma14185331
Magina S, Rudnitskaya A, Soreto S, Costa LC, Barros-Timmons A, Evtuguin DV. Lignosulfonate-Based Conducting Flexible Polymeric Membranes for Liquid Sensing Applications. Materials. 2021; 14(18):5331. https://doi.org/10.3390/ma14185331
Chicago/Turabian StyleMagina, Sandra, Alisa Rudnitskaya, Sílvia Soreto, Luís Cadillon Costa, Ana Barros-Timmons, and Dmitry V. Evtuguin. 2021. "Lignosulfonate-Based Conducting Flexible Polymeric Membranes for Liquid Sensing Applications" Materials 14, no. 18: 5331. https://doi.org/10.3390/ma14185331
APA StyleMagina, S., Rudnitskaya, A., Soreto, S., Costa, L. C., Barros-Timmons, A., & Evtuguin, D. V. (2021). Lignosulfonate-Based Conducting Flexible Polymeric Membranes for Liquid Sensing Applications. Materials, 14(18), 5331. https://doi.org/10.3390/ma14185331

