Broadband Near-Infrared Luminescence in Lead Germanate Glass Triply Doped with Yb3+/Er3+/Tm3+
Abstract
1. Introduction
2. Materials and Methods
3. Results and Discussion
4. Conclusions
Author Contributions
Funding
Institutional Review Board Statement
Informed Consent Statement
Data Availability Statement
Acknowledgments
Conflicts of Interest
References
- Wang, W.; Yu, G.; Hou, G.; Zhang, C.; Jiang, C. Seamless multiband near-infrared emission covering 1200–2100 nm with double wavelength excitations. OSA Contin. 2019, 2, 2623–2629. [Google Scholar] [CrossRef]
- Xia, L.; Zhang, Y.; Ding, J.; Li, C.; Shen, X.; Zhou, Y. Er3+/Tm3+/Nd3+ tri-doping tellurite glass with ultra-wide NIR emission. J. Alloys Compd. 2021, 863, 158626. [Google Scholar] [CrossRef]
- Shen, X.; Zhang, Y.; Xia, L.; Li, J.; Yang, G.; Zhou, Y. Dual super-broadband NIR emissions in Pr3+-Er3+-Nd3+ tri-doped tellurite glass. Ceram. Int. 2020, 46, 14284–14286. [Google Scholar] [CrossRef]
- Dan, H.K.; Ty, N.M.; Nga, V.H.; Phuc, D.T.; Phan, A.-L.; Zhou, D.; Qiu, J. Broadband flat near-infrared emission and energy transfer of Pr3+–Er3+–Yb3+ tri-doped niobate tellurite glasses. J. Non Cryst. Solids 2020, 549, 120335. [Google Scholar] [CrossRef]
- Chu, Y.; Ren, J.; Zhang, J.; Peng, G.; Yang, J.; Wang, P.; Yuan, L. Ce3+/Yb3+/Er3+ triply doped bismuth borosilicate glass: A potential fiber material for broadband near-infrared fiber amplifiers. Sci. Rep. 2016, 6, 33865. [Google Scholar] [CrossRef] [PubMed]
- Bai, G.; Guo, Y.; Tian, Y.; Hu, L.; Zhang, J. Light emission at 2 µm from Ho–Tm–Yb doped silicate glasses. Opt. Mater. 2011, 33, 1316–1319. [Google Scholar] [CrossRef]
- Ma, Y.; Huang, F.; Hu, L.; Zhang, J. Efficient 2.05 µm emission of Ho3+/Yb3+/Er3+ triply doped fluorotellurite glasses. Spectrochim. Acta A 2014, 122, 711–714. [Google Scholar] [CrossRef]
- Xu, S.; Ma, H.; Fang, D.; Zhang, Z.; Jiang, Z. Tm3+/Er3+/Yb3+-codoped oxyhalide tellurite glasses as materials for three-dimensional display. Mater. Lett. 2005, 59, 3066–3068. [Google Scholar] [CrossRef]
- Liao, M.; Hu, L.; Fang, Y.; Zhang, J.; Sun, H.; Xu, S.; Zhang, L. Upconversion properties of Er3+, Yb3+ and Tm3+ codoped fluorophosphate glasses. Spectrochim. Acta A 2007, 68, 531–535. [Google Scholar] [CrossRef] [PubMed]
- Zhang, M.; Yu, J.; Jiang, W.; Liu, Y.; Ai, F.; Wen, H.; Jiang, M.; Yu, H.; Pan, X.; Tang, M.; et al. Bright white upconversion luminescence from Er3+/Tm3+/Yb3+-doped titanate-based glasses prepared by aerodynamic levitation method. Opt. Mater. 2017, 72, 447–451. [Google Scholar] [CrossRef]
- Chen, D.; Wang, Y.; Zheng, K.; Guo, T.; Yu, Y.; Huang, P. Bright upconversion white light emission in transparent glass ceramic embedding Tm3+/Er3+/Yb3+:β-YF3 nanocrystals. Appl. Phys. Lett. 2007, 91, 251903. [Google Scholar] [CrossRef]
- Santana-Alonso, A.; Méndez-Ramos, J.; Yanes, A.C.; del-Castillo, J.; Rodríguez, V.D. White light up-conversion in transparent sol–gel derived glass-ceramics containing Yb3+–Er3+–Tm3+ triply-doped YF3 nanocrystals. Mater. Chem. Phys. 2010, 124, 699–703. [Google Scholar] [CrossRef]
- Hu, Y.; Qiu, J.; Song, Z.; Yang, Z.; Yang, Y.; Zhou, D.; Jiao, Q.; Ma, C. Spectroscopic properties of Tm3+/Er3+/Yb3+ co-doped oxyfluorogermanate glasses containing silver nanoparticles. J. Lumin. 2014, 145, 512–517. [Google Scholar] [CrossRef]
- Hu, Y.; Qiu, J.; Song, Z.; Zhou, D. Ag2O dependent up-conversion luminescence properties in Tm3+/Er3+/Yb3+ co-doped oxyfluorogermanate glasses. J. Appl. Phys. 2014, 115, 083512. [Google Scholar] [CrossRef]
- Lakshminarayana, G.; Qiu, J.; Brik, M.G.; Kumar, G.A.; Kityk, I.V. Spectral analysis of Er3+-, Er3+/Yb3+- and Er3+/Tm3+/Yb3+-doped TeO2–ZnO–WO3–TiO2–Na2O glasses. J. Phys. Condens. Matter 2008, 20, 375101. [Google Scholar] [CrossRef] [PubMed]
- Tikhomirov, V.K.; Driesen, K.; Görller-Walrand, C.; Mortier, M. Broadband telecommunication wavelength emission in Yb3+-Er3+-Tm3+ co-doped nano-glass-ceramics. Opt. Express 2007, 15, 9535–9540. [Google Scholar] [CrossRef] [PubMed]
- Tikhomirov, V.K.; Driesen, K.; Görller-Walrand, C.; Mortier, M. Mid-infrared emission in Yb3+–Er3+–Tm3+ co-doped oxyfluoride glass-ceramics. Mater. Sci. Eng. B 2008, 146, 66–68. [Google Scholar] [CrossRef]
- Wachtler, M.; Speghini, A.; Gatterer, K.; Fritzer, H.P.; Ajo, D.; Bettinelli, M. Optical properties of rare-earth ions in lead germanate glasses. J. Am. Ceram. Soc. 1998, 81, 2045–2052. [Google Scholar] [CrossRef]
- Klimesz, B.; Dominiak-Dzik, G.; Lisiecki, R.; Ryba-Romanowski, W. Systematic study of spectroscopic properties and thermal stability of lead germanate glass doped with rare-earth ions. J. Non Cryst. Solids 2008, 354, 515–520. [Google Scholar] [CrossRef]
- Khalid, M.; Lancaster, D.G.; Ebendorff-Heidepriem, H. Spectroscopic analysis and laser simulations ofYb3+/Ho3+co-doped lead-germanate glass. Opt. Mater. Express 2020, 10, 2819–2833. [Google Scholar] [CrossRef]
- Wang, P.; Bei, J.; Ahmed, N.; Ng, A.K.L.; Ebendorff-Heidepriem, H. Development of low-loss lead-germanate glass for mid-infrared fiber optics: I. glass preparation optimization. J. Am. Ceram. Soc. 2021, 104, 860–876. [Google Scholar] [CrossRef]
- Wang, P.; Ng, A.K.L.; Dowler, A.; Ebendorff-Heidepriem, H. Development of low-loss lead-germanate glass for mid-infrared fiber optics: II. preform extrusion and fiber fabrication. J. Am. Ceram. Soc. 2021, 104, 833–850. [Google Scholar] [CrossRef]
- Munasinghe, H.T.; Winterstein-Beckmann, A.; Schiele, C.; Manzani, D.; Wondraczek, L.; Afshar, V.S.; Monro, T.M.; Ebendorff-Heidepriem, H. Lead-germanate glasses and fibers: A practical alternative to tellurite for nonlinear fiber applications. Opt. Mater. Express 2013, 3, 1488–1503. [Google Scholar] [CrossRef]
- Cacho, V.D.D.; Kassab, L.R.P.; de Oliveira, S.L.; Morimoto, N.I. Blue cooperative emissions in Yb3+-doped GeO2–PbO glasses. Mater. Res. 2006, 9, 21–24. [Google Scholar] [CrossRef][Green Version]
- Cacho, V.D.D.; Kassab, L.R.P.; de Oliveira, S.L.; Verdonck, P. Near infrared and blue cooperative emissions in Yb3+-doped GeO2–PbO glasses. J. Non Cryst. Solids 2006, 352, 56–62. [Google Scholar] [CrossRef]
- Yang, Z.; Jiang, Z.; Liu, Y.; Deng, Z. Radiative trapping effect of Yb3+ ions in lead-germanate glasses. J. Mater. Sci. 2006, 41, 6174–6177. [Google Scholar] [CrossRef]
- Pan, Z.; Morgan, S.H.; Dyer, K.; Ueda, A.; Liu, H. Host-dependent optical transitions of Er3+ ions in lead-germanate and lead-tellurium-germanate glasses. J. Appl. Phys. 1996, 79, 8906–8913. [Google Scholar] [CrossRef]
- Balda, R.; Garcia-Adeva, A.J.; Fernandez, J.; Fdez-Navarro, J.M. Infrared-to-visible upconversion of Er3+ ions in GeO2–PbO–Nb2O5 glasses. J. Opt. Soc. Am. B 2004, 21, 744–752. [Google Scholar] [CrossRef]
- Balda, R.; Fernandez, J.; Arriandiaga, M.A.; Fdez-Navarro, J.M. Infrared to visible upconversion of Er3+ and Er3+/Yb3+ codoped lead–niobium–germanate glasses. Opt. Mater. 2004, 25, 157–163. [Google Scholar] [CrossRef]
- Shepherd, D.P.; Brinck, D.J.B.; Wang, J.; Tropper, A.C.; Hanna, D.C. 1.9-µm operation of a Tm:lead germanate glass waveguide laser. Opt. Lett. 1994, 19, 954–956. [Google Scholar] [CrossRef]
- Balda, R.; Lacha, L.M.; Fernandez, J.; Fdez-Navarro, J.M. Optical spectroscopy of Tm3+ ions in GeO2–PbO–Nb2O5 glasses. Opt. Mater. 2005, 27, 1771–1775. [Google Scholar] [CrossRef]
- Bomfim, F.A.; Martinelli, J.R.; Kassab, L.R.P.; Wetter, N.U.; Neto, J.J. Effect of the ytterbium concentration on the upconversion luminescence of Yb3+/Er3+ co-doped PbO–GeO2–Ga2O3 glasses. J. Non Cryst. Solids 2008, 354, 4755–4759. [Google Scholar] [CrossRef]
- Kassab, L.R.P.; Bomfim, F.A.; Martinelli, J.R.; Wetter, N.U.; Neto, J.J.; de Araújo, C.B. Energy transfer and frequency upconversion in Yb3+–Er3+-doped PbO-GeO2 glass containing silver nanoparticles. Appl. Phys. B 2009, 94, 239–242. [Google Scholar] [CrossRef]
- Pisarski, W.A.; Pisarska, J.; Lisiecki, R.; Ryba-Romanowski, W. Er3+/Yb3+ co-doped lead germanate glasses for up-conversion luminescence temperature sensors. Sens. Actuat. A 2016, 252, 54–58. [Google Scholar] [CrossRef]
- Assumpção, T.A.A.; da Silva, D.M.; Kassab, L.R.P.; de Araújo, C.B. Frequency upconversion luminescence from Yb+3–Tm+3 codoped PbO–GeO2 glasses containing silver nanoparticles. J. Appl. Phys. 2009, 106, 063522. [Google Scholar] [CrossRef]
- de Assumpção, T.A.A.; da Silva, D.M.; Kassab, L.R.P.; Martinelli, J.R.; de Araújo, C.B. Influence of the temperature on the nucleation of silver nanoparticles in Tm3+/Yb3+ codoped PbO–GeO2 glasses. J. Non Cryst. Solids 2010, 356, 2465–2467. [Google Scholar] [CrossRef]
- Gouveia-Neto, A.S.; Bueno, L.A.; do Nascimento, R.F.; da Silva, E.A.; da Costa, E.B.; do Nascimento, V.B. White light generation by frequency upconversion in Tm3+/Ho3+/Yb3+-codoped fluorolead germanate glass. Appl. Phys. Lett. 2007, 91, 091114. [Google Scholar] [CrossRef]
- Camilo, M.E.; de Silva, E.O.; Assumpção, T.A.A.; Kassab, L.R.P.; de Araújo, C.B. White light generation in Tm3+/Ho3+/Yb3+ doped PbO-GeO2 glasses excited at 980 nm. J. Appl. Phys. 2013, 114, 163515. [Google Scholar] [CrossRef]
- Camilo, M.E.; de Silva, E.O.; Kassab, L.R.P.; Garcia, J.A.M.; de Araújo, C.B. White light generation controlled by changing the concentration of silver nanoparticles hosted by Ho3+/Tm3+/Yb3+ doped GeO2–PbO glasses. J. Alloys Compd. 2015, 644, 155–158. [Google Scholar] [CrossRef]
- Gouveia-Neto, A.S.; da Costa, E.B.; dos Santos, P.V.; Bueno, L.A.; Ribeiro, S.J.L. Sensitized thulium blue upconversion emission in Nd3+/Tm3+/Yb3+ triply doped lead and cadmium germanate glass excited around 800 nm. J. Appl. Phys. 2003, 94, 5678–5681. [Google Scholar] [CrossRef]
- Camilo, M.E.; Assumpção, T.A.A.; da Silva, D.M.; da Silva, D.S.; Kassab, L.R.P.; de Araújo, C.B. Influence of silver nanoparticles on the infrared-to-visible frequency upconversion in Tm3+/Er3+/Yb3+ doped GeO2-PbO glass. J. Appl. Phys. 2013, 113, 153507. [Google Scholar] [CrossRef]
- Rivera, V.A.G.; El-Amraoui, M.; Ledemi, Y.; Messaddeq, Y.; Marega, E., Jr. Expanding broadband emission in the near-IR via energy transfer between Er3+–Tm3+ co-doped tellurite-glasses. J. Lumin. 2014, 145, 787–792. [Google Scholar] [CrossRef]
- Xu, Y.; Chen, D.; Wang, W.; Zhang, Q.; Zeng, H.; Shen, C.; Chen, G. Broadband near-infrared emission in Er3+–Tm3+ codoped chalcohalide glasses. Opt. Lett. 2008, 33, 2293–2295. [Google Scholar] [CrossRef]
- Balda, R.; Fernández, J.; Fernández-Navarro, J.M. Study of broadband near-infrared emission in Tm3+-Er3+ codoped TeO2-WO3-PbO glasses. Opt. Express 2009, 17, 8781–8788. [Google Scholar] [CrossRef]
- Zhou, B.; Pun, E.Y.B. Broadband near-infrared photoluminescence and energy transfer in Tm3+/Er3+-codoped low phonon energy gallate bismuth lead glasses. J. Phys. D Appl. Phys. 2011, 44, 285404. [Google Scholar] [CrossRef]
- Miguel, A.; Arriandiaga, M.A.; Morea, R.; Fernandez, J.; Gonzalo, J.; Balda, R. Effect of Tm3+ codoping on the near-infrared and upconversion emissions of Er3+ in TeO2–ZnO–ZnF2 glasses. J. Lumin. 2014, 154, 136–141. [Google Scholar] [CrossRef]
- Xu, R.; Tian, Y.; Wang, M.; Hu, L.; Zhang, J. Investigation on broadband near-infrared emission and energy transfer in Er3+–Tm3+ codoped germanate glasses. Opt. Mater. 2011, 33, 299–302. [Google Scholar] [CrossRef]
- Huang, L.; Shen, S.; Jha, A. Near infrared spectroscopic investigation of Tm3+–Yb3+ co-doped tellurite glasses. J. Non Cryst. Solids 2004, 345, 349–353. [Google Scholar] [CrossRef]
- Liu, Y.; Pisarski, W.A.; Zeng, S.; Xu, C.; Yang, Q.B. Tri-color upconversion luminescence of rare earth doped BaTiO3 nanocrystals and lowered color separation. Opt. Express 2009, 17, 9089–9098. [Google Scholar] [CrossRef]
- Xu, F.; Serna, R.; Jiménez de Castro, M.; Fernández Navarro, J.M.; Xiao, Z. Broadband infrared emission of erbium–thulium-codoped calcium boroaluminate glasses. Appl. Phys. B 2010, 99, 263–270. [Google Scholar] [CrossRef]
- Suresh, K.; Krishnaiah, K.V.; Basavapoornima, C.; Depuru, S.R.; Jayasankar, C.K. Enhancement of 1.8 µm emission in Er3+/Tm3+ co-doped tellurite glasses: Role of energy transfer and dual wavelength pumping schemes. J. Alloys Compd. 2020, 827, 154038. [Google Scholar] [CrossRef]




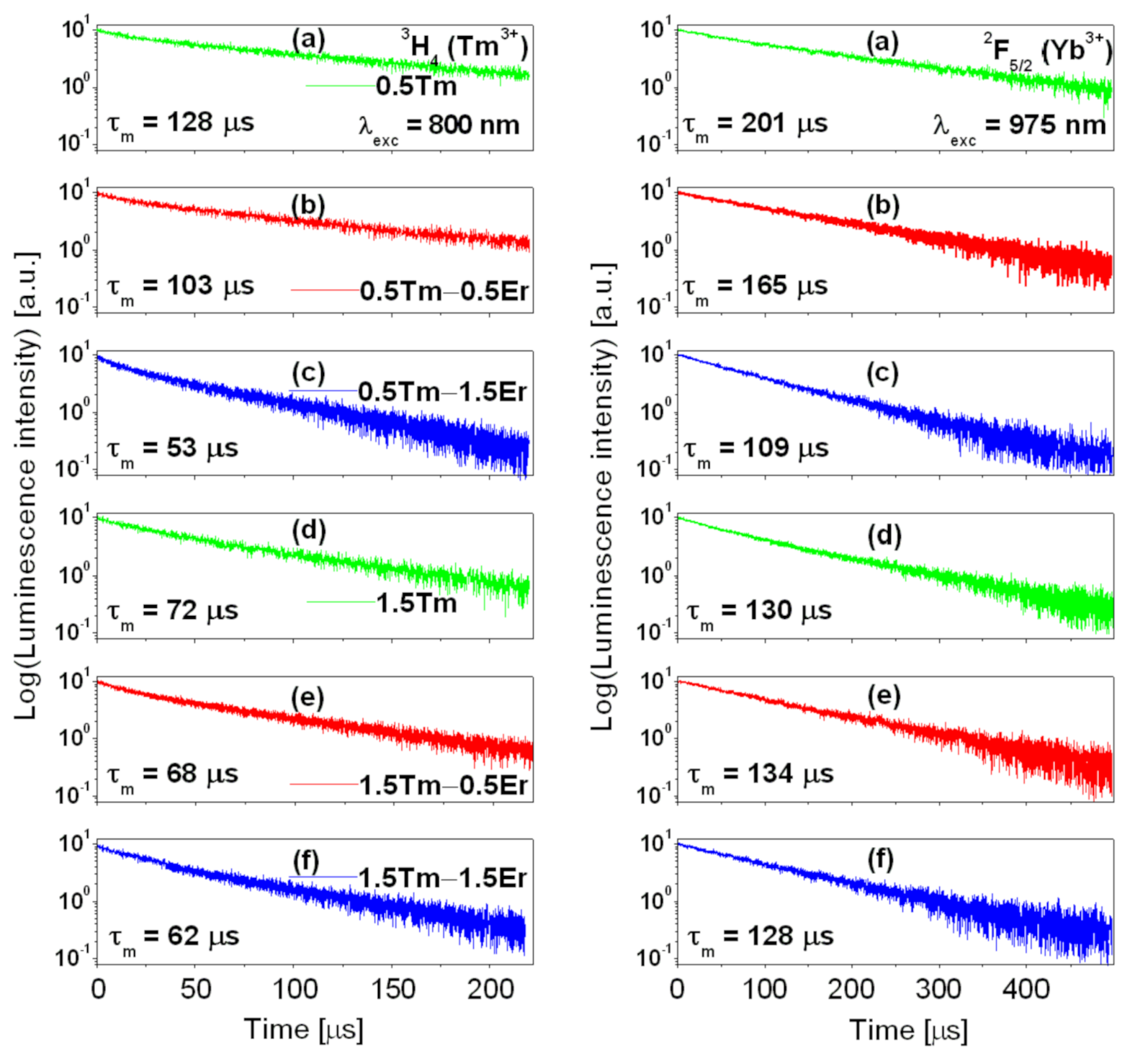
| Glass Code | Luminescence Lifetime (µs) | |||
|---|---|---|---|---|
| 3H4 (Tm3+) | 2F5/2 (Yb3+) | 4I13/2 (Er3+) | 3F4 (Tm3+) | |
| (a) 0.5 Tm | 128 | 201 | – | 1440 |
| (b) 0.5 Tm − 0.5 Er | 103 | 165 | 1595 | 1620 |
| (c) 0.5 Tm − 1.5 Er | 53 | 109 | 646 | 1229 |
| (d) 1.5 Tm | 72 | 130 | – | 996 |
| (e) 1.5 Tm − 0.5 Er | 68 | 134 | 888 | 1260 |
| (f) 1.5 Tm − 1.5 Er | 62 | 128 | 775 | 1527 |
Publisher’s Note: MDPI stays neutral with regard to jurisdictional claims in published maps and institutional affiliations. |
© 2021 by the authors. Licensee MDPI, Basel, Switzerland. This article is an open access article distributed under the terms and conditions of the Creative Commons Attribution (CC BY) license (https://creativecommons.org/licenses/by/4.0/).
Share and Cite
Pisarski, W.A.; Pisarska, J.; Lisiecki, R.; Ryba-Romanowski, W. Broadband Near-Infrared Luminescence in Lead Germanate Glass Triply Doped with Yb3+/Er3+/Tm3+. Materials 2021, 14, 2901. https://doi.org/10.3390/ma14112901
Pisarski WA, Pisarska J, Lisiecki R, Ryba-Romanowski W. Broadband Near-Infrared Luminescence in Lead Germanate Glass Triply Doped with Yb3+/Er3+/Tm3+. Materials. 2021; 14(11):2901. https://doi.org/10.3390/ma14112901
Chicago/Turabian StylePisarski, Wojciech A., Joanna Pisarska, Radosław Lisiecki, and Witold Ryba-Romanowski. 2021. "Broadband Near-Infrared Luminescence in Lead Germanate Glass Triply Doped with Yb3+/Er3+/Tm3+" Materials 14, no. 11: 2901. https://doi.org/10.3390/ma14112901
APA StylePisarski, W. A., Pisarska, J., Lisiecki, R., & Ryba-Romanowski, W. (2021). Broadband Near-Infrared Luminescence in Lead Germanate Glass Triply Doped with Yb3+/Er3+/Tm3+. Materials, 14(11), 2901. https://doi.org/10.3390/ma14112901
