Inelastic Behavior of Polyoxymethylene for Wide Strain Rate and Temperature Ranges: Constitutive Modeling and Identification †
Abstract
1. Introduction
- To analyze the behavior of POM, displacement-controlled tensile tests with loading/unloading regimes under different rates and temperatures are performed, and families of stress–strain curves for different strain rates and temperatures are generated.
- Inelastic responses of thermoplastic polymers usually exhibit pressure sensitivity and inelastic dilatation. To analyze inelastic dilatation, digital image correlation (DIC) measurements of transverse strains are performed.
- Polymers exhibit non-linear loading/unloading behavior and strain rate sensitivity, even at room temperature. Although many available constitutive models, for example rheological models, are able to describe non-linearities under constant and monotonic loading, predictions of non-linear unloading responses are usually not accurate. In our study, we apply and develop a composite model of inelastic deformation to characterize the inelastic behavior of POM for both loading and unloading regimes.
2. Basic Features of Material Behavior
3. Constitutive Model
3.1. Composite Model of Inelastic Deformation
3.2. Constitutive and Evolution Equations
3.3. Model Reduction
4. Model Calibration
4.1. Uni-Axial Stress State
4.2. Identification Procedure
- Smooth experimental data and compute stress rates;
- Identify the Young’s modulus as a function of temperature;
- Compute inelastic strains and strain rates for each temperature and strain rate level;
- Identify flow stresses as functions of strain rate and temperature;
- Identify parameters in the composite model from families of stress–strain curves for different strain rates and temperature levels;
- Identify Poisson’s ratios (elastic and inelastic) and the parameter from transverse strains, measured by DIC.
4.3. Transverse Strain and Inelastic Dilatation
5. Conclusions
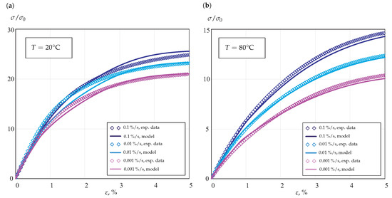
- The developed composite model is able to capture the non-linearity of stress–strain curves for loading and unloading paths within the small strain regime (axial strains up to 5%). For higher strains, apart from geometrically non-linear theory, several model assumptions should be refined. In particular, for the volume fraction of the constituents, appropriate evolution laws should be formulated and calibrated.
- The Prandtl–Eyring constitutive function of stress (11) is well applicable to describe the strain rate sensitivity in a wide range, from %/s to 0.1%/s.
- To capture the temperature dependence of tensile behavior from −20 °C to 80 °C, the generalized Arrhenius functions of temperature (31) are required.
- For the small strain regime (axial strains up to 1–2%), the inelastic dilatation is small and can be neglected. For higher axial strain values, the decrease in Poisson’s ratio under tension and increase it under compression are observed.
- The Drucker–Prager-type equivalent stress (9) and the flow rule (10) provide a better description of both the transverse and volumetric strains than that of the classical von Mises–Odqvist flow rules. However, for higher values of the axial strain, the non-linearity of the actual volumetric strain vs. axial strain response is not accurately captured. Furthermore, the tension compression asymmetry is underestimated.
- Non-linearity of stress responses for loading/unloading paths under different strain rates should be analyzed.
- The applicability of the model to the lower strain rate regimes of creep and stress relaxation should be examined.
- Systematic analysis of experimental data on transverse strains based on DIC measurements for a wide range of axial stains under tension and compression should be performed.
Author Contributions
Funding
Institutional Review Board Statement
Informed Consent Statement
Data Availability Statement
Conflicts of Interest
References
- Eyerer, P.; Hirth, T.; Elsner, P. Polymer Engineering. Technologien und Praxis; Springer: Berlin/Heidelberg, Germany, 2008. [Google Scholar]
- Altenbach, H.; Naumenko, K.; L’vov, G.; Pilipenko, S. Numerical estimation of the elastic properties of thin-walled structures manufactured from short-fiber-reinforced thermoplastics. Mech. Compos. Mater. 2003, 39, 221–234. [Google Scholar] [CrossRef]
- Mansouri, L.; Djebbar, A.; Khatir, S.; Ali, H.T.; Behtani, A.; Wahab, M.A. Static and fatigue behaviors of short glass fiber–reinforced polypropylene composites aged in a wet environment. J. Compos. Mater. 2019, 53, 3629–3647. [Google Scholar] [CrossRef]
- Mansouri, L.; Djebbar, A.; Khatir, S.; Wahab, M.A. Effect of hygrothermal aging in distilled and saline water on the mechanical behaviour of mixed short fibre/woven composites. Compos. Struct. 2019, 207, 816–825. [Google Scholar] [CrossRef]
- Chaboche, J.L. A review of some plasticity and viscoplasticity constitutive equations. Int. J. Plast. 2008, 24, 1642–1693. [Google Scholar] [CrossRef]
- Krempl, E. Creep-plasticity interaction. In Creep and Damage in Materials and Structures; CISM Lecture Notes No. 399; Altenbach, H., Skrzypek, J., Eds.; Springer: Wien, NY, USA, 1999; pp. 285–348. [Google Scholar]
- Naumenko, K.; Altenbach, H. Modeling High Temperature Materials Behavior for Structural Analysis: Part I: Continuum Mechanics Foundations and Constitutive Models; Advanced Structured Materials; Springer: Berlin/Heidelberg, Germany, 2016; Volume 28. [Google Scholar]
- Krempl, E.; Bordonaro, C.M. A state variable model for high strength polymers. Polym. Eng. Sci. 1995, 35, 310–316. [Google Scholar] [CrossRef]
- Krempl, E. A small-strain viscoplasticity theory based on overstress. In Unified Constitutive Laws of Plastic Deformation; Krausz, A.S., Krausz, K., Eds.; Academic Press: San Diego, CA, USA, 1996; pp. 281–318. [Google Scholar]
- Kitagawa, M.; Zhou, D.; Qui, J. Stress-Strain curves for solid polymers. Polym. Eng. Sci. 1995, 35, 1725–1732. [Google Scholar] [CrossRef]
- Altenbach, H.; Girchenko, A.; Kutschke, A.; Naumenko, K. Creep Behavior Modeling of Polyoxymethylene (POM) Applying Rheological Models. In Inelastic Behavior of Materials and Structures Under Monotonic and Cyclic Loading; Springer: Berlin/Heidelberg, Germany, 2015; pp. 1–15. [Google Scholar]
- Zerbe, P.; Schneider, B.; Moosbrugger, E.; Kaliske, M. A viscoelastic-viscoplastic-damage model for creep and recovery of a semicrystalline thermoplastic. Int. J. Solids Struct. 2017, 110, 340–350. [Google Scholar] [CrossRef]
- Kitagawa, M.; Yoneyama, T. Plastic dilatation due to compression in polymer solids. J. Polym. Sci. Part C Polym. Lett. 1988, 26, 207–212. [Google Scholar] [CrossRef]
- Nitta, K.h.; Yamana, M. Poisson’s ratio and mechanical nonlinearity under tensile deformation in crystalline polymers. In Rheology, Open Access; Vicente, J.D., Ed.; Intec: Rijeka, Croatia, 2012; pp. 113–132. [Google Scholar]
- Michler, G.H. Electron Microscopy of Polymers; Springer Laboratory: Berlin/Heidelberg, Germany, 2008. [Google Scholar]
- Uchida, M.; Tokuda, T.; Tada, N. Finite element simulation of deformation behavior of semi-crystalline polymers with multi-spherulitic mesostructure. Int. J. Mech. Sci. 2010, 52, 158–167. [Google Scholar] [CrossRef]
- Uchida, M.; Tada, N. Micro-, meso-to macroscopic modeling of deformation behavior of semi-crystalline polymer. Int. J. Plast. 2013, 49, 164–184. [Google Scholar] [CrossRef]
- Aoyagi, Y.; Inoue, A.; Sasayama, T.; Inoue, Y. Multiscale plasticity simulation considering spherulite structure of polypropylene. Mech. Eng. J. 2014, 1, CM0062. [Google Scholar] [CrossRef][Green Version]
- Arruda, E.M.; Boyce, M.C.; Jayachandran, R. Effects of strain rate, temperature and thermomechanical coupling on the finite strain deformation of glassy polymers. Mech. Mater. 1995, 19, 193–212. [Google Scholar] [CrossRef]
- Besseling, J.F. A theory of elastic, plastic and creep deformation of an initially isotropic material showing anisotropic strain hardening, creep recovery and secondary creep. Trans. ASME. J. Appl. Mech. 1958, 25, 529–536. [Google Scholar] [CrossRef]
- Blum, W. Creep of crystalline materials: Experimental basis, mechanisms and models. Mater. Sci. Eng. A 2001, 319, 8–15. [Google Scholar] [CrossRef]
- Naumenko, K.; Altenbach, H.; Kutschke, A. A combined model for hardening, softening and damage processes in advanced heat resistant steels at elevated temperature. Int. J. Damage Mech. 2011, 20, 578–597. [Google Scholar] [CrossRef]
- Naumenko, K.; Gariboldi, E. A phase mixture model for anisotropic creep of forged Al-Cu-Mg-Si alloy. Mater. Sci. Eng. A 2014, 618, 368–376. [Google Scholar] [CrossRef]
- Naumenko, K.; Gariboldi, E.; Nizinkovskyi, R. Stress-regime-dependence of inelastic anisotropy in forged age-hardening aluminium alloys at elevated temperature: Constitutive modeling, identification and validation. Mech. Mater. 2020, 141, 103262. [Google Scholar] [CrossRef]
- Sedláček, R.; Blum, W. Microstructure-based constitutive law of plastic deformation. Comput. Mater. Sci. 2002, 25, 200–206. [Google Scholar] [CrossRef]
- Abdul-Hameed, H.; Messager, T.; Ayoub, G.; Zaïri, F.; Naït-Abdelaziz, M.; Qu, Z. A two-phase hyperelastic-viscoplastic constitutive model for semi-crystalline polymers: Application to polyethylene materials with a variable range of crystal fractions. J. Mech. Behav. Biomed. Mater. 2014, 37, 323–332. [Google Scholar] [CrossRef]
- Cho, H.; Mayer, S.; Pöselt, E.; Susoff, M.; in’t Veld, P.J.; Rutledge, G.C.; Boyce, M.C. Deformation mechanisms of thermoplastic elastomers: Stress-strain behavior and constitutive modeling. Polymer 2017, 128, 87–99. [Google Scholar] [CrossRef]
- Popa, C.; Fleischhauer, R.; Schneider, K.; Kaliske, M. Formulation and implementation of a constitutive model for semicrystalline polymers. Int. J. Plast. 2014, 61, 128–156. [Google Scholar] [CrossRef]
- Belytschko, T.; Liu, W.K.; Moran, B.; Elkhodary, K. Nonlinear Finite Elements for Continua and Structures; Wiley: Hoboken, NJ, USA, 2014. [Google Scholar]
- Lebedev, L.P.; Cloud, M.J.; Eremeyev, V.A. Tensor Analysis with Applications in Mechanics; World Scientific: Singapore, 2010. [Google Scholar]
- Odqvist, F.K.G. Mathematical Theory of Creep and Creep Rupture; Oxford University Press: Oxford, UK, 1974. [Google Scholar]
- Odqvist, F.K.G.; Hult, J. Kriechfestigkeit Metallischer Werkstoffe; Springer: Berlin, Germany, 1962. [Google Scholar]
- Kolupaev, V.A. Equivalent Stress Concept for Limit State Analysis; Advanced Structured Materials; Springer: Berlin/Heidelberg, Germany, 2018; Volume 86. [Google Scholar]
- Drucker, D.C.; Prager, W. Soil mechanics and plastic analysis or limit design. Q. Appl. Math. 1952, 10, 157–165. [Google Scholar] [CrossRef]











| Component a | Component b | ||||
|---|---|---|---|---|---|
| Parameter | Unit | Value | Parameter | Unit | Value |
| MPa | 1536 | MPa | 1907 | ||
| - | - | ||||
| MPa | MPa | ||||
| s | s | ||||
| Parameter | Unit | Value |
|---|---|---|
| MPa | ||
Publisher’s Note: MDPI stays neutral with regard to jurisdictional claims in published maps and institutional affiliations. |
© 2021 by the authors. Licensee MDPI, Basel, Switzerland. This article is an open access article distributed under the terms and conditions of the Creative Commons Attribution (CC BY) license (https://creativecommons.org/licenses/by/4.0/).
Share and Cite
Filanova, Y.; Hauptmann, J.; Längler, F.; Naumenko, K. Inelastic Behavior of Polyoxymethylene for Wide Strain Rate and Temperature Ranges: Constitutive Modeling and Identification. Materials 2021, 14, 3667. https://doi.org/10.3390/ma14133667
Filanova Y, Hauptmann J, Längler F, Naumenko K. Inelastic Behavior of Polyoxymethylene for Wide Strain Rate and Temperature Ranges: Constitutive Modeling and Identification. Materials. 2021; 14(13):3667. https://doi.org/10.3390/ma14133667
Chicago/Turabian StyleFilanova, Yevgeniya, Johannes Hauptmann, Frank Längler, and Konstantin Naumenko. 2021. "Inelastic Behavior of Polyoxymethylene for Wide Strain Rate and Temperature Ranges: Constitutive Modeling and Identification" Materials 14, no. 13: 3667. https://doi.org/10.3390/ma14133667
APA StyleFilanova, Y., Hauptmann, J., Längler, F., & Naumenko, K. (2021). Inelastic Behavior of Polyoxymethylene for Wide Strain Rate and Temperature Ranges: Constitutive Modeling and Identification. Materials, 14(13), 3667. https://doi.org/10.3390/ma14133667

