Influences of Increased Pressure Foaming on the Cellular Structure and Compressive Properties of In Situ Al-4.5%Cu-xTiB2 Composite Foams with Different Particle Fraction
Abstract
1. Introduction
2. Materials and Methods
2.1. Composites Fabrication
2.2. Increased Pressure Foaming
2.3. Structural Characterization
2.4. Compression Tests
3. Results
3.1. Cellular Structure
3.2. Compressive Properties
3.3. Deformation Behavior
3.4. Microstrucutre
4. Discussion
4.1. Stucture–Strength Correlation
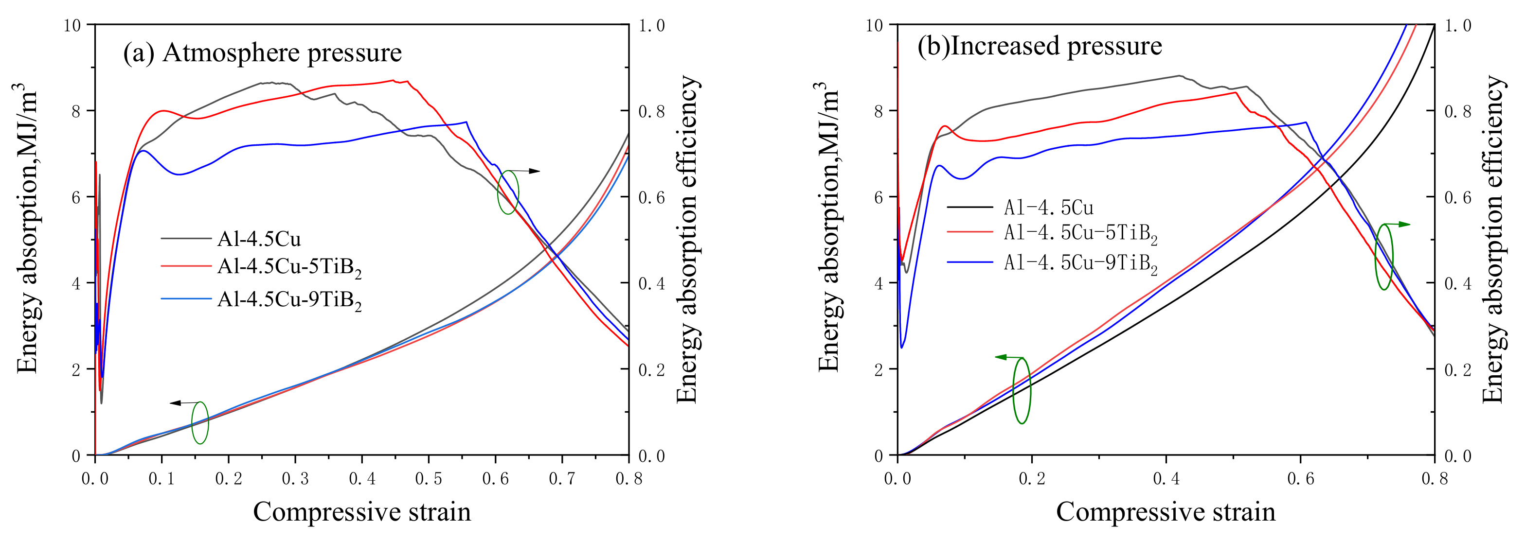
4.2. Specific Energy Absorption
5. Conclusions
Author Contributions
Funding
Institutional Review Board Statement
Informed Consent Statement
Data Availability Statement
Conflicts of Interest
References
- Banhart, J. Light-metal foams—History of innovation and technological challenges. Adv. Eng. Mater. 2013, 15, 82–111. [Google Scholar] [CrossRef]
- Lefebvre, L.; Banhart, J. Porous metals and metallic foams: Current status and recent developments. Adv. Eng. Mater. 2008, 10, 775–787. [Google Scholar] [CrossRef]
- García-Moreno, F. Commercial Applications of Metal Foams: Their Properties and Production. Materials 2016, 9, 85. [Google Scholar] [CrossRef] [PubMed]
- Miyoshi, T.; Itoh, M. Alporas aluminum foam: Production process, properties, and applications. Adv. Eng. Mater. 2000, 2, 179–183. [Google Scholar] [CrossRef]
- Bhogi, S.; Mukherjee, M. Foam stabilization by magnesium. Mater. Lett. 2017, 1, 118–120. [Google Scholar] [CrossRef]
- Ip, S.W.; Wang, Y. Aluminum foam stabilization by solid particles. Can. Metall. Quart. 1999, 38, 81–92. [Google Scholar] [CrossRef]
- Babcsán, N.; Leitlmeier, D.; Banhart, J. Metal foams—High temperature colloids: Part I. Ex situ analysis of metal foams. Colloid Surf. A 2005, 261, 123–130. [Google Scholar] [CrossRef]
- Das, S.; Rajak, D.K.; Khanna, S.; Mondal, D.P. Energy Absorption Behavior of Al-SiC-Graphene Composite Foam under a High Strain Rate. Materials 2020, 13, 783. [Google Scholar] [CrossRef]
- Vinod Kumar, G.S.; Rao, N.R.; Gokhale, A.A. Effect of SiC particle content on foaming and mechanical properties of remelted and diluted A356/SiC composite. Mater. Sci. Eng. A 2014, 598, 343–349. [Google Scholar] [CrossRef]
- Jang, W.; Hsieh, W. Microstructure and mechanical properties of ALPORAS closed-cell aluminium foam. Mater. Charact. 2015, 107, 228–238. [Google Scholar] [CrossRef]
- Singh, H.; Raina, A. Effect of TiB2 on mechanical and tribological properties of aluminium alloys—A review. Mater. Today 2018, 5, 17982–17988. [Google Scholar] [CrossRef]
- Weirauch, D.; Krafick, W. The wettability of titanium diboride by molten aluminum drops. J. Mater. Sci. 2005, 40, 2301–2306. [Google Scholar] [CrossRef]
- Kaptay, G. Interfacial criteria for stabilization of liquid foams by solid particles. Colloid Surf. A 2004, 230, 67–80. [Google Scholar] [CrossRef]
- Kennedy, A.; Asavavisitchai, S. Effects of TiB2 particle addition on the expansion, structure and mechanical properties of PM Al foams. Scr. Mater. 2004, 50, 115–119. [Google Scholar] [CrossRef]
- Heim, K.; García-Moreno, F.; Banhart, J. Particle size and fraction required to stabilise aluminium alloy foams created by gas injection. Scr. Mater. 2018, 153, 54–58. [Google Scholar] [CrossRef]
- Atturan, U.; Nandam, S. Processing and characterization of in-situ TiB2 stabilized closed cell aluminium alloy composite foams. Mater. Des. 2016, 101, 245–253. [Google Scholar] [CrossRef]
- Atturan, U.; Nandam, S. Deformation behavior of in-situ TiB2 reinforced A357 aluminum alloy composite foams under compressive and impact loading. Mater. Sci. Eng. A 2017, 684, 178–185. [Google Scholar] [CrossRef]
- Mozammil, S.; Karloopi, J.; Verma, R.; Jha, P.K. Effect of varying TiB2 reinforcement and its ageing behaviour on tensile and hardness properties of in-situ Al-4.5%Cu-xTiB2 composite. J. Alloy. Compd. 2019, 793, 454–466. [Google Scholar] [CrossRef]
- Mandal, A.; Matiti, R.; Chakraborty, M.; Murty, B.S. Effect of TiB2 particles on aging response of Al-4Cu alloy. Mater. Sci. Eng. A 2004, 386, 296–300. [Google Scholar] [CrossRef]
- Cao, Z.; Li, M.; Yu, Y.; Luo, H. Fabrication of Aluminum Foams with Fine Cell Structure under Increased Pressure. Adv. Eng. Mater. 2016, 18, 1022–1026. [Google Scholar] [CrossRef]
- Vinod Kumar, G.S.; García-Moreno, F.; Babcsán, N.; Brothers, A.H.; Murty, B.S.; Banhart, J. Study on aluminum-based single films. Phys. Chem. Chem. Phys. 2007, 9, 6415–6425. [Google Scholar] [CrossRef]
- Banhart, J. Metal foams: Production and stability. Adv. Eng. Mater. 2006, 8, 781–794. [Google Scholar] [CrossRef]
- Körner, C. Foam formation mechanisms in particle suspensions applied to metal foams. Mater. Sci. Eng. A 2008, 4495, 227–235. [Google Scholar] [CrossRef]
- Körner, C.; Arnold, M.; Singer, R.F. Metal foam stabilization by oxide network particles. Mater. Sci. Eng. A 2005, 396, 28–40. [Google Scholar] [CrossRef]
- García-Moreno, F.; Babcsán, N.; Banhart, J. X-ray radioscopy of liquid metal foams: Influence of heating profile, atmosphere and pressure. Colloid Surf. A 2005, 263, 290–294. [Google Scholar] [CrossRef]
- Simancik, F.; Behulova, K.; Bors, L. Effect of Ambient Atmosphere on the Foam Expansion. In Cellular Metals and Metal Foaming Technology: Metfoam; Banhart, J., Ashby, M.F., Fleck, N.A., Eds.; MIT Publishing: Bremen, Germany, 2001; pp. 89–92. [Google Scholar]
- Kolluri, M.; Karthikeyan, S.; Ramamurty, U. Effect of lateral constraint on the mechanical properties of a closed-cell Al Foam: I. Experiments. Metall. Mater. Trans. A 2007, 38, 2006–2013. [Google Scholar] [CrossRef]
- Gibson, L.; Ashby, M. Cellular Solids Structure and Properties, 2nd ed.; Cambridge University Press: Cambridge, UK, 1997; pp. 192–193. [Google Scholar]
- Benouali, A.; Froyen, L. Investigation on the influence of cell shape anisotropy on the mechanical performance of closed cell aluminum foams using micro-computed tomography. J. Mater. Sci. 2005, 40, 5801–5811. [Google Scholar] [CrossRef]
- Baumeister, J.; Banhart, J.; Weber, M. Aluminium Foam for Transport Industry. Mater. Des. 1997, 18, 217–220. [Google Scholar] [CrossRef]
- Lehmhus, D.; Busse, M. Mechanical performance of structurally optimized AlSi7 aluminum foams—An experimental study. Mater. Werkst. 2014, 45, 1061–1071. [Google Scholar] [CrossRef]
- Huang, L.; Wang, H.; Yang, D.H.; Yeb, F.; Wang, S.Q.; Lu, Z.P. Effects of calcium on mechanical properties of cellular Al–Cu foams. Mater. Sci. Eng. A 2014, 618, 471–478. [Google Scholar] [CrossRef]
- Simone, A.; Gibson, L. Effects of solid distribution on the stiffness and strength of aluminum foams. Acta Mater. 1998, 46, 2139–2150. [Google Scholar] [CrossRef]
- Banhart, J. Manufacture, characterization and application of cellular metals and metal foam. Prog. Mater. Sci. 2001, 46, 559–632. [Google Scholar] [CrossRef]
- Simone, A.; Gibson, L. The effects of cell wall curvature and corrugations on the stiffness and strength of metallic foams. Acta Mater. 1998, 46, 3929–3935. [Google Scholar] [CrossRef]
- Ramamurty, U.; Paul, A. Variability in mechanical properties of a metal foam. Acta Mater. 2004, 52, 869–876. [Google Scholar] [CrossRef]
- Mukherjee, M.; Ramamurty, U.; García-Moreno, F.; Banhart, J. The effect of cooling rate on the structure and properties of closed-cell aluminium foams. Acta Mater. 2010, 58, 5031–5042. [Google Scholar] [CrossRef]
- Weaire, D.; Hutzler, S. The Physics of Foams, 1st ed.; Oxford University Press: Oxford, UK, 1999; pp. 6–8. [Google Scholar]
- Ashby, M.F.; Evans, A.G.; Fleck, N.A.; Gibson, L.J.; Hutchinson, J.W.; Wadley, H.N.G. Metal. Foams: A Design Guide, 1st ed.; Butterworth-Heinemann: Oxford, UK, 2000; pp. 150–169. [Google Scholar]
- Song, H.W.; He, Q.J.; Xie, J.X.; Tobota, A. Fracture mechanisms and size effects of brittle metallic foams: In situ compression tests inside SEM. Compos. Sci. Technol. 2008, 68, 2441–2450. [Google Scholar] [CrossRef]










| Elements | Ti | B | Si | Fe | V | Al |
|---|---|---|---|---|---|---|
| Weight % | 6.985 | 3.217 | 0.085 | 0.154 | 0.006 | Bal. |
| Foam Specimen | Applied Pressure MPa | ρ* gcm−3 | dm mm | tm µm | Cm |
|---|---|---|---|---|---|
| Al-4.5Cu | 0.1 | 0.43 ± 0.02 | 2.9 | 52.1 | 0.87 |
| Al-4.5Cu-5TiB2 | 0.1 | 0.44 ± 0.03 | 4.6 | 78.9 | 0.89 |
| Al-4.5Cu-9TiB2 | 0.1 | 0.46 ± 0.04 | 6.7 | 126.8 | 0.85 |
| Al-4.5Cu | 0.24 | 0.58 ± 0.03 | 1.8 | 99.6 | 0.89 |
| Al-4.5Cu-5TiB2 | 0.24 | 0.62 ± 0.02 | 2.3 | 119.6 | 0.92 |
| Al-4.5Cu-9TiB2 | 0.24 | 0.64 ± 0.02 | 2.8 | 162.8 | 0.95 |
| Foam Specimen | Applied Pressure MPa | ρ* gcm−3 | σ* MPa | Δσ MPa | Δσ/σ* % | σpl MPa |
|---|---|---|---|---|---|---|
| Al-4.5Cu | 0.1 | 0.43 | 5.8 | 1.2 | 20.7 | 5.8 |
| Al-4.5Cu-5TiB2 | 0.1 | 0.43 | 6.3 | 1.9 | 30.0 | 5.7 |
| Al-4.5Cu-9TiB2 | 0.1 | 0.43 | 7.4 | 3.5 | 47.3 | 5.7 |
| Al-4.5Cu | 0.24 | 0.61 | 9.9 | 2.3 | 23.2 | 8.9 |
| Al-4.5Cu-5TiB2 | 0.24 | 0.61 | 12.0 | 3.4 | 36.7 | 9.8 |
| Al-4.5Cu-9TiB2 | 0.24 | 0.62 | 13.8 | 6.2 | 45.0 | 10.0 |
Publisher’s Note: MDPI stays neutral with regard to jurisdictional claims in published maps and institutional affiliations. |
© 2021 by the authors. Licensee MDPI, Basel, Switzerland. This article is an open access article distributed under the terms and conditions of the Creative Commons Attribution (CC BY) license (https://creativecommons.org/licenses/by/4.0/).
Share and Cite
Niu, Z.; An, Z.; Jiang, Z.; Cao, Z.; Yu, Y. Influences of Increased Pressure Foaming on the Cellular Structure and Compressive Properties of In Situ Al-4.5%Cu-xTiB2 Composite Foams with Different Particle Fraction. Materials 2021, 14, 2612. https://doi.org/10.3390/ma14102612
Niu Z, An Z, Jiang Z, Cao Z, Yu Y. Influences of Increased Pressure Foaming on the Cellular Structure and Compressive Properties of In Situ Al-4.5%Cu-xTiB2 Composite Foams with Different Particle Fraction. Materials. 2021; 14(10):2612. https://doi.org/10.3390/ma14102612
Chicago/Turabian StyleNiu, Zhengyi, Zhentao An, Zhibao Jiang, Zhuokun Cao, and Yang Yu. 2021. "Influences of Increased Pressure Foaming on the Cellular Structure and Compressive Properties of In Situ Al-4.5%Cu-xTiB2 Composite Foams with Different Particle Fraction" Materials 14, no. 10: 2612. https://doi.org/10.3390/ma14102612
APA StyleNiu, Z., An, Z., Jiang, Z., Cao, Z., & Yu, Y. (2021). Influences of Increased Pressure Foaming on the Cellular Structure and Compressive Properties of In Situ Al-4.5%Cu-xTiB2 Composite Foams with Different Particle Fraction. Materials, 14(10), 2612. https://doi.org/10.3390/ma14102612
