Study on the Influence of Nanosilica Sol on the Hydration Process of Different Kinds of Cement and Mortar Properties
Abstract
:1. Introduction
2. Experiment
2.1. Raw Materials
2.2. Design of Experiment
2.3. Experimental Methods
2.3.1. SEM Observation
2.3.2. XRD Analysis
2.3.3. Hydration Heat Analysis
2.3.4. MIP Analysis
2.3.5. Thermal Analysis
2.3.6. Setting Time and Mechanical Properties
2.3.7. Chloride Penetration Resistance
3. Results and Discussions
3.1. Hydration Heat Analysis
3.2. Hydration Products Analysis
3.2.1. XRD Analysis
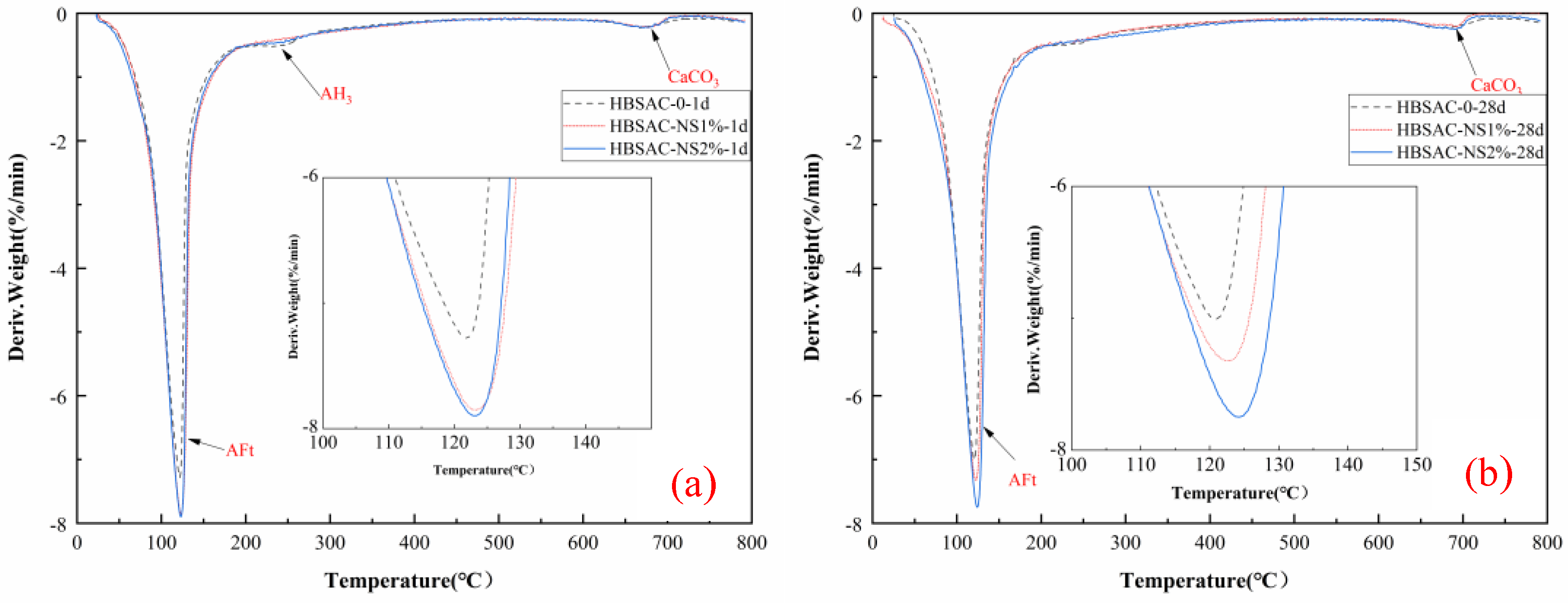
3.2.2. TGA Analysis
3.3. SEM Micromorphology
3.4. Workability and Mechanical Strength
3.4.1. Workability
3.4.2. Mechanical Strength
3.5. Porosity
3.6. Chloride Penetration Resistance
4. Conclusions
- Adding nanometer silica sol can not only accelerate the hydration speed of cement but also promote the hydration degree of cement, and this phenomenon is applicable to both kinds of cement. The greater the content of nanosilica sol, the more obvious the promotion effect. The promotion effect of nanosilica sol on the cumulative heat of hydration of HBSAC cement reached the peak at about 20 min, and that of P·O 42.5 cement reached the peak at about 20 min.
- From the analysis of cement hydration products, it is concluded that for high-belite sulphoaluminate cement (HBSAC), nanosilica sol can effectively promote the hydration of anhydrous calcium sulphoaluminate, but the hydration promotion effect on β-C2S is weak. For ordinary Portland cement, nanosilica sol can effectively promote the hydration process of C3S, and the content of calcium hydroxide (CH) in hydration products decreases with the increase in nanosilica sol content, which may be due to the “secondary hydration reaction” between calcium hydroxide (CH) and nanosilica.
- SEM observation shows that nanosilica sol can accelerate the hydration rate of HBSAC cement, and the hydration products grow faster. At the same time, nanosilica sol can react with calcium hydroxide, which the P·O 42.5 cement hydration reaction produces, to form hydrated calcium silicate gel. However, the agglomeration of nanosilica particles in the cement paste can also be observed, which may adversely affect the pore structure and permeability resistance of the mortar.
- MIP analysis and chloride penetration resistance showed that nanosilica sol clusters have a negative effect on the pore structure of mortar, thus affecting the permeability resistance of mortar. The test results showed that when the content of nanosilica sol is greater than 1%, the harmful pores in mortar will increase, which will damage the permeability resistance and strength performance of mortar. At the 28-day age of mortar, the DRCM value of HBSAC cement mortar decreased by 7.7%, 13.2% and 16.7%, respectively when the content of nanosilica sol was 0, 1% and 2%. The DRCM value of P·O 42.5 cement mortar decreased by 8.9%, 9.8% and 17% when the content of nanosilica sol was 0, 1% and 2%, respectively. This phenomenon may be due to the improvement of harmful pores of mortar by nanosilica sol particles.
Author Contributions
Funding
Institutional Review Board Statement
Informed Consent Statement
Acknowledgments
Conflicts of Interest
Abbreviations
| HBSAC | High-belite sulphoaluminate cement |
| P·O 42.5 | Ordinary Portland cement (42.5 grade) |
| CH | Ca(OH)2 |
| AFt | 3CaO·Al2O3·3CaSO4·32H2O |
| β-C2S | 2CaO·SiO2 |
| C3S | 3CaO·SiO2 |
| 3CaO·3Al2O3·CaSO4 |
References
- Ferraris, C.F.; Obla, K.H.; Hill, R. The influence of mineral admixtures on the rheology of cement paste and concrete. Cem. Concr. Res. 2001, 31, 245–255. [Google Scholar] [CrossRef]
- Flores, Y.C.; Cordeiro, G.C.; Toledo Filho, R.D.; Tavares, L.M. Performance of Portland cement pastes containing nano-silica and different types of silica. Constr. Build. Mater. 2017, 146, 524–530. [Google Scholar] [CrossRef]
- Flores-Vivian, I.; Pradoto, R.G.K.; Moini, M.; Kozhukhova, M.; Potapov, V.; Sobolev, K. The effect of SiO2 nanoparticles derived from hydrothermal solutions on the performance of Portland cement based materials. Front. Struc. Civ. Eng. 2017, 11, 436–445. [Google Scholar] [CrossRef]
- Kawashima, S.; Hou, P.; Corr, D.J.; Shah, S.P. Modification of cement-based materials with nanoparticles. Cem. Concr Compos. 2013, 36, 8–15. [Google Scholar] [CrossRef] [Green Version]
- Li, W.; Huang, Z.; Cao, F.; Sun, Z.; Shah, S.P. Effects of nano-silica and nano-limestone on flowability and mechanical properties of ultra-high-performance concrete matrix. Constr. Build. Mater. 2015, 95, 366–374. [Google Scholar] [CrossRef]
- Li, Y.; Bao, J.; Guo, Y. The relationship between autogenous shrinkage and pore structure of cement paste with mineral admixtures. Constr. Build. Mater. 2010, 24, 1855–1860. [Google Scholar] [CrossRef]
- Liu, B.; Luo, G.; Xie, Y. Effect of curing conditions on the permeability of concrete with high volume mineral admixtures. Constr. Build. Mater. 2018, 167, 359–371. [Google Scholar] [CrossRef]
- Ma, B.; Wang, J.; Tan, H.; Li, X.; Cai, L.; Zhou, Y.; Chu, Z. Utilization of waste marble powder in cement-based materials by incorporating nano silica. Constr. Build. Mater. 2019, 211, 139–149. [Google Scholar] [CrossRef]
- Qin, L.; Gao, X.; Chen, T. Influence of mineral admixtures on carbonation curing of cement paste. Constr. Build. Mater. 2019, 212, 653–662. [Google Scholar] [CrossRef]
- Said, A.M.; Zeidan, M.S.; Bassuoni, M.T.; Tian, Y. Properties of concrete incorporating nano-silica. Constr. Build. Mater. 2012, 36, 838–844. [Google Scholar] [CrossRef]
- Sulapha, P.; Wong, S.F.; Wee, T.H.; Swaddiwudhipong, S. Carbonation of concrete containing mineral admixtures. J. Mater. Civil. Eng. 2003, 15, 134–143. [Google Scholar] [CrossRef]
- Uysal, M.; Sumer, M. Performance of self-compacting concrete containing different mineral admixtures. Constr. Build. Mater. 2011, 25, 4112–4120. [Google Scholar] [CrossRef]
- Wang, J.; Du, P.; Zhou, Z.; Xu, D.; Xie, N.; Cheng, X. Effect of nano-silica on hydration, microstructure of alkali-activated slag. Constr. Build. Mater. 2019, 220, 110–118. [Google Scholar] [CrossRef]
- Yu, R.; Spiesz, P.; Brouwers, H.J.H. Effect of nano-silica on the hydration and microstructure development of ultra-high performance concrete (UHPC) with a low binder amount. Constr. Build. Mater. 2014, 65, 140–150. [Google Scholar] [CrossRef] [Green Version]
- Reches, Y.; Thomson, K.; Helbing, M.; Kosson, D.S.; Sanchez, F. Agglomeration and reactivity of nanoparticles of SiO2, TiO2, Al2O3, Fe2O3, and clays in cement pastes and effects on compressive strength at ambient and elevated temperatures. Constr. Build. Mater. 2018, 167, 860–873. [Google Scholar] [CrossRef]
- Hou, P.; Wang, K.; Qian, J.; Kawashima, S.; Kong, D.; Shah, S.P. Effects of colloidal nanoSiO2 on fly ash hydration. Cem. Concr. Compos. 2012, 34, 1095–1103. [Google Scholar] [CrossRef] [Green Version]
- Amiri, A.; Øye, G.; Sjöblom, J. Influence of pH, high salinity and particle concentration on stability and rheological properties of aqueous suspensions of fumed silica. Colloid. Surf. A 2009, 349, 43–54. [Google Scholar] [CrossRef]
- Kirby, G.H.; Lewis, J.A. Comb polymer architecture effects on rheological property evolution of concentrated cement suspensions. J. Am. Ceram. Soc. 2004, 87, 1643–1652. [Google Scholar] [CrossRef] [Green Version]
- Ghafari, E.; Costa, H.; Júlio, E.; Portugal, A.; Durães, L. The effect of nanosilica addition on flowability, strength and transport properties of ultra high performance concrete. Mater. Des. 2014, 59, 1–9. [Google Scholar] [CrossRef] [Green Version]
- Hou, P.K.; Kawashima, S.; Wang, K.J.; Corr, D.J.; Qian, J.S.; Shah, S.P. Effects of colloidal nanosilica on rheological and mechanical properties of fly ash–cement mortar. Cem. Concr. Compos. 2013, 35, 12–22. [Google Scholar] [CrossRef] [Green Version]
- Li, H.; Xiao, H.-G.; Yuan, J.; Ou, J. Microstructure of cement mortar with nanoparticles. Compos. Part B Eng. 2004, 35, 185–189. [Google Scholar] [CrossRef]
- Rong, Z.; Sun, W.; Xiao, H.; Jiang, G. Effects of nano-SiO2 particles on the mechanical and microstructural properties of ultra-high performance cementitious composites. Cement Concr. Compos. 2015, 56, 25–31. [Google Scholar] [CrossRef]
- Thomas, J.; Jennings, H.M.; Chen, J.J. Influence of nucleation seeding on the hydration mechanisms of tricalcium silicate and cement. J. Phys. Chem. 2009, 113, 4327–4334. [Google Scholar] [CrossRef] [Green Version]
- Kong, D.; Su, Y.; Du, X.; Yang, Y.; Wei, S.; Shah, S.P. Influence of nano-silica agglomeration on fresh properties of cement pastes. Constr. Build. Mater. 2013, 43, 557–562. [Google Scholar] [CrossRef]
- Berra, M.; Carassiti, F.; Mangialardi, T.; Paolini, A.; Sebastiani, M. Effects of nanosilica addition on workability and compressive strength of Portland cement pastes. Constr. Build. Mater. 2012, 35, 666–675. [Google Scholar] [CrossRef]
- Zhang, X.; Yang, H.; Yang, Q.; Du, X.; Li, C.; Cheng, X. Effects of particle size of colloidal nanosilica on hydration of Portland cement at early age. Adv. Mech. Eng. 2019, 11, 1687814019828948. [Google Scholar] [CrossRef]
- Ghasemi, A.M.R.; Parhizkar, T.; Ramezanianpour, A.A. Influence of colloidal nano-SiO2 addition as silica fume replacement material in properties of concrete. In Proceedings of the Second International Conference on Sustainable Construction Materials and Technologies, Ancona, Italy, 28–30 June 2010; pp. 28–30. [Google Scholar]
- Kong, D.; Corr, D.; Hou, P.; Yang, Y.; Shah, S.P. Influence of colloidal silica sol on fresh properties of cement paste as compared to nano-silica powder with agglomerates in micron-scale. Cem. Conc. Compos. 2015, 63, 30–41. [Google Scholar] [CrossRef]
- Kong, D.; Pan, H.; Wang, L.; Corr, D.; Yang, Y.; Shah, S.P.; Sheng, J. Effect and mechanism of colloidal silica sol on properties and microstructure of the hardened cement-based materials as compared to nano-silica powder with agglomerates in micron-scale. Cem. Conc. Compos. 2019, 98, 137–149. [Google Scholar] [CrossRef]
- Liu, C.; Luo, J.; Li, Q.; Gao, S.; Su, D.; Zhang, J.; Chen, S. Calcination of green high-belite sulphoaluminate cement (GHSC) and performance optimizations of GHSC-based foamed concrete. Mater. Des. 2019, 182, 107986. [Google Scholar] [CrossRef]
- Su, D.; Yue, G.; Li, Q.; Guo, Y.; Gao, S.; Wang, L. Research on the preparation and properties of high belite sulphoaluminate cement (HBSAC) based on various industrial solid wastes. Materials 2019, 12, 1510. [Google Scholar] [CrossRef] [Green Version]
- Wang, X.; Gong, C.; Lei, J.; Dai, J.; Lu, L.; Cheng, X. Effect of silica fume and nano-silica on hydration behavior and mechanism of high sulfate resistance Portland cement. Constr. Build. Mater. 2021, 279, 122481. [Google Scholar] [CrossRef]
- Aly, M.; Hashmi, M.; Olabi, A.G.; Messeiry, M.; Abadir, E.; Hussain, A. Effect of colloidal nano-silica on the mechanical and physical behaviour of waste-glass cement mortar. Mater. Des. 2012, 33, 127–135. [Google Scholar] [CrossRef]
- Wu, Y.; Li, Q.; Li, G.; Tang, S.; Niu, M.; Wu, Y. Effect of naphthalene-based superplasticizer and polycarboxylic acid superplasticizer on the properties of sulfoaluminate cement. Materials 2021, 14, 662. [Google Scholar] [CrossRef]
- Memon, S.A.; Shah, S.F.A.; Khushnood, R.A.; Baloch, W.L. Durability of sustainable concrete subjected to elevated temperature–A review. Constr. Build. Mater. 2019, 199, 435–455. [Google Scholar] [CrossRef]
- Sadique, M.; Al-Nageim, H.; Atherton, W.; Seton, L.; Dempster, N. Analytical investigation of hydration mechanism of a non-Portland binder with waste paper sludge ash. Constr. Build. Mater. 2019, 211, 80–87. [Google Scholar] [CrossRef]
- Rostami, V.; Shao, Y.; Boyd, A.J.; He, Z. Microstructure of cement paste subject to early carbonation curing. Cem. Conc. Res. 2012, 42, 186–193. [Google Scholar] [CrossRef]
- Lv, S.; Liu, J.; Sun, T.; Ma, Y.; Zhou, Q. Effect of GO nanosheets on shapes of cement hydration crystals and their formation process. Constr. Build. Mater. 2014, 64, 231–239. [Google Scholar] [CrossRef]
- Zhang, J.; Sun, Y. Experimental and mechanism study of a polymer foaming grouting material for reinforcing broken coal mass. KSCE J. Civ. Eng. 2019, 23, 346–355. [Google Scholar] [CrossRef]
- Kong, D.; Du, X.; Wei, S.; Zhang, H.; Yang, Y.; Shah, S.P. Influence of nano-silica agglomeration on microstructure and properties of the hardened cement-based materials. Constr. Build. Mater. 2012, 37, 707–715. [Google Scholar] [CrossRef]
- Quercia, G.; Hüsken, G.; Brouwers, H.J.H. Water demand of amorphous nano silica and its impact on the workability of cement paste. Cem. Concr. Res. 2012, 42, 344–357. [Google Scholar] [CrossRef] [Green Version]
- Mehta, P.K.; Monteiro, P.J.M. Concrete: Microstructure, Properties, and Materials; McGraw-Hill Education: New York, NY, USA, 2014; pp. 23–28. [Google Scholar]














| Chemical Composition | CaO | SiO2 | Al2O3 | Fe2O3 | SO3 | TiO2 | MgO | Al2O3 |
|---|---|---|---|---|---|---|---|---|
| HBSAC | 51.5 | 13.8 | 15.3 | 1.5 | 14.2 | 0.7 | 2.1 | 6.4 |
| P·O 42.5 | 52.7 | 19.9 | 6.4 | 2.8 | 2.6 | 0.4 | / | / |
| Sample | Nanosilica Sol Content (%) | Water-Reducing Agent (%) | Fine Aggregate (g) | Cement (g) | Water (g) | Liquidity (HBSAC) (mm) | Liquidity (P·O 42.5) (mm) |
|---|---|---|---|---|---|---|---|
| 1 | 0 | 0 | 1350 | 450 | 180 | 170 | 172 |
| 2 | 0.5 | 0.3 | 1350 | 450 | 180 | 170 | 170 |
| 3 | 1 | 0.6 | 1350 | 450 | 180 | 170 | 173 |
| 4 | 1.5 | 1.0 | 1350 | 450 | 180 | 170 | 171 |
| 5 | 2 | 1.4 | 1350 | 450 | 180 | 170 | 172 |
Publisher’s Note: MDPI stays neutral with regard to jurisdictional claims in published maps and institutional affiliations. |
© 2021 by the authors. Licensee MDPI, Basel, Switzerland. This article is an open access article distributed under the terms and conditions of the Creative Commons Attribution (CC BY) license (https://creativecommons.org/licenses/by/4.0/).
Share and Cite
Liu, H.; Li, Q.; Su, D.; Yue, G.; Wang, L. Study on the Influence of Nanosilica Sol on the Hydration Process of Different Kinds of Cement and Mortar Properties. Materials 2021, 14, 3653. https://doi.org/10.3390/ma14133653
Liu H, Li Q, Su D, Yue G, Wang L. Study on the Influence of Nanosilica Sol on the Hydration Process of Different Kinds of Cement and Mortar Properties. Materials. 2021; 14(13):3653. https://doi.org/10.3390/ma14133653
Chicago/Turabian StyleLiu, Haibao, Qiuyi Li, Dunlei Su, Gongbing Yue, and Liang Wang. 2021. "Study on the Influence of Nanosilica Sol on the Hydration Process of Different Kinds of Cement and Mortar Properties" Materials 14, no. 13: 3653. https://doi.org/10.3390/ma14133653
APA StyleLiu, H., Li, Q., Su, D., Yue, G., & Wang, L. (2021). Study on the Influence of Nanosilica Sol on the Hydration Process of Different Kinds of Cement and Mortar Properties. Materials, 14(13), 3653. https://doi.org/10.3390/ma14133653

