Fly Ash Coated with Magnetic Materials: Improved Adsorbent for Cu (II) Removal from Wastewater
Abstract
1. Introduction
2. Materials and Methods
2.1. Materials
2.2. Adsorbent Synthesis
2.3. Adsorption Experiments
3. Results
3.1. Characterization of FA/Fe3O4 Adsorbent
3.1.1. SEM Analysis
3.1.2. EDAX Analysis
3.1.3. FTIR Analysis
3.1.4. XRD Analysis
3.1.5. BET Analysis
3.1.6. VSM Analysis
3.2. Effect of Adsorption Parameters
3.2.1. Effect of FA/Fe3O4 Dose
3.2.2. Effect of Initial Concentration
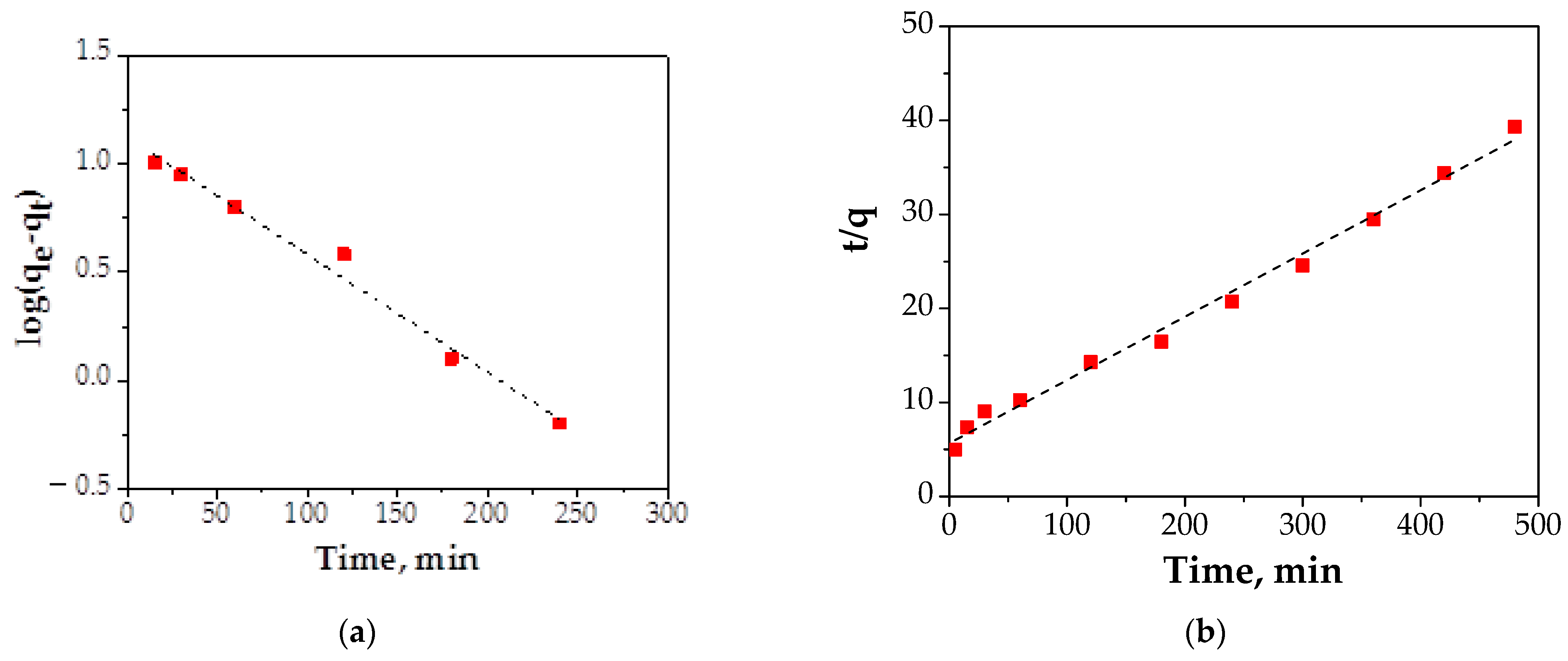
3.2.3. Effect of Contact Time
3.3. Adsorption Isotherms
4. Conclusions
Author Contributions
Funding
Institutional Review Board Statement
Informed Consent Statement
Data Availability Statement
Acknowledgments
Conflicts of Interest
References
- Mehta, D.; Mazumdar, S.; Singh, S.K. Magnetic adsorbents for the treatment of water/wastewater—A review. J. Water Process. Eng. 2015, 7, 244–265. [Google Scholar] [CrossRef]
- Yan, Y.; Liang, X.; Ma, J.; Shen, J. Rapid removal of copper from wastewater by Fe-based amorphous alloy. Intermetallics 2020, 124, 106849. [Google Scholar] [CrossRef]
- Curteanu, S.; Buema, G.; Piuleac, C.G.; Sutiman, D.M.; Harja, M. Neuro-evolutionary optimization methodology applied to the synthesis process of ash based adsorbents. J. Ind. Eng. Chem. 2014, 20, 597–604. [Google Scholar] [CrossRef]
- Taylor, A.A.; Tsuji, J.S.; Garry, M.R.; McArdle, M.E.; Goodfellow, W.L.; Adams, W.J.; Menzie, C.A. Critical review of exposure and effects: Implications for setting regulatory health criteria for ingested copper. Environ. Manag. 2020, 65, 131–159. [Google Scholar] [CrossRef]
- Royer, A.; Sharman, T. Copper Toxicity. In Stat Pearls; Stat Pearls Publishing: Treasure Island, FL, USA, 2020. [Google Scholar]
- Arbabi, M.; Golshani, N. Removal of copper ions Cu (II) from industrial wastewater: A review of removal methods. Int. J. Epidemiol. Res. 2016, 3, 283–293. [Google Scholar]
- Liu, Y.; Wang, G.; Wang, L.; Li, X.; Luo, Q.; Na, P. Zeolite P synthesis based on fly ash and its removal of Cu (II) and Ni (II) ions. Chin. J. Chem. Eng. 2019, 27, 341–348. [Google Scholar] [CrossRef]
- Vamvakidis, K.; Kostitsi, T.M.; Makridis, A.; Dendrinou-Samara, C. Diverse Surface Chemistry of Cobalt Ferrite Nanoparticles to Optimize Copper (II) Removal from Aqueous Media. Materials 2020, 13, 1537. [Google Scholar] [CrossRef]
- Al-Saydeh, S.A.; El-Naas, M.H.; Zaidi, S.J. Copper removal from industrial wastewater: A comprehensive review. J. Ind. Eng. Chem. 2017, 56, 35–44. [Google Scholar] [CrossRef]
- Benzaoui, T.; Selatnia, A.; Djabali, D. Adsorption of copper (II) ions from aqueous solution using bottom ash of expired drugs incineration. Adsorpt. Sci. Technol. 2018, 36, 114–129. [Google Scholar] [CrossRef]
- Pavan Kumar, G.V.S.R.; Malla, K.; Yerra, B.; Srinivasa Rao, K. Removal of Cu (II) using three low-cost adsorbents and prediction of adsorption using artificial neural networks. Appl. Water Sci. 2019, 9, 44. [Google Scholar] [CrossRef]
- Torres-Caban, R.; Vega-Olivencia, C.A.; Alamo-Nole, L.; Morales-Irizarry, D.; Roman-Velazquez, F.; Mina-Camilde, N. Removal of Copper from Water by Adsorption with Calcium-Alginate/Spent Coffee Grounds Composite Beads. Materials 2019, 12, 395. [Google Scholar] [CrossRef] [PubMed]
- Zhang, X.; Shi, X.; Ma, L.; Pang, X.; Li, L. Preparation of Chitosan Stacking Membranes for Adsorption of Copper Ions. Polymers 2019, 11, 1463. [Google Scholar] [CrossRef] [PubMed]
- Elboughdiri, N. The use of natural zeolite to remove heavy metals Cu (II), Pb (II) and Cd (II), from industrial wastewater. Cogent Eng. 2020, 7, 1782623. [Google Scholar] [CrossRef]
- Harja, M.; Buema, G.; Sutiman, D.M.; Munteanu, C.; Bucur, D. Low cost adsorbents obtained from ash for copper removal. Korean J. Chem. Eng. 2012, 29, 1735–1744. [Google Scholar] [CrossRef]
- Noli, F.; Buema, G.; Misaelides, P.; Harja, M. New materials synthesized from ash under moderate conditions for removal of toxic and radioactive metals. J. Radioanal. Nucl. Chem. 2015, 303, 2303–2311. [Google Scholar] [CrossRef]
- Bochkarev, G.R.; Kovalenko, K.A.; Pushkareva, G.I. Copper adsorption on Porozhinskoe manganese ore. J. Min. Sci. 2015, 51, 1029–1033. [Google Scholar] [CrossRef]
- Tontisirin, S. Highly crystalline LSX zeolite derived from biosilica for copper adsorption: The green synthesis for environmental treatment. J. Porous Mater. 2015, 22, 437–445. [Google Scholar] [CrossRef]
- Shen, X.; Qiu, G.; Yue, C.; Guo, M.; Zhang, M. Multiple copper adsorption and regeneration by zeolite 4A synthesized from bauxite tailings. Environ. Sci. Pollut. Res. 2017, 24, 21829–21835. [Google Scholar] [CrossRef]
- Knight, A.W.; Tigges, A.B.; Ilgen, A.G. Adsorption of copper (II) on mesoporous silica: The effect of nano-scale confinement. Geochem. Trans. 2018, 19, 13. [Google Scholar] [CrossRef]
- Bahaa, S.; Al-Baldawi, I.A.; Rasheed, S.; Abdullah, S.R.S. Biosorption of Heavy Metals from Synthetic Wastewater by Using Macro Algae Collected from Iraqi Marshlands. J. Ecol. Eng. 2019, 20, 18–22. [Google Scholar] [CrossRef]
- Velasco-Garduño, O.; Martínez, M.E.; Gimeno, M.; Tecante, A.; Beristain-Cardoso, R.; Shirai, K. Copper removal from wastewater by a chitosan-based biodegradable composite. Environ. Sci. Pollut. Res. 2020, 27, 28527–28535. [Google Scholar] [CrossRef] [PubMed]
- Li, H.; Chen, Y.; Cao, Y.; Liu, G.; Li, B. Comparative study on the characteristics of ball-milled coal fly ash. J. Therm. Anal. Calorim. 2016, 124, 839–846. [Google Scholar] [CrossRef]
- Harja, M.; Ciobanu, G. Eco-friendly Nano-adsorbents for Pollutant Removal from Wastewaters. In Handbook of Nanomaterials and Nanocomposites for Energy and Environmental Applications; Kharissova, O., Martínez, L., Kharisov, B., Eds.; Springer: Cham, Switzerland, 2020. [Google Scholar] [CrossRef]
- Forminte, L.; Ciobanu, G.; Buema, G.; Lupu, N.; Chiriac, H.; Gomez de Castro, C.; Harja, M. New materials synthesized by sulfuric acid attack over power plant fly ash. Rev. Chim. 2020, 71, 48–58. [Google Scholar] [CrossRef]
- Boycheva, S.; Zgureva, D.; Miteva, S.; Marinov, I.; Behunová, D.M.; Trendafilova, I.; Václaviková, M. Studies on the Potential of Nonmodified and Metal Oxide-Modified Coal Fly Ash Zeolites for Adsorption of Heavy Metals and Catalytic Degradation of Organics for Waste Water Recovery. Processes 2020, 8, 778. [Google Scholar] [CrossRef]
- Buema, G.; Lupu, N.; Chiriac, H.; Roman, T.; Porcescu, M.; Ciobanu, G.; Burghila, D.V.; Harja, M. Eco-Friendly Materials Obtained by Fly Ash Sulphuric Activation for Cadmium Ions Removal. Materials 2020, 13, 3584. [Google Scholar] [CrossRef]
- Supelano, G.I.; Cuaspud, J.G.; Moreno-Aldana, L.C.; Ortiz, C.; Trujillo, C.A.; Palacio, C.A.; Gómez, J.M. Synthesis of magnetic zeolites from recycled fly ash for adsorption of methylene blue. Fuel 2020, 263, 116800. [Google Scholar] [CrossRef]
- Liu, X.; Hu, C.; Chu, L. Microstructure, Compressive Strength and Sound Insulation Property of Fly Ash-Based Geopolymeric Foams with Silica Fume as Foaming Agent. Materials 2020, 13, 3215. [Google Scholar] [CrossRef]
- Kharissova, O.V.; Dias, H.R.; Kharisov, B.I. Magnetic adsorbents based on micro-and nano-structured materials. RSC Adv. 2015, 5, 6695–6719. [Google Scholar] [CrossRef]
- Cao, J.; Wang, P.; Sun, Q. Green Synthesis of Magnetic Zeolite LTA using NaOH Activated Fly Ash. Z. Anorg. All. Chem. 2020, 646, 1666–1670. [Google Scholar] [CrossRef]
- Jawad, A.H.; Malek, N.N.A.; Abdulhameed, A.S.; Razuan, R. Synthesis of Magnetic Chitosan-Fly Ash/Fe3O4 Composite for Adsorption of Reactive Orange 16 Dye: Optimization by Box–Behnken Design. J. Polym. Environ. 2020, 28, 1068–1082. [Google Scholar] [CrossRef]
- Yamaura, M.; Fungaro, D.A. Synthesis and characterization of magnetic adsorbent prepared by magnetite nanoparticles and zeolite from coal fly ash. J. Mater. Sci. 2013, 48, 5093–5101. [Google Scholar] [CrossRef]
- Sharma, M.; Kalita, P.; Senapati, K.K.; Garg, A. Study on Magnetic Materials for Removal of Water Pollutants. In Emerging Pollutants—Some Strategies for the Quality Preservation of Our Environment; Intech Open: London, UK, 2018; pp. 61–78. [Google Scholar]
- Seracu, D.I. Handbook of Analytical Chemistry; Technic Publisher: Bucharest, Romania, 1989. (In Romanian) [Google Scholar]
- Ghorpade, A.; Ahammed, M.M. Water treatment sludge for removal of heavy metals from electroplating wastewater. Environ. Eng. Res. 2018, 23, 92–98. [Google Scholar] [CrossRef]
- Hashem, E.Y.; Seleim, M.M.; El-Zohry, A.M. Environmental method for spectrophotometric determination of copper (II). Green Chem. Lett. Rev. 2011, 4, 241–248. [Google Scholar] [CrossRef]
- Karanac, M.; Đolić, M.; Veličković, Z.; Kapidžić, A.; Ivanovski, V.; Mitrić, M.; Marinković, A. Efficient multistep arsenate removal onto magnetite modified fly ash. J. Environ. Manag. 2018, 224, 263–276. [Google Scholar] [CrossRef]
- Cretescu, I.; Harja, M.; Teodosiu, C.; Isopescu, D.N.; Chok, M.F.; Sluser, B.M.; Salleh, M.A.M. Synthesis and characterisation of a binder cement replacement based on alkali activation of fly ash waste. Process. Saf. Environ. Protect. 2018, 119, 23–35. [Google Scholar] [CrossRef]
- Han, Z.; Zhang, Y.; He, P. One-Step Synthesis of Magnetic Zeolite from Zinc Slag and Circulating Fluidized Bed Fly Ash for Degradation of Dye Wastewater. J. Renew. Mater. 2020, 8, 405. [Google Scholar] [CrossRef]
- Sutcu, M.; Erdogmus, E.; Gencel, O.; Gholampour, A.; Atan, E.; Ozbakkaloglu, T. Recycling of bottom ash and fly ash wastes in eco-friendly clay brick production. J. Clean. Prod. 2019, 233, 753–764. [Google Scholar] [CrossRef]
- Sing, K.S. Reporting physisorption data for gas/solid systems with special reference to the determination of surface area and porosity. Pure Appl. Chem. 1985, 57, 603–619. [Google Scholar] [CrossRef]
- Yildiz, S. Kinetic and isotherm analysis of Cu (II) adsorption onto Almond Shell (Prunus dulcis). Ecol. Chem. Eng. S 2017, 24, 87–106. [Google Scholar] [CrossRef]
- Grande-Tovar, C.D.; Vallejo, W.; Zuluaga, F. Equilibrium and Kinetic Study of Lead and Copper Ion Adsorption on Chitosan-Grafted-Polyacrylic Acid Synthesized by Surface Initiated Atomic Transfer Polymerization. Molecules 2018, 23, 2218. [Google Scholar] [CrossRef]
- Yetilmezsoy, K.; Özçimen, D.; Koçer, A.T.; Majid Bahramian, M.; Kıyan, E.; Akbin, H.M.; Goncaloğlu, B.I. Removal of Anthraquinone Dye via Struvite: Equilibria, Kinetics, Thermodynamics, Fuzzy Logic Modeling. Int. J. Environ. Res. 2020, 14, 541–566. [Google Scholar] [CrossRef]
- Buema, G.; Lupu, N.; Chiriac, H.; Ciobanu, G.; Kotova, O.; Harja, M. Modeling of solid-fluid non-catalytic processes for nickel ion removal. Rev. Chim. 2020, 71, 4–15. [Google Scholar] [CrossRef]
- Mashhadi, S.; Javadian, H.; Ghasemi, M.; Saleh, T.A.; Gupta, V.K. Microwave-induced H2SO4 activation of activated carbon derived from rice agricultural wastes for sorption of methylene blue from aqueous solution. Desalin. Water Treat. 2016, 57, 21091–21104. [Google Scholar]
- Costa, J.A.S.; Sarmento, V.H.V.; Romão, L.P.C.; Paranhos, C.M. Adsorption of organic compounds on mesoporous material from rice husk ash (RHA). Biomass Conv. Bioref. 2019. [Google Scholar] [CrossRef]
- Naghizadeh, A.; Mousavi, S.J.; Derakhshani, E.; Sharifi, S.M. Fabrication of polypyrrole composite on perlite zeolite surface and its application for removal of copper from wood and paper factories wastewater. Korean J. Chem. Eng. 2018, 35, 662–670. [Google Scholar] [CrossRef]
- Belhadri, M.; Sassi, M.; Bengueddach, A. Preparation of Economical and Environmentally Friendly Modified Clay and Its Application for Copper Removal. J. Water Chem. Technol. 2019, 41, 357–362. [Google Scholar] [CrossRef]
- Jabłońska, B.; Busch, M.; Kityk, A.V.; Huber, P. Natural and Chemically Modified Post-Mining Clays—Structural and Surface Properties and Preliminary Tests on Copper Sorption. Minerals 2019, 9, 704. [Google Scholar] [CrossRef]
- Hao, Y.M.; Man, C.; Hu, Z.B. Effective removal of Cu (II) ions from aqueous solution by amino-functionalized magnetic nanoparticles. J. Hazard. Mater. 2010, 184, 392–399. [Google Scholar] [CrossRef]
- Uogintė, I.; Lujanienė, G.; Mažeika, K. Study of Cu (II), Co (II), Ni (II) and Pb (II) removal from aqueous solutions using magnetic Prussian blue nano-sorbent. J. Hazard. Mater. 2019, 369, 226–235. [Google Scholar] [CrossRef]















| Parameter Effect | |
|---|---|
| Dose of adsorbent → 0.2 g adsorbent/20 mL Cu (II) solution, 0.4 g adsorbent/20 mL Cu (II) solution, 0.8 g adsorbent/20 mL Cu (II) solution | Initial Cu (II) concentration: 300 mg/L; pH = 5 |
| Initial Cu (II) concentration → 100 mg/L, 200 mg/L, 300 mg/L, 400 mg/L, 500 mg/L, 600 mg/L, 700 mg/L | Dose of adsorbent = 0.2 g adsorbent/20 mL Cu (II) solution; pH = 5 |
| Contact time→ 5–480 min | Initial Cu (II) concentration: 300 mg/L; dose of adsorbent = 0.2 g adsorbent/20 mL Cu (II) solution; pH = 5 |
| Element | FA | FA/Fe3O4 |
|---|---|---|
| C | 18.27 | 18.25 |
| O | 45.82 | 46.72 |
| Si | 18.81 | 13.95 |
| Al | 11.09 | 10.22 |
| Ca | 1.75 | 1.7 |
| Fe | 2.05 | 7.74 |
| K | 0.79 | 0.41 |
| Mg | 0.60 | 0.34 |
| Ti | 0.74 | 0.67 |
| Model | Parameter | Value |
|---|---|---|
| Langmuir type 1 | 17.39 | |
| 0.0191 | ||
| R2 | 0.9987 | |
| Langmuir type 2 | 16.44 | |
| 0.025 | ||
| R2 | 0.9792 | |
| Langmuir type 3 | 16.71 | |
| 0.0237 | ||
| R2 | 0.9487 | |
| Langmuir type 4 | 16.91 | |
| 0.0225 | ||
| R2 | 0.9487 | |
| Freundlich | 2.88 | |
| 1/n | 0.2816 | |
| R2 | 0.9625 | |
| Temkin | B | 3.1282 |
| b | 0.792 | |
| AT | 3.25 | |
| R2 | 0.9821 | |
| Harkins–Jura | AHJ | 0.0075 |
| BHJ | 0.0226 | |
| R2 | 0.9002 |
| Kinetic Model | Parameters | Values |
|---|---|---|
| Pseudo-first order | k1, 1/min | 0.0124 |
| R2 | 0.9871 | |
| Pseudo-second order | qe cal, mg/g | 15.64 |
| k2, g/mg min | 0.00065 | |
| R2 | 0.993 |
| Adsorbent | qmax (mg/g) | References |
|---|---|---|
| FA (Fly ash) | 14.46 | [15] |
| Fly ash treated with 5 M of NaOH at 90 °C, 4 h | 27.904 | [15] |
| PPy/Perlite (Polypyrrole composite on perlite zeolite) | 3.57 | [49] |
| ARH (Bentonite treated with sodium) | 17.241 | [50] |
| ARC (Bentonite treated with calcium) | 18.181 | [50] |
| ARS (Bentonite treated with sulphuric acid) | 24.390 | [50] |
| Modified clay | 13–21 | [51] |
| Natural zeolites | 2.5 | [14] |
| Fe3O4 particles with 1,6-hexadiamine | 25.77–26.58 | [52] |
| Magnetic Prussian blue | 8.93 | [53] |
| FA/Fe3O4 | 17.39 | This study |
Publisher’s Note: MDPI stays neutral with regard to jurisdictional claims in published maps and institutional affiliations. |
© 2020 by the authors. Licensee MDPI, Basel, Switzerland. This article is an open access article distributed under the terms and conditions of the Creative Commons Attribution (CC BY) license (http://creativecommons.org/licenses/by/4.0/).
Share and Cite
Harja, M.; Buema, G.; Lupu, N.; Chiriac, H.; Herea, D.D.; Ciobanu, G. Fly Ash Coated with Magnetic Materials: Improved Adsorbent for Cu (II) Removal from Wastewater. Materials 2021, 14, 63. https://doi.org/10.3390/ma14010063
Harja M, Buema G, Lupu N, Chiriac H, Herea DD, Ciobanu G. Fly Ash Coated with Magnetic Materials: Improved Adsorbent for Cu (II) Removal from Wastewater. Materials. 2021; 14(1):63. https://doi.org/10.3390/ma14010063
Chicago/Turabian StyleHarja, Maria, Gabriela Buema, Nicoleta Lupu, Horia Chiriac, Dumitru Daniel Herea, and Gabriela Ciobanu. 2021. "Fly Ash Coated with Magnetic Materials: Improved Adsorbent for Cu (II) Removal from Wastewater" Materials 14, no. 1: 63. https://doi.org/10.3390/ma14010063
APA StyleHarja, M., Buema, G., Lupu, N., Chiriac, H., Herea, D. D., & Ciobanu, G. (2021). Fly Ash Coated with Magnetic Materials: Improved Adsorbent for Cu (II) Removal from Wastewater. Materials, 14(1), 63. https://doi.org/10.3390/ma14010063

