Determination of Optimal Flat-End Head Geometries for Pressure Vessels Based on Numerical and Experimental Approaches
Abstract
1. Introduction
2. Materials and Methods
2.1. Vessels with Flat Ends
2.2. Experimental Tests of Pressure Vessels
2.3. Numerical Analyses of Flat Ends
3. Results
3.1. Experimental Tests of Pressure Vessel
3.1.1. Numerical vs. Experiments—General Remarks
3.1.2. Numerical vs. Experiments—Optimal Stress Relief Groove
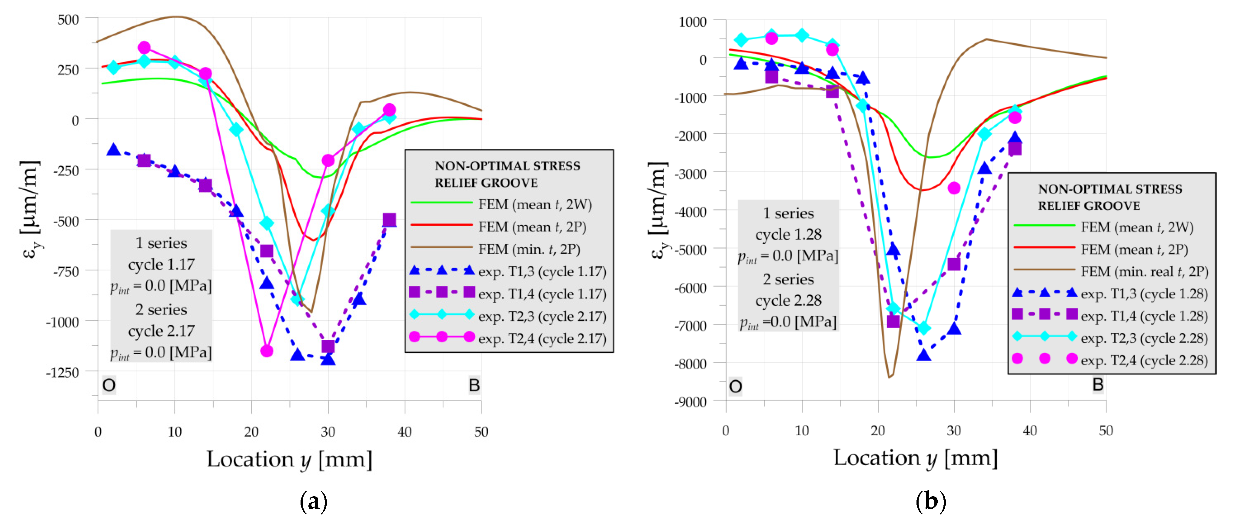
3.1.3. Numerical vs. Experiments—Non-Optimal Stress Relief Groove
3.1.4. Numerical Study of Plastic Strain Development
3.2. Numerical Analyses of Different Flat Ends
- The pure elastic material model is assumed;
- The operating pressure pc = 18.6335 MPa is calculated for nominal mechanical properties of the 16Mo3 steel (ReH = 270 MPa—Table A2);
- The nominal dimensions of the pipe are assumed as Ø406.4 × 20 mm.
3.2.1. Bottom Type “a”
3.2.2. Bottom Type “b”
3.2.3. Bottom Type “c”, “d” and “g”
3.2.4. Bottom Type “e”
3.2.5. Bottom Type “f”
3.2.6. Proposed Head with Elliptical SRG
3.2.7. Bottom Type “h”
- h = 50 mm, rik = 6 mm, rout = 10 mm, σeqv,max = 433.8 MPa (λ = 2.44),
- h = 50 mm, rik = 25 mm, rout = 10 mm, σeqv,max = 259.3 MPa (λ = 1.44).
3.2.8. Numerical Studies of Vessel with Moderate Thickness
3.2.9. Summary of Numerical Study
4. Discussion
5. Conclusions
- The flat-ends with SRG are the most optimal. The proposed elliptical shapes for SRG appeared to be even more effective than the circular one,
- The performed numerical tests exemplified the high differences in results for pairs (rik, eh1) taken from the admissible area for both circular and elliptical SRG studied,
- The comparison of experimental tests with the numerical study confirms the proper selection of the optimal shape of the SRG for the bottom type “e”,
- For the pipe with a higher value of the wall thickness (i.e., 40 mm) and with the SRG of circular shape, the optimal configuration is reached for rik beyond the admissible range,
- The residual welding stresses have a significant influence on the stress and strain level. Such effect is stronger in optimal SRG due to the vicinity of the stress concentration area to the weld zone,
- The slight differences in geometry (due to the tolerances) may lead to a significant increase of stresses and deformations particularly in the case of non-optimal SRG.
Author Contributions
Funding
Institutional Review Board Statement
Informed Consent Statement
Data Availability Statement
Conflicts of Interest
Appendix A. Experimental Tensile Tests
| Material | C | Mn | Si | P | S | Cr | Ni | Cu | Mo | Al | N | Sn | |
|---|---|---|---|---|---|---|---|---|---|---|---|---|---|
| Tested material 16Mo3 (set 1) | 0.15 | 0.57 | 0.24 | 0.014 | 0.002 | 0.09 | 0.08 | 0.20 | 0.27 | 0.028 | 0.009 | 0.012 | |
| 16Mo3 (standards [37]) | Min | 0.12 | 0.40 | − | − | − | − | − | − | 0.25 | |||
| max | 0.20 | 0.90 | 0.35 | 0.025 | 0.010 | 0.30 | 0.30 | 0.30 | 0.35 | 0.012 | |||
| Set No. | Material 1, Location of Sample, Direction of Sample | ReH MPa | Rm MPa | A5 % | Z % | |
|---|---|---|---|---|---|---|
| 1a | 16Mo3 + N, flat end, longitudinal 2 | 299.3 (8.59) | 441.6 (8.77) | 36.8 (1.45) | 74.9 (0.49) | |
| 1b | 16Mo3 + N, flat end, transversal 2 |
284.2 (6.55) |
449.1 (3.95) |
33.6 (1.63) |
72.3 (0.82) | |
| 2a | 16Mo3 + N, pipe, longitudinal 2 |
309.1 (1.21) |
515.9 (1.68) |
29.0 (1.41) | 60.8 (1.61) | |
| 2b | 16Mo3 + N, pipe, transversal 2 | 317.3 (4.19) | 518.4 (0.79) | 28.0 (0.82) | 61.2 (1.72) | |
| 3 | 16Mo3 + N, welded joint, transversal 2 | 384.7 (3.59) | 537.3 (2.21) | 18.4 (1.13) | 60.2 (2.10) | |
| 4 | 16Mo3 + QT | 382 | 452 | 35.0 | 72.9 | |
| 5 | 16Mo3 + N (standards [37]) 3 | Min | 270 | 440 | 22 | |
| max | 590 | |||||


Appendix B. Measurements of Cylindrical Pipe


| Cross-Section Number | 1 | 2 | 3 | 4 | 5 | 6 | 7 | 8 | 9 | 10 | 11 |
|---|---|---|---|---|---|---|---|---|---|---|---|
| Min thickness (mm) | 21.5 | 21.6 | 22.4 | 21.2 | 21.1 | 20.9 | 20.9 | 20.9 | 20.9 | 20.8 | 20.6 |
| Max thickness (mm) | 22.8 | 22.7 | 22.9 | 22.8 | 22.9 | 23.0 | 23.1 | 22.9 | 22.6 | 22.6 | 22.8 |
| Mean thickness (mm) | 22.0 | 22.0 | 22.0 | 21.9 | 21.9 | 21.8 | 21.8 | 21.8 | 21.7 | 21.6 | 21.7 |
Appendix C. Measurements of Internal Pressure

| Measurement Number | 1 | 3 | 7 | 17 | 18 | 22 | 28 |
|---|---|---|---|---|---|---|---|
| pint_circ [MPa] | 0 | 0.14 | 1.67 | 3.14 | 0 | 3.16 | 4.11 |
| pint_long [MPa] | 0 | −0.14 | 0.27 | 0.29 | 0 | 0 | −0.59 |
| pint_avg [MPa] | 0 | 0 | 0.97 | 1.72 | 0 | 1.56 | 1.76 |
| Applied pressure [MPa] | 0 | 0 | 0 | 0 | 0 | 0 | 0 |
Appendix D. Verification of Experimental Tests




References
- Magnucki, L.; Szyc, W.; Lewinski, L. Minimization of stress concentration factor in cylindrical pressure vessels with ellipsoidal heads. Int. J. Press. Vessel. Pip. 2002, 79, 841–846. [Google Scholar] [CrossRef]
- Błachut, J.; Magnucki, K. Strength, Stability, and Optimization of Pressure Vessels: Review of Selected Problems. Appl. Mech. Rev. 2008, 61, 1–33. [Google Scholar] [CrossRef]
- Carbonari, R.C.; Munoz-Rojas, P.A.; Andrade, E.Q.; Paulino, G.H.; Nishimoto, K.; Silva, E.C.N. Design of pressure vessels using shape optimization: An integrated approach. Int. J. Press. Vessel. Pip. 2011, 88, 198–212. [Google Scholar] [CrossRef]
- Pietraszkiewicz, W.; Konopińska, V. Junctions in shell structures: A review. Thin Walled Struct. 2015, 95, 310–334. [Google Scholar] [CrossRef]
- Gaddam, S.R. Design of Pressure Vessels, 1st ed.; CRC Press: Boca Raton, MA, USA, 2020. [Google Scholar] [CrossRef]
- European Standard. EN 12952-3:2001. Water-Tube Boilers and Auxiliary Installations. Design and Calculation of Pressure Parts; European Committee for Standardization: Brussels, Belgium, 2001. [Google Scholar]
- European Standard. EN 13445-3. Unfired Pressure Vessels—Part 3: Design; European Committee for Standardization: Brussels, Belgium, 2002. [Google Scholar]
- Magnucki, K.; Lewiński, J. Fully stressed head of a pressure vessel. Thin Walled Struct. 2000, 38, 167–178. [Google Scholar] [CrossRef]
- Szybiński, B.; Romanowicz, P.J. Optimization of Flat Ends in Pressure Vessels. Materials 2019, 12, 4194. [Google Scholar] [CrossRef] [PubMed]
- Muscat, M.; Camilleri, D. Comparison between different design approaches to prevent buckling of torispherical heads under internal pressure. Int. J. Press. Vessel. Pip. 2013, 108, 61–66. [Google Scholar] [CrossRef]
- Krużelecki, J.; Proszowski, R. Shape optimization of thin-walled pressure vessel end closures. Struct. Multidisc. Optim. 2012, 46, 739–754. [Google Scholar] [CrossRef]
- Mackenzie, D.; Camilleri, D.; Hamilton, R. Design by analysis of ductile failure and buckling in torispherical pressure vessel heads. Thin Walled Struct. 2008, 46, 963–974. [Google Scholar] [CrossRef][Green Version]
- Khobragade, R.P.; Gandhe, R.R. Design & Analysis of Pressure Vessel with Hemispherical & Flat Circular End. Int. J. Innov. Res. Sci. Technol. 2017, 4, 62–84. [Google Scholar]
- Fessler, H.; Thorpe, T.E. Stresses in cylindrical pressure vessels with end closures freely formed by internal pressure. J. Strain Anal. 1970, 5, 75–87. [Google Scholar] [CrossRef]
- Szybiński, B.; Wróblewski, A. Parametric optimization of stress relieve groove shape in flat ends of boilers. J. Strain Anal. Eng. Des. 2012, 47, 55–63. [Google Scholar] [CrossRef]
- Szybiński, B.; Romanowicz, P. Numerical analysis and optimization of flat ends parameters in pressure vessels with rectangular shape. Appl. Mech. Mater. 2014, 621, 107–112. [Google Scholar] [CrossRef]
- Szybiński, B.; Romanowicz, P.; Zieliński, A.P. Numerical and experimental analysis of stress and strains in flat ends of high-pressure vessels. Key Eng. Mater. 2011, 490, 226–236. [Google Scholar] [CrossRef]
- Szybiński, B. Design of flat ends in pressure boilers with circular and elliptical stress relieve grooves. Appl. Mech. Mater. 2014, 477–478, 49–53. [Google Scholar] [CrossRef]
- Preiss, R. Stress concentration factors of flat end to cylindrical shell connection with a fillet or stress relieve groove subject to internal pressure. Int. J. Press. Vessel Pip. 1997, 73, 183–190. [Google Scholar] [CrossRef]
- Preiss, R.; Rauscher, F.; Vazda, D.; Zeman, J.L. The flat end to cylindrical shell connection—Limit load and creep design. Int. J. Press. Vessel Pip. 1998, 75, 715–726. [Google Scholar] [CrossRef]
- Vilhelmsen, T. Reference stress solutions of flat end to cylindrical shell connection and comparison with design stresses predicted by codes. Int. J. Press. Vessel Pip. 2000, 77, 35–39. [Google Scholar] [CrossRef]
- Lewiński, J. Equivalent stress in a pressure vessel head with a nozzle. J. Theor. Appl. Mech. 2014, 52, 1007–1018. [Google Scholar] [CrossRef][Green Version]
- Giglio, M. Fatigue analysis of different types of pressure vessel nozzle. Int. J. Press. Vessel. Pip. 2003, 80, 1–8. [Google Scholar] [CrossRef]
- Cruz, Y.J.; Rivas, M.; Quiza, R.; Beruvides, G.; Haber, R.E. Computer Vision System for Welding Inspection of Liquefied Petroleum Gas Pressure Vessels Based on Combined Digital Image Processing and Deep Learning Techniques. Sensors 2020, 20, 4505. [Google Scholar] [CrossRef]
- Churiaque, C.; Chludzinski, M.; Porrua-Lara, M.; Dominguez-Abecia, A.; Abad-Fraga, F.; Sánchez-Amaya, J.M. Laser Hybrid Butt Welding of Large Thickness Naval Steel. Metals 2019, 9, 100. [Google Scholar] [CrossRef]
- Ai, X.; Liu, Z.; Wu, D. Study on Improvement of Welding Technology and Toughening Mechanism of Zr on Weld Metal of Q960 Steel. Materials 2020, 13, 892. [Google Scholar] [CrossRef]
- Szybiński, B.; Romanowicz, P. Review of estimation of failure resistance of cylindrical pressure vessels with internal cracks. In Shell Structures: Theory and Applications Volume 4—Proceedings of the 11th International Conference “Shell Structures: Theory and Applications” (SSTA 2017), 1st ed.; Pietraszkiewicz, W., Witkowski, W., Eds.; CRC Press/Balkema: Leiden, The Netherlands, 2018; pp. 169–172. [Google Scholar]
- Lüdenbach, G. Damage Results at Flat Header Endcaps of Headers and High-pressure Resulting Testing Measures. VGB Powertech. J. 2004, 7, 52–59. [Google Scholar]
- Romanowicz, P.J.; Szybiński, B.; Wygoda, M. Application of DIC Method in the Analysis of Stress Concentration and Plastic Zone Development Problems. Materials 2020, 13, 3460. [Google Scholar] [CrossRef] [PubMed]
- Barski, M.; Kędziora, P.; Muc, A.; Romanowicz, P. Structural health monitoring (SHM) methods in machine design and operation. Arch. Mech. Eng. 2014, 61, 653–677. [Google Scholar] [CrossRef]
- Fu, J.; Yin, S.; Cui, Z.; Kundu, T. Experimental Research on Rapid Localization of Acoustic Source in a Cylindrical Shell Structure without Knowledge of the Velocity Profile. Sensors 2021, 21, 511. [Google Scholar] [CrossRef]
- Neubeck, R.; Stephan, M.; Gaul, T.; Weihnacht, B.; Schubert, L.; Bindingsbø, A.U.; Østvik, J.-M. Estimation of the Filling Distribution and Height Levels Inside an Insulated Pressure Vessel by Guided Elastic Wave Attenuation Tomography. Sensors 2021, 21, 179. [Google Scholar] [CrossRef]
- Islam, M.; Sohaib, M.; Kim, J.; Kim, J.-M. Crack Classification of a Pressure Vessel Using Feature Selection and Deep Learning Methods. Sensors 2018, 18, 4379. [Google Scholar] [CrossRef]
- Pedersen, N.L.; Pedersen, P. Design of notches and grooves by means of elliptic shapes. J. Strain Anal. Eng. Des. 2008, 43, 1–14. [Google Scholar] [CrossRef]
- ANSYS, Ver.12.1 Academic Research; ANSYS Inc.: Canonsburg, PA, USA, 2009.
- EN-ISO 1127:1996. Stainless Steel Tubes—Dimensions, Tolerances and Conventional Masses Per Unit Length; European Committee for Standardization: Brussels, Belgium, 1996. [Google Scholar]
- EN 10028-2:2017. Flat Products Made of Steels for Pressure Purposes—Part 2: Non-Alloy and Alloy Steels with Specified Elevated Temperature Properties; European Committee for Standardization: Brussels, Belgium, 2017. [Google Scholar]
- EN 10002-1:2001. Metallic Materials—Tensile Testing—Part 1: Method of Test at Ambient Temperature; European Committee for Standardization: Brussels, Belgium, 2001. [Google Scholar]
- HBM Test and Measurements. Strain Gauges from HBM. Available online: www.hbm.com (accessed on 1 March 2021).



























| Geometry | Part | es (mm) | h (mm) | rik (mm) | α (deg) | Di (mm) | Do (mm) | eh1 (mm) | eh (mm) | Remarks |
|---|---|---|---|---|---|---|---|---|---|---|
| 1 (opt.) | Head | 20.6 | 0 | 30 | 60 | 364.8 | 406 | 31.3 | 61.3 | Measured in situ (mean) |
| 1 (opt.) | Pipe | 22.0 | - | - | - | 359.9 | 403.9 | - | - | Measured in situ (mean) |
| 2 (non-opt.) | Head | 20.9 | 26.5 | 5 | 60 | 364.3 | 406 | 29.65 | 61.15 | Measured in situ (mean) |
| 2 (non-opt.) | Pipe | 21.7 | - | - | - | 359.9 | 403.3 | - | - | Measured in situ (mean) |
| 1 (opt.) | Head | 20.0 | 0 | 29.8 | 60 | 366.4 | 406.4 | 31.2 | - | Nominal dimensions [17] |
| 2 (non-opt.) | Head | 20.0 | 26.76 | 5 | 60 | 366.4 | 406.4 | 29.24 | - | Nominal dimensions [17] |
| Strain Gauge Chain | T1,1 | T1,2 | T1,3 | T1,4 | T2,1 | T2,2 | T2,3 | T2,4 |
|---|---|---|---|---|---|---|---|---|
| SGy (mm) | 36 | 36 | 23 | 23 | 39 | 39 | 23 | 23 |
| Geometry |
Characteristic Parameters | eh (mm) |
σeqv,max (MPa) | λ | eB,MIN (mm) | ξ | Remarks |
|---|---|---|---|---|---|---|---|
| “a” | rik = 6 mm, rout = 20 mm | 63.22 | 583.4 | 3.24 | 69.22 | 4.04 | Solution for minimal rik |
| rik = 30 mm, rout = 20 mm | 63.22 | 300.4 | 1.67 | 93.22 | 2.80 | There is no upper limit for rik | |
| “b” | rik = 6 mm, rout = 20 mm | 63.22 | 579.2 | 3.22 | 69.22 | 4.01 | Solution for minimal rik |
| rik = 30 mm, rout = 20 mm | 63.22 | 299.5 | 1.66 | 93.22 | 2.79 | There is no upper limit for rik | |
| “d” | ecs = 20 mm | 76.30 | 742.3 | 4.1 | 76.30 | 5.66 | Stress concentration at the root of the weld |
| “e” | rik = 5 mm | 63.22 | 593.3 | 3.30 | 63.22 | 3.75 | Optimal |
| “e” | rik = 31.61 mm | 63.22 | 388.8 | 2.16 | 63.22 | 2.46 | Non-optimal |
| “f” | rik = 5 mm | 63.22 | 637.3 | 3.54 | 63.22 | 4.03 | Point A (Figure 21 and Figure 22) |
| rik = 43.22 mm | 63.22 | 386.8 | 2.15 | 63.22 | 2.45 | Point C (Figure 21 and Figure 22) | |
| rik = 31.61 mm | 63.22 | 367.6 | 2.04 | 63.22 | 2.32 | Optimal—point D (Figure 22) | |
| elliptical SRG | b = 38.63 mm, κ = 1.88 | 63.22 | 313.0 | 1.74 | 63.22 | 1.98 | Optimal; a, b—horizontal and vertical semi-axes, κ = b/a |
| “h” | rik = 6 mm, rout = 10 mm, h = 50 mm | 63.22 | 433.8 | 2.44 | 144.83 | 6.28 | Solution for minimal rik, rout and h are arbitrarily chosen |
| rik = 25 mm, rout = 10 mm, h = 50 mm | 63.22 | 259.3 | 1.44 | 144.83 | 3.76 | There is no upper limit for rik, rout and h are arbitrarily chosen | |
| rik = 70 mm, rout = 10 mm, h = 90 mm | 63.22 | 175.6 | 0.98 | 184.83 | 3.25 | There is no upper limit for rik, no practical case due to large h value |
Publisher’s Note: MDPI stays neutral with regard to jurisdictional claims in published maps and institutional affiliations. |
© 2021 by the authors. Licensee MDPI, Basel, Switzerland. This article is an open access article distributed under the terms and conditions of the Creative Commons Attribution (CC BY) license (https://creativecommons.org/licenses/by/4.0/).
Share and Cite
Romanowicz, P.J.; Szybiński, B. Determination of Optimal Flat-End Head Geometries for Pressure Vessels Based on Numerical and Experimental Approaches. Materials 2021, 14, 2520. https://doi.org/10.3390/ma14102520
Romanowicz PJ, Szybiński B. Determination of Optimal Flat-End Head Geometries for Pressure Vessels Based on Numerical and Experimental Approaches. Materials. 2021; 14(10):2520. https://doi.org/10.3390/ma14102520
Chicago/Turabian StyleRomanowicz, Paweł J., and Bogdan Szybiński. 2021. "Determination of Optimal Flat-End Head Geometries for Pressure Vessels Based on Numerical and Experimental Approaches" Materials 14, no. 10: 2520. https://doi.org/10.3390/ma14102520
APA StyleRomanowicz, P. J., & Szybiński, B. (2021). Determination of Optimal Flat-End Head Geometries for Pressure Vessels Based on Numerical and Experimental Approaches. Materials, 14(10), 2520. https://doi.org/10.3390/ma14102520

