Study of the Electrooxidation of a Zinc Concentrate
Abstract
:1. Introduction
2. Materials and Methods
2.1. Sample Description
2.2. Microelectrolysis
2.3. Macroelectrolysis
3. Results and Discussion
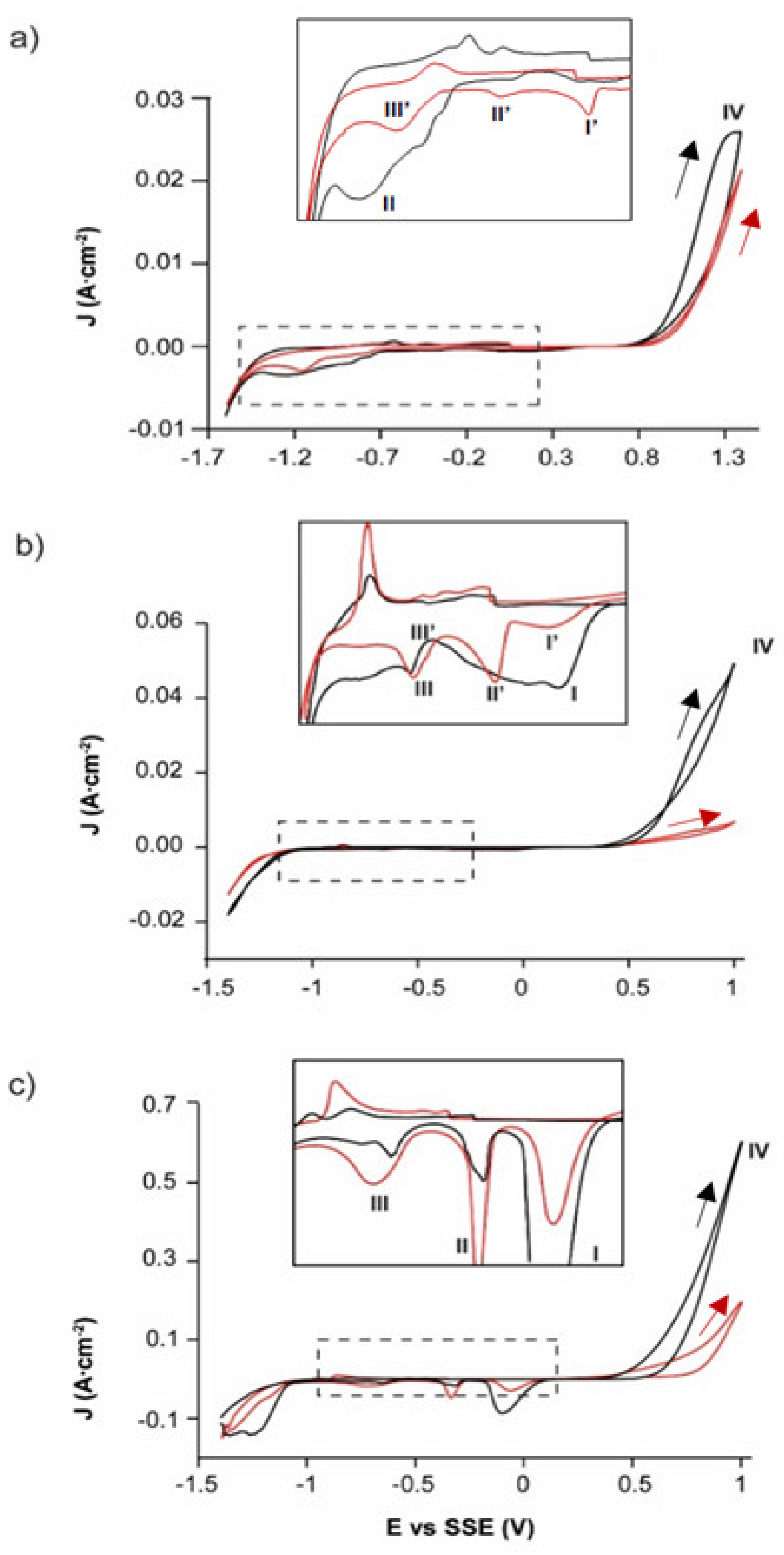
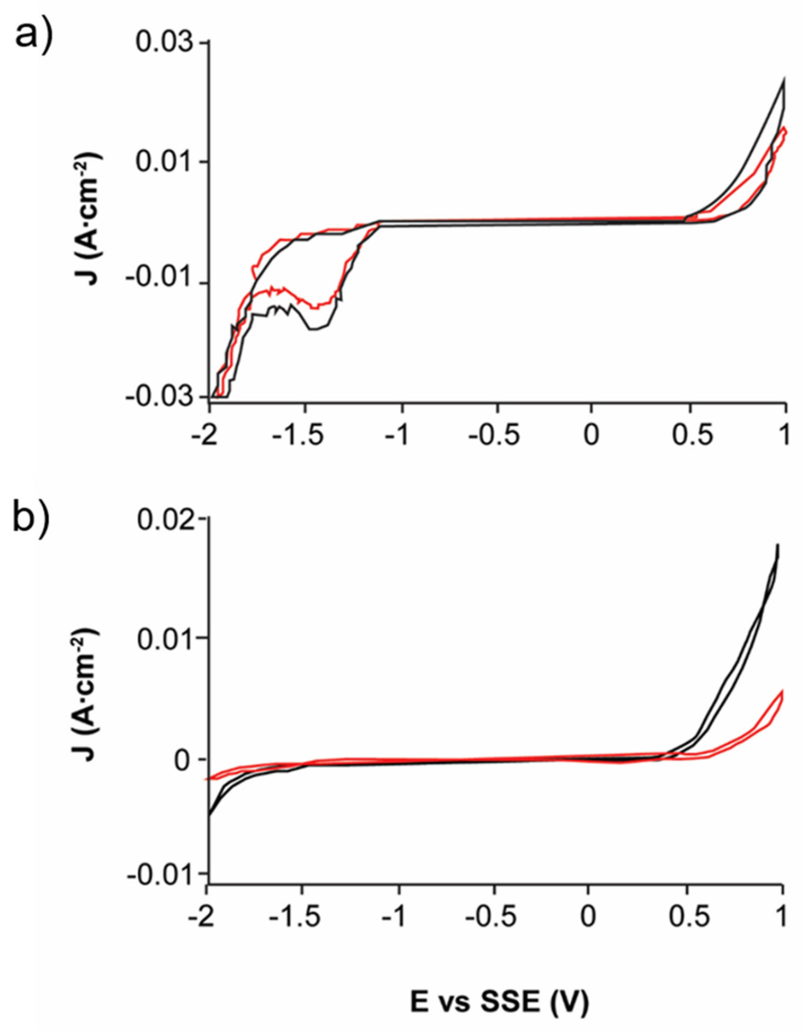
3.1. Electrochemical Response of EAHSS and EBHSS
3.2. Effect of Pyrite Content in EBHSS and EAHSS
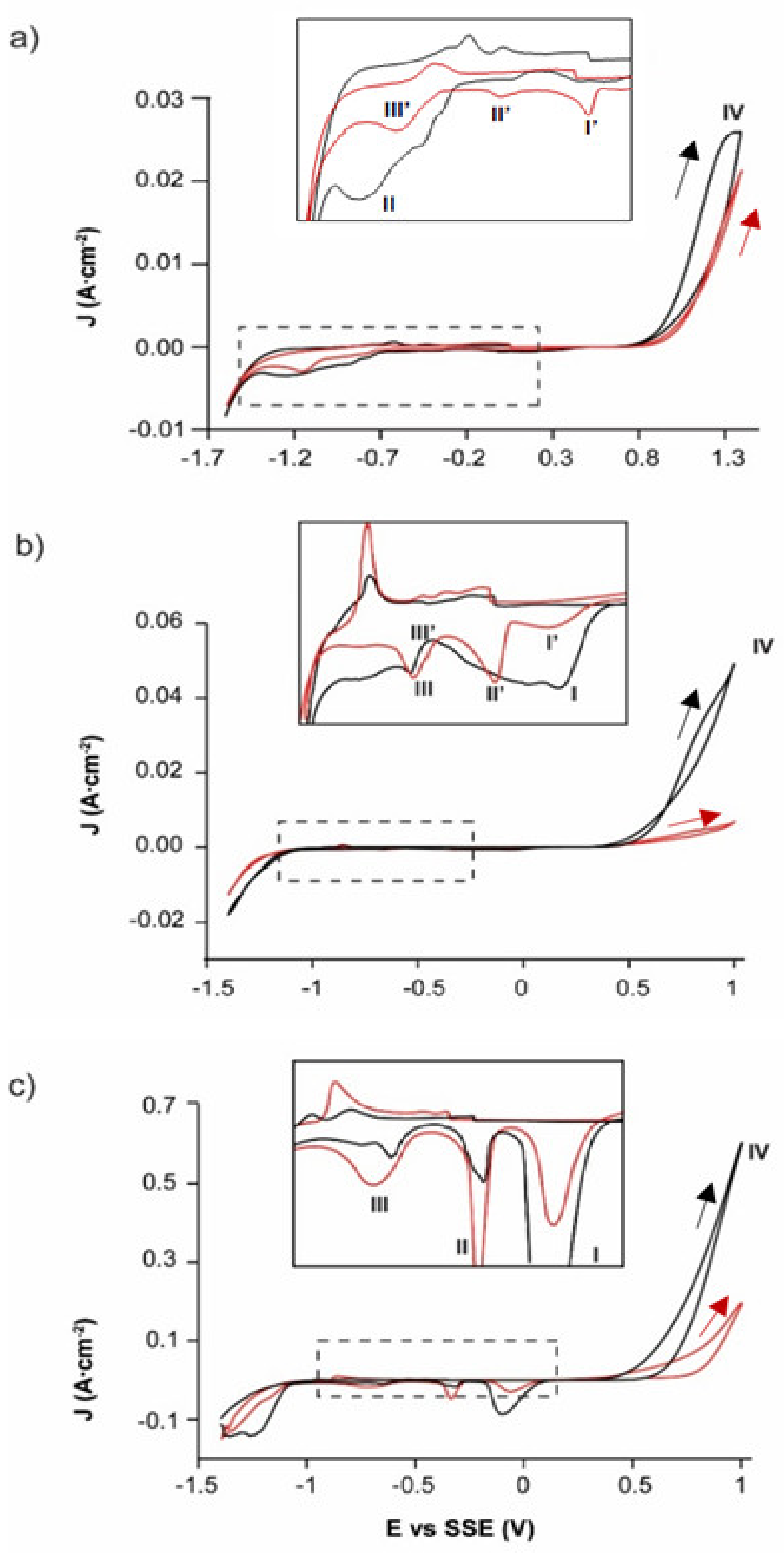
3.3. Oxidative Dissolution of EBHSS
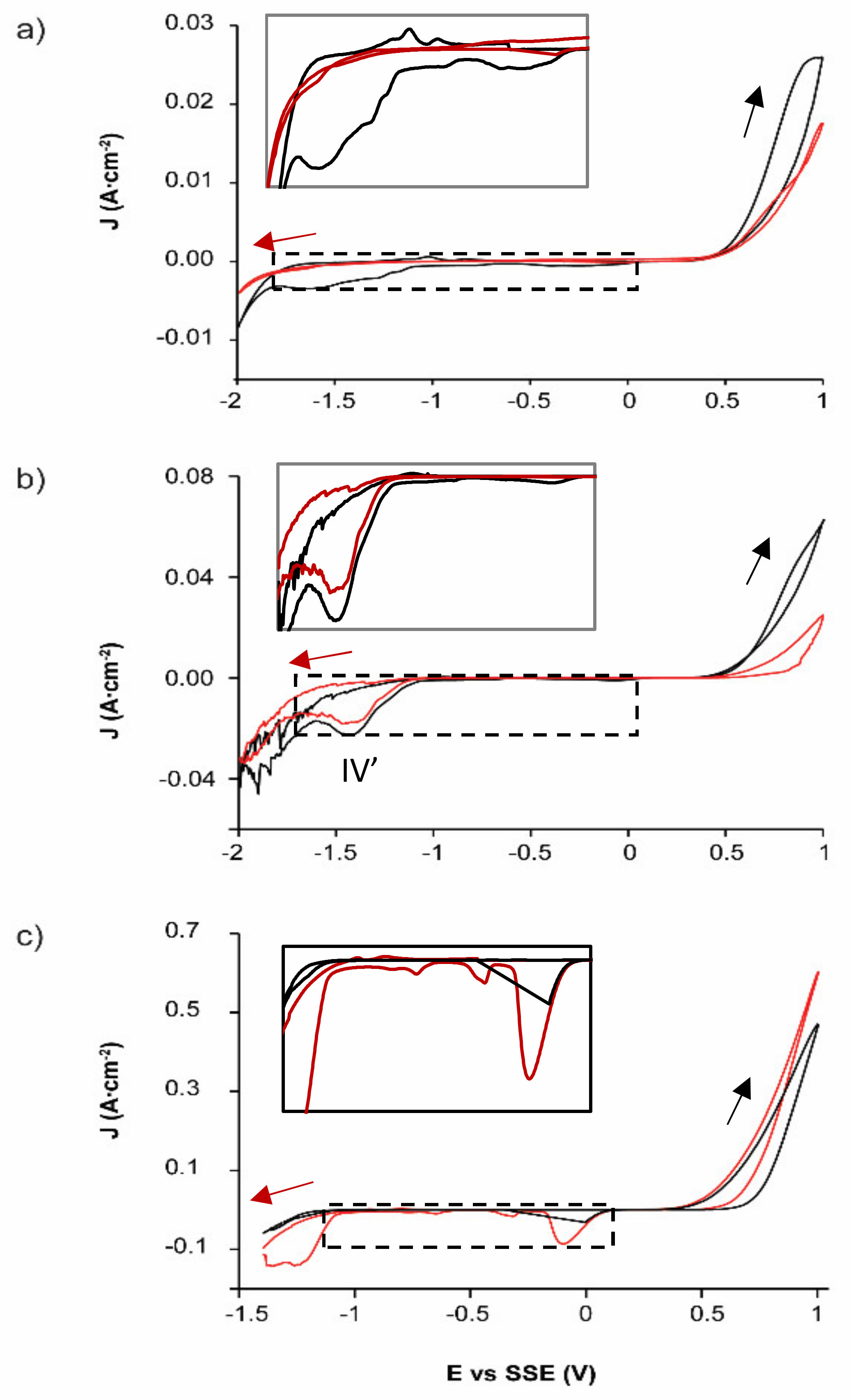
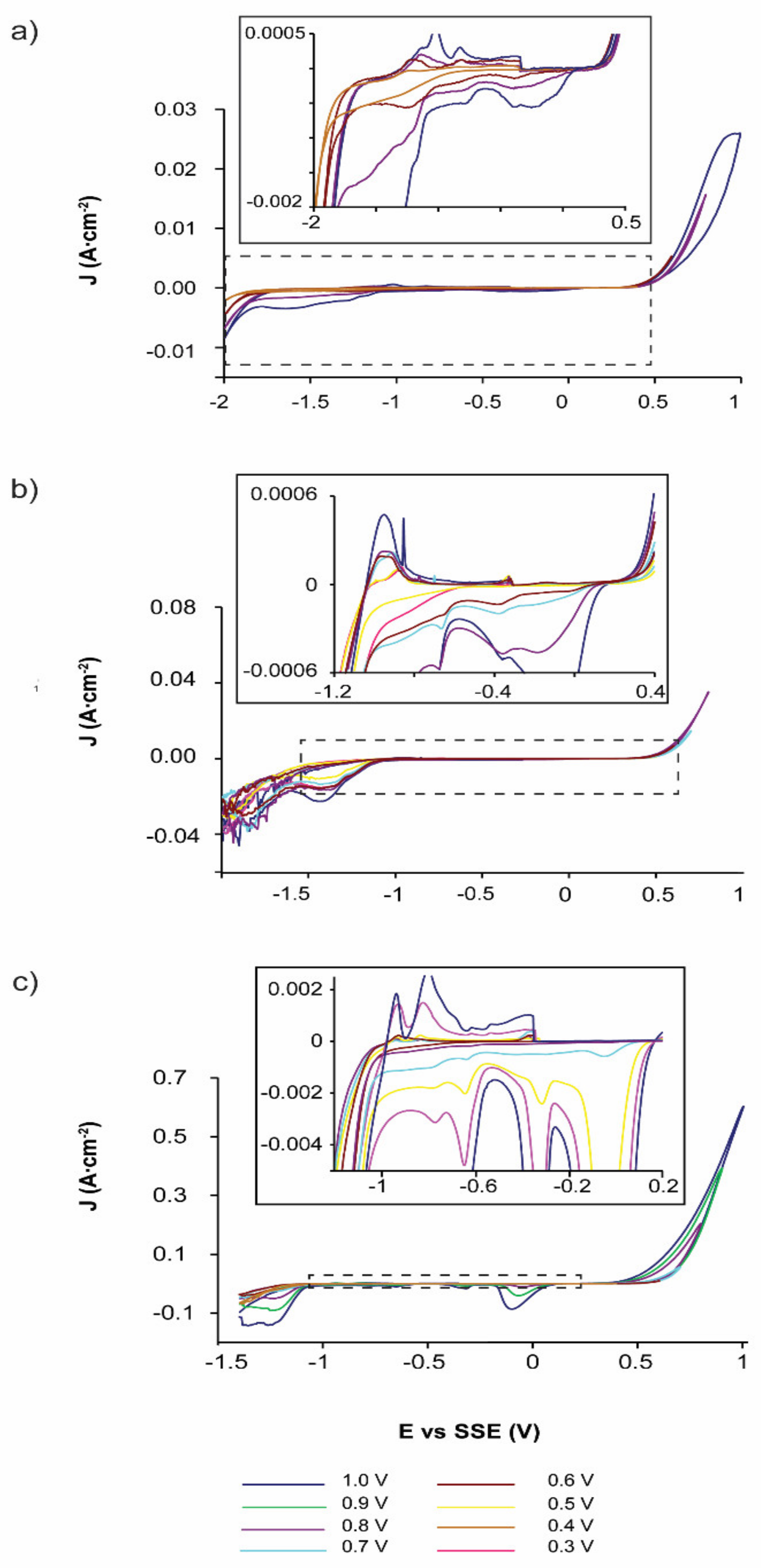
3.4. Macroelectrolysis I
3.5. Macroelectrolysis II
4. Conclusions
Author Contributions
Funding
Institutional Review Board Statement
Informed Consent Statement
Data Availability Statement
Acknowledgments
Conflicts of Interest
References
- Jha, M.; Kumar, V.; Singh, R. Review of hydrometallurgical recovery of zinc from industrial wastes. Resour. Conserv. Recycl. 2001, 33, 1–22. [Google Scholar] [CrossRef]
- Aydogan, S.; Aras, A.; Canbazoglu, M. Dissolution kinetics of sphalerite in acidic ferric chloride leaching. Chem. Eng. J. 2005, 114, 67–72. [Google Scholar] [CrossRef]
- Peng, P.; Xie, H.; Lu, L. Leaching of a sphalerite concentrate with H2SO4–HNO3 solutions in the presence of C2Cl4. Hydrometallurgy 2005, 80, 265–271. [Google Scholar] [CrossRef]
- Gill, C. Nonferrous Extractive Metallurgy; Wiley: New York, NY, USA, 1980. [Google Scholar]
- Lusk, J.; Calder, B.O.E. The composition of sphalerite and associated sulfides in reactions of the Cu–Fe–Zn–S, Fe–Zn–S and Cu–Fe–S systems at 1 bar and temperatures between 250 and 535 °C. Chem. Geol. 2004, 203, 319–345. [Google Scholar] [CrossRef]
- Perez, I.; Dutrizac, J. The effect of the iron content of sphalerite on its rate of dissolution in ferric sulphate and ferric chloride media. Hydrometallurgy 1991, 26, 211–232. [Google Scholar] [CrossRef]
- Kurama, H.; Göktepe, F. Recovery of zinc from waste material using hydro metallurgical processes. Environ. Prog. 2003, 22, 161–166. [Google Scholar] [CrossRef]
- Barakat, M.A. The pyrometallurgical processing of galvanizing zinc ash and flue dust. JOM 2003, 55, 26–29. [Google Scholar] [CrossRef]
- Trpčevská, J.; Hoľková, B.; Briančin, J.; Korálová, K.; Pirošková, J. The pyrometallurgical recovery of zinc from the coarse-grained fraction of zinc ash by centrifugal force. Int. J. Miner. Process. 2015, 143, 25–33. [Google Scholar] [CrossRef]
- Crundwell, F.K. The influence of the electronic structure of solids on the anodic dissolution and Leaching of semi-conducting sulphide minerals. Hydrometallurgy 1988, 21, 155–190. [Google Scholar] [CrossRef]
- Dutrizac, J. The leaching of sulphide minerals in chloride media. Hydrometallurgy 1992, 29, 1–45. [Google Scholar] [CrossRef]
- Verbaan, B.; Crundwell, F. An electrochemical model for the leaching of a sphalerite concentrate. Hydrometallurgy 1986, 16, 345–359. [Google Scholar] [CrossRef]
- Crundwell, F.K. Kinetics and mechanism of the oxidative dissolution of a zinc sulphide concentrate in ferric sul-phate solutions. Hydrometallurgy 1987, 19, 227–242. [Google Scholar] [CrossRef]
- Rath, P.C.; Paramguru, R.K.; Jena, P.K. Kinetics of dissolution of zinc sulphide in aqueous ferric chloride solu-tion. Hydrometallurgy 1981, 6, 219–225. [Google Scholar] [CrossRef]
- Suni, J.H.; Henein, G.; Warren, W.; Reddy, D. Modelling the leaching kinetics of a sphalerite concentrate size dis-tribution in ferric chloride solution. Hydrometallurgy 1989, 22, 25–38. [Google Scholar] [CrossRef]
- Al-Harahsheh, M.; Kingman, S. The influence of microwaves on the leaching of sphalerite in ferric chloride. Chem. Eng. Process. Process Intensif. 2007, 46, 883–888. [Google Scholar] [CrossRef]
- Dutrizac, J.E.; Macdonald, R.J.C. The Dissolution of Sphalerite in Ferric Chloride Solutions. Met. Mater. Trans. A 1978, 9, 543–551. [Google Scholar] [CrossRef]
- Abdel-Aal, E. Kinetics of sulfuric acid leaching of low-grade zinc silicate ore. Hydrometallurgy 2000, 55, 247–254. [Google Scholar] [CrossRef]
- De Souza, M.; Bueno, C.C.; de Oliveira, D.C.; SoaresTenório, J.A. Characterization of used alkaline batteries powder and analysis of zinc recovery by acid leaching. J. Power Sour. 2001, 103, 120–126. [Google Scholar] [CrossRef]
- Sasikumar, C.; Rao, D.; Srikanth, S.; Ravikumar, B.; Mukhopadhyay, N.; Mehrotra, S. Effect of mechanical activation on the kinetics of sulfuric acid leaching of beach sand ilmenite from Orissa, India. Hydrometallurgy 2004, 75, 189–204. [Google Scholar] [CrossRef]
- Xu, H.; Wei, C.; Li, C.; Fan, G.; Deng, Z.; Li, M.; Li, X. Sulfuric acid leaching of zinc silicate ore under pressure. Hydrometallurgy 2010, 105, 186–190. [Google Scholar] [CrossRef]
- Dutrizac, J. Elemental sulphur formation during the ferric chloride leaching of chalcopyrite. Hydrometallurgy 1990, 23, 153–176. [Google Scholar] [CrossRef]
- Hackl, R.; Dreisinger, D.; Peters, E.; King, J. Passivation of chalcopyrite during oxidative leaching in sulfate media. Hydrometallurgy 1995, 39, 25–48. [Google Scholar] [CrossRef]
- Dutrizac, J.E. The dissolution of sphalerite in ferric sulfate media. Met. Mater. Trans. A 2006, 37, 161–171. [Google Scholar] [CrossRef]
- Narasagoudar, R.A.; Johnson, J.W.; O’Keefe, T.J. The anodic dissolution of ZnS electrodes in sulfuric acid solutions. Hydrometallurgy 1982, 9, 37–55. [Google Scholar] [CrossRef]
- Ahlberg, E.; Ásbjörnsson, J. Carbon paste electrodes in mineral processing: An electrochemical study of sphalerite. Hydrometallurgy 1994, 36, 19–37. [Google Scholar] [CrossRef]
- Mehta, A.P.; Murr, L.E. Fundamental studies of the contribution of galvanic interaction to acid-bacterial leaching f mixed metal sulfides. Hydrometallurgy 1983, 9, 235–256. [Google Scholar] [CrossRef]
- Cruz, R.; Luna-Sánchez, R.M.; Lapidus, G.T.; González, I.; Monroy, M. An experimental strategy to determine galvanic interactions affecting the reactivity of sulfide mineral concentrates. Hydrometallurgy 2005, 78, 198–208. [Google Scholar] [CrossRef]
- Hamilton, I.C.; Woods, R. An investigation of surface oxidation of pyrite and pyrrhotite by linear potential sweep voltammetry. J. Electroanal. Chem. 1981, 118, 327–343. [Google Scholar] [CrossRef]
- Mycroft, J.; Bancroft, G.; McIntyre, N.; Lorimer, J.; Hill, I. Detection of sulphur and polysulphides on electrochemically oxidized pyrite surfaces by X-ray photoelectron spectroscopy and Raman spectroscopy. J. Electroanal. Chem. Interfacial Electrochem. 1990, 292, 139–152. [Google Scholar] [CrossRef]
- Habashi, F. The leaching of sulfide minerals in chloride media. Hydrometallurgy 1995, 38, 219. [Google Scholar] [CrossRef]
- Nava, J.L. Establecimiento de las Condiciones Óptimas en pH y Potencial Para la Electrodisolución de un Concentrado de Galena en Medio de Percloratos. Master’s Thesis, UAM-Itztapalapa, Mexico City, Mexico, 2000. [Google Scholar]
- Giannetti, B.; Bonilla, S.; Zinola, C.; Rabóczkay, T. A study of the main oxidation products of natural pyrite by voltammetric and photoelectrochemical responses. Hydrometallurgy 2001, 60, 41–53. [Google Scholar] [CrossRef]
- Rius de Riepen, M.; Acuña, C.M.C. La química Hacia La Conquista Del Sol, 3rd ed.; Fondo de Cultura Económica: Mexico City, Mexico, 2002. [Google Scholar]
- Jankola, W. Zinc pressure leaching at Cominco. Hydrometallurgy 1995, 39, 63–70. [Google Scholar] [CrossRef]
- Peters, E. Hydrometallurgical process innovation. Hydrometallurgy 1992, 29, 431–459. [Google Scholar] [CrossRef]
- Abramov, A.; Avdohin, M.V. Oxidation of Sulfide Minerals in Benefication Processes; Gordon and Breach Science Publishers: Amsterdam, The Netherlands, 1997. [Google Scholar]


















| Concentrate Mineral (wt.%) | EAHSS | EBHSS |
|---|---|---|
| Zn | 57 | 66 |
| Fe | 10 | 1 |
| S | 33 | 33 |
| Total | 100 | 100 |
| Electrolyte | pH | Qa (mC/cm2) a | Qa’ (mC/cm2) b |
|---|---|---|---|
| 0.1 M Na2SO4 | 7 | 122 | 40 |
| 0.1 M H2SO4 | 2 | 272 | 74 |
| 1.7 M H2SO4 c | −0.54 | 2240 | 1660 |
| Chronoampherometric Analyses | Chronopotenciometric Analyses | ||
|---|---|---|---|
| E vs. SSE | J (A·cm−2) | E vs. SSE | J (A·cm−2) |
| 1 V | 1.00 × 10−3 (64 mA) | 2 V | 1.57 × 10−3 (100 mA) |
Publisher’s Note: MDPI stays neutral with regard to jurisdictional claims in published maps and institutional affiliations. |
© 2021 by the authors. Licensee MDPI, Basel, Switzerland. This article is an open access article distributed under the terms and conditions of the Creative Commons Attribution (CC BY) license (https://creativecommons.org/licenses/by/4.0/).
Share and Cite
Tafoya-Medina, N.A.; Chuck-Hernandez, C.; Medina, D.I. Study of the Electrooxidation of a Zinc Concentrate. Materials 2021, 14, 2868. https://doi.org/10.3390/ma14112868
Tafoya-Medina NA, Chuck-Hernandez C, Medina DI. Study of the Electrooxidation of a Zinc Concentrate. Materials. 2021; 14(11):2868. https://doi.org/10.3390/ma14112868
Chicago/Turabian StyleTafoya-Medina, Nora A., Cristina Chuck-Hernandez, and Dora I. Medina. 2021. "Study of the Electrooxidation of a Zinc Concentrate" Materials 14, no. 11: 2868. https://doi.org/10.3390/ma14112868
APA StyleTafoya-Medina, N. A., Chuck-Hernandez, C., & Medina, D. I. (2021). Study of the Electrooxidation of a Zinc Concentrate. Materials, 14(11), 2868. https://doi.org/10.3390/ma14112868

