Optimized Microstructure and Improved Magnetic Properties of Pr-Dy-Al-Ga Diffused Sintered Nd-Fe-B Magnets
Abstract
1. Introduction
2. Materials and Methods
3. Results and Discussion
4. Conclusions
- (1)
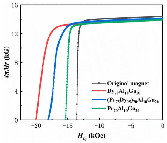
- The coercivity of the Pr70Al10Ga20, Dy70Al10Ga20 and (Pr75Dy25)70Al10Ga20 alloys diffused Nd-Fe-B magnets increased from 13.58 kOe to 15.34 kOe and 20.10 kOe and 18.11 kOe, respectively, while the remanence is only slightly decreased.
- (2)
- The thermal stability of the diffused magnets improves by diffusing Dy70Al10Ga20 and (Pr75Dy25)70Al10Ga20 alloys. The β increased from −0.5341 %/K for the original magnets to −0.4609 %/K and −0.4939 %/K for the Dy70Al10Ga20 and (Pr75Dy25)70Al10Ga20 diffused magnets, respectively.
- (3)
- The optimized GB microstructure and (Dy, Pr/Nd)2Fe14B core-shell structure hardening around the main grains isolate the 2:14:1 phases, which are the main reasons for the great improvement of coercivity in the diffused magnets.
- (4)
- The decreased surface Dy enrichment and the optimized grain boundary microstructure lead to the smaller opening of the recoil loops by diffusing the (Pr75Dy25)70Al10Ga20 alloy. This indicates that the diffused magnet has a stronger capability for demagnetization.
Supplementary Materials
Author Contributions
Funding
Institutional Review Board Statement
Informed Consent Statement
Data Availability Statement
Conflicts of Interest
References
- Bhuiyan, N.A.; McDonald, A. Optimization of offshore direct drive wind turbine generators with consideration of permanent magnet grade and temperature. IEEE Trans. Energy Convers. 2019, 34, 1105–1114. [Google Scholar] [CrossRef]
- Chen, F.G. Recent progress of grain boundary diffusion process of Nd-Fe-B magnets. J. Magn. Magn. Mater. 2020, 514, 167227. [Google Scholar] [CrossRef]
- Bai, G.; Gao, R.W.; Sun, Y.; Han, G.B.; Wang, B. Study of high-coercivity sintered NdFeB magnets. J. Magn. Magn. Mater. 2007, 308, 20–23. [Google Scholar] [CrossRef]
- Hono, K.; Sepehri-Amin, H. Strategy for high-coercivity Nd-Fe-B magnets. Scr. Mater. 2012, 67, 530–535. [Google Scholar] [CrossRef]
- Zhong, S.W.; Yang, M.N.; Rehman, S.U.; Lu, Y.J.; Li, J.J.; Yang, B. Microstructure, magnetic properties and diffusion mechanism of DyMg co-deposited sintered Nd-Fe-B magnets. J. Alloys Compd. 2020, 819, 153002. [Google Scholar] [CrossRef]
- Soderznik, M.; Korent, M.; Soderznik, K.Z.; Katter, M.; Üstüner, K.; Kobe, S. High-coercivity Nd-Fe-B magnets obtained with the electrophoretic deposition of submicron TbF3 followed by the grain-boundary diffusion process. Acta Mater. 2016, 115, 278–284. [Google Scholar] [CrossRef]
- Loewe, K.; Benke, D.; Kubei, C.; Lienig, T.; Skokov, K.P.; Gutfleisch, O. Grain boundary diffusion of different rare earth elements in Nd-Fe-B sintered magnets by experiment and FEM simulation. Acta Mater. 2017, 124, 421–429. [Google Scholar] [CrossRef]
- Liu, Q.B.; Tang, X.; Chen, R.J.; Wang, Z.X.; Ju, J.Y.; Yin, W.Z.; Yan, A.R.; Xu, H. Effect of Tb-Fe diffusion on magnetic properties and thermal stability of hot-deformed magnets. J. Alloys Compd. 2019, 773, 1108–1113. [Google Scholar] [CrossRef]
- Park, K.T.; Hiraga, K.; Sagawa, M. Effect of metal-coating and consecutive heat treatment on coercivity of thin Nd-Fe-B sintered magnets, Rare Earths Magnets. Int. Workshop Rare Earth Magn. Appl. 2000. [Google Scholar]
- Tang, X.T.; Lu, Z.W.; Sun, A.Z. The effect of sintered Nd-Fe-B with Dy infiltration to the plating crafts. J. Magn. Magn. Mater. 2019, 475, 10–13. [Google Scholar] [CrossRef]
- Itakura, M.; Namura, M.; Nishida, M.; Nakamura, H. Elemental Distribution near the Grain Boundary in a Nd-Fe-B Sintered Magnet Subjected to Grain-Boundary Diffusion with Dy2O3. Mater. Trans. 2020, 61, 438–443. [Google Scholar] [CrossRef]
- Xu, F.; Wang, J.; Dong, X.; Zhang, L.; Wu, J. Grain boundary microstructure in DyF3-diffusion processed Nd-Fe-B sintered magnets. J. Alloy Compd. 2011, 509, 7909–7914. [Google Scholar] [CrossRef]
- Bae, K.H.; Lee, S.R.; Kim, H.J.; Lee, M.W.; Jang, T.S. Effect of oxygen content of Nd-Fe-B sintered magnet on grain boundary diffusion process of DyH2 dip-coating. J. Appl. Phys. 2015, 118, 297. [Google Scholar] [CrossRef]
- Lu, K.; Bao, X.; Tang, M.; Sun, L.; Li, J.; Gao, X. Influence of annealing on microstructural and magnetic properties of Nd-Fe-B magnets by grain boundary diffusion with Pr-Cu and Dy-Cu alloys. J. Magn. Magn. Mater. 2017, 441, 517–522. [Google Scholar] [CrossRef]
- Cao, X.J.; Chen, L.; Guo, S.; Chen, R.J.; Yan, G.L.; Yan, A.R. Impact of TbF3 diffusion on coercivity and microstructure in sintered Nd-Fe-B magnets by electrophoretic deposition. Scr. Mater. 2016, 116, 40–43. [Google Scholar] [CrossRef]
- Di, J.H.; Ding, G.F.; Tang, X.; Yang, X.; Guo, S.; Chen, R.J.; Yan, A.R. Highly efficient Tb-utilization in sintered Nd-Fe-B magnets by Al aided TbH2 grain boundary diffusion. Scr. Mater. 2018, 155, 50–53. [Google Scholar] [CrossRef]
- Lu, K.C.; Bao, X.Q.; Zhou, Y.S.; Lv, X.K.; Ding, Y.; Zhang, M.; Wang, C.G.; Gao, X.X. Effect of Al/Cu on the magnetic properties and microstructure of Nd-Fe-B sintered magnet by diffusing Pr-Tb-(Cu, Al) alloys. J. Magn. Magn. Mater. 2020, 500, 166384. [Google Scholar] [CrossRef]
- Sasaki, T.T.; Takad, Y.; Okazaki, H.; Ohkubo, T.; Nakamura, T.; Sato, T.; Kato, A.; Kaneko, Y.; Hono, K. Role of Ga on the high coercivity of Nd-rich Ga-doped Nd-Fe-B sintered magnet. J. Alloy Compd. 2019, 790, 750–759. [Google Scholar] [CrossRef]
- Lu, K.C.; Bao, X.Q.; Tang, M.H.; Chen, G.X.; Mu, X.; Li, J.H.; Gao, X.X. Boundary optimization and coercivity enhancement of high (BH)max Nd-Fe-B magnet by diffusing Pr-Tb-Cu-Al alloys. Scr. Mater. 2017, 138, 83–87. [Google Scholar] [CrossRef]
- Yan, X.T.; Hou, Y.H.; Shi, Z.Q.; Nie, H.X.; Zhou, Y.X.; Huang, Y.L.; Lou, J.M.; Chen, W.; Pang, Z.S.; Mao, H.Y.; et al. Enhanced magnetic properties and improving thermal stability for sintered Nd-Fe-B magnets prepared by two-step grain boundary diffusion processes. J. Magn. Magn. Mater. 2019, 491, 165541. [Google Scholar] [CrossRef]
- Hu, X.J.; Jiang, Q.Z.; Zhong, M.L.; Sajjad, U.R.; Zhong, Z.C.; Li, M.F.; Liu, R.H. Magnetic properties, thermal stabilities and microstructures of melt-spun Misch-Metal-Fe-B alloys. Phys. B Condens. Matter 2019, 567, 118–121. [Google Scholar] [CrossRef]
- Li, J.J.; Guo, C.J.; Zhou, T.J.; Qi, Z.Q.; Yu, X.; Yang, B.; Zhu, M.G. Effects of diffusing DyZn film on magnetic properties and thermal stability of sintered NdFeB magnets. J. Magn. Magn. Mater. 2018, 454, 215–220. [Google Scholar] [CrossRef]
- Wang, Z.X.; Zhang, J.J.; Wang, J.Z.; Ju, J.Y.; Chen, R.J.; Tang, X.; Yin, W.Z.; Lee, D.; Yan, A.R. Coercivity improvement of hot-deformed Nd-Fe-B magnets by stress-induced Pr-Cu eutectic diffusion. Acta Mater. 2018, 156, 136–145. [Google Scholar] [CrossRef]
- Sepehri-Amin, H.; Ohkubo, T.; Hono, K. The mechanism of coercivity enhancement by the grain boundary diffusion process of Nd-Fe-B sintered magnets. Acta Mater. 2013, 61, 1982–1990. [Google Scholar] [CrossRef]
- Seelam, U.M.R.; Ohkubo, T.; Abe, T.; Hirosawa, S.; Hono, K. Faceted shell structure in grain boundary diffusion-processed sintered Nd–Fe–B magnets. J. Alloy Compd. 2014, 617, 884–892. [Google Scholar] [CrossRef]
- Zhang, Y.; Ma, T.; Liu, X.; Liu, P.; Jin, J.; Zou, J.; Yan, M. Coercivity enhancement of Nd-Fe-B sintered magnets with intergranular adding (Pr, Dy, Cu)-Hx powders. J. Magn. Magn. Mater. 2016, 399, 159–163. [Google Scholar] [CrossRef]
- Ikram, A.; Mehmood, M.F.; Samardžija, Z.; Sheridan, R.; Awais, M.; Walton, A.; Šturm, S.; Kobe, S.; Rožman, K.Z. Coercivity Increase of the Recycled HDDR Nd-Fe-B Powders Doped with DyF3 and Processed via Spark Plasma Sintering & the Effect of Thermal Treatments. Materials 2019, 12, 1498. [Google Scholar]
- Cho, Y.; Sasaki, T.; Harada, K.; Sato, A.; Tamaoka, T.; Shindo, D.; Ohkubo, T.; Hono, K.; Murakami, Y. Magnetic flux density measurements from grain boundary phase in 0.1 at% Ga-doped Nd-Fe-B sintered magnet. Scr. Mater. 2020, 178, 533–538. [Google Scholar] [CrossRef]
- Lu, Y.J.; Zhong, S.W.; Yang, M.N.; Wang, C.M.; Yang, L.Y.M.; Li, L.G.; Yang, B. Nd-Fe-B Magnets: The Gradient Change of Microstructures and the Diffusion Principle after Grain Boundary Diffusion Process. Materials 2019, 12, 3881. [Google Scholar] [CrossRef]










Publisher’s Note: MDPI stays neutral with regard to jurisdictional claims in published maps and institutional affiliations. |
© 2021 by the authors. Licensee MDPI, Basel, Switzerland. This article is an open access article distributed under the terms and conditions of the Creative Commons Attribution (CC BY) license (https://creativecommons.org/licenses/by/4.0/).
Share and Cite
Qu, P.; Li, F.; Rehman, S.U.; He, L.; Yu, X.; Huang, Q.; Yang, M.; Li, J. Optimized Microstructure and Improved Magnetic Properties of Pr-Dy-Al-Ga Diffused Sintered Nd-Fe-B Magnets. Materials 2021, 14, 2583. https://doi.org/10.3390/ma14102583
Qu P, Li F, Rehman SU, He L, Yu X, Huang Q, Yang M, Li J. Optimized Microstructure and Improved Magnetic Properties of Pr-Dy-Al-Ga Diffused Sintered Nd-Fe-B Magnets. Materials. 2021; 14(10):2583. https://doi.org/10.3390/ma14102583
Chicago/Turabian StyleQu, Pengpeng, Feifei Li, Sajjad Ur Rehman, Lei He, Xiaoqiang Yu, Qingfang Huang, Munan Yang, and Jiajie Li. 2021. "Optimized Microstructure and Improved Magnetic Properties of Pr-Dy-Al-Ga Diffused Sintered Nd-Fe-B Magnets" Materials 14, no. 10: 2583. https://doi.org/10.3390/ma14102583
APA StyleQu, P., Li, F., Rehman, S. U., He, L., Yu, X., Huang, Q., Yang, M., & Li, J. (2021). Optimized Microstructure and Improved Magnetic Properties of Pr-Dy-Al-Ga Diffused Sintered Nd-Fe-B Magnets. Materials, 14(10), 2583. https://doi.org/10.3390/ma14102583

