Intrinsic Dielectric Loss in Zr0.8Sn0.2TiO4 Ceramics Investigated by Terahertz Time Domain Spectroscopy
Abstract
1. Introduction
2. Materials and Methods
2.1. Samples Preparation
2.2. Experimental Details
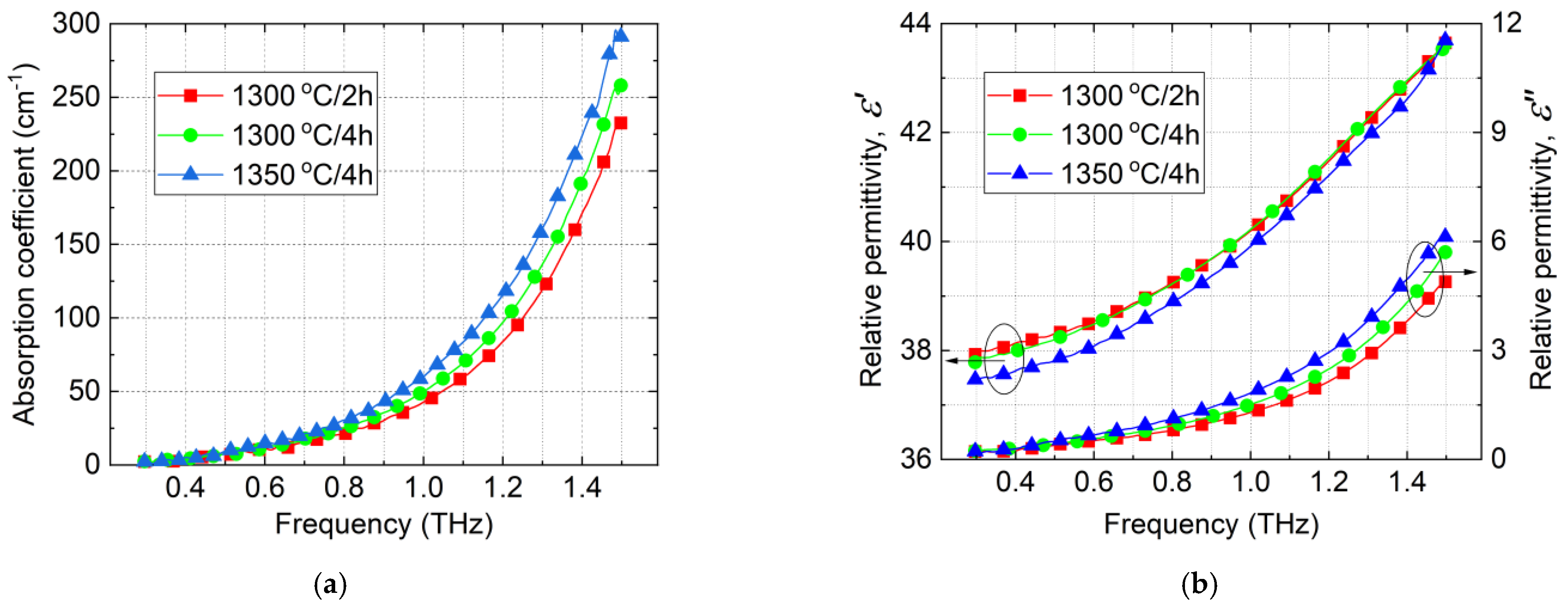
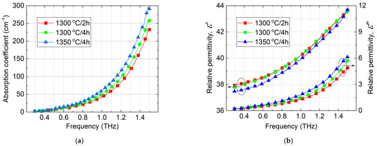
3. Results and Discussion
4. Conclusions
Author Contributions
Funding
Institutional Review Board Statement
Informed Consent Statement
Data Availability Statement
Conflicts of Interest
References
- Fiedziuszko, S.J.; Hunter, I.C.; Itoh, T.; Kaobayashi, Y.; Nishikawa, T.; Wakino, K.; Stitzer, S.N. Dielectric materials, devices, and circuits. IEEE Trans. Microw. Theory Tech. 2002, 50, 706–720. [Google Scholar] [CrossRef]
- Reaney, I.M.; Iddles, D. Microwave dielectric ceramics for resonators and filters in mobile phone networks. J. Am. Ceram. Soc. 2006, 89, 2063–2072. [Google Scholar] [CrossRef]
- Ohsato, H. Functional advances of microwave dielectrics for next generation. Ceram. Int. 2012, 38, S141–S146. [Google Scholar] [CrossRef]
- Genovesi, S.; Costa, F.; Cioni, B.; Miceli, V.; Annino, G.; Gallone, G.; Levita, G.; Lazzeri, A.; Monorchio, A.; Manara, G. Miniaturized high impedance surfaces with angular stability by using zirconium tin titanate substrates and convoluted FSS elements. Microw. Opt. Technol. Lett. 2009, 51, 2753–2758. [Google Scholar] [CrossRef]
- Avadanei, O.G.; Banciu, M.G.; Nicolaescu, I.; Nedelcu, L. Superior modes in high permittivity cylindrical dielectric resonator antenna excited by a central rectangular slot. IEEE Trans. Antennas Propag. 2012, 60, 5032–5038. [Google Scholar] [CrossRef]
- Cruickshank, D.B. Microwave Material Applications: Device Miniaturization and Integration; Artech House: Norwood, MA, USA, 2016. [Google Scholar]
- Wang, X.; Li, H.; Zhou, J. Asymmetric transmission in a Mie-based dielectric metamaterial with Fano resonance. Materials 2019, 12, 1003. [Google Scholar] [CrossRef] [PubMed]
- Muñoz-Enano, J.; Vélez, P.; Gil, M.; Martín, F. Planar Microwave Resonant Sensors: A Review and Recent Developments. Appl. Sci. 2020, 10, 2615. [Google Scholar] [CrossRef]
- Ali, I.; Jamaluddin, M.H.; Gaya, A.; Rahim, H.A. A dielectric resonator antenna with enhanced gain and bandwidth for 5G applications. Sensors 2020, 20, 675. [Google Scholar] [CrossRef] [PubMed]
- Petzelt, J.; Kamba, S. Submillimeter and infrared response of microwave materials extrapolation to microwave properties. Mater. Chem. Phys. 2003, 79, 175–180. [Google Scholar] [CrossRef]
- Ioachim, A.; Toacsan, M.I.; Banciu, M.G.; Nedelcu, L.; Dutu, C.A.; Feder, M.; Plapcianu, C.; Lifei, F.; Nita, P. Effect of the sintering temperature on the Ba(Zn1/3Ta2/3)O3 dielectric properties. J. Eur. Ceram. Soc. 2007, 27, 1117–1122. [Google Scholar] [CrossRef]
- Pullar, R.C. The synthesis, properties, and applications of columbite niobates (M2+Nb2O6): A critical review. J. Am. Ceram. Soc. 2009, 92, 563–577. [Google Scholar] [CrossRef]
- Sebastian, M.T.; Ubic, R.; Jantunen, H. Microwave Materials and Applications; John Wiley & Sons: Chichester, UK, 2017. [Google Scholar]
- Tian, L.; Nan, J.; Wang, H.; Shen, C. Effect of microwave sintering on the properties of 0.95(Ca0.88Sr0.12)TiO3–0.05(Bi0.5Na0.5)TiO3 ceramics. Materials 2019, 12, 803. [Google Scholar] [CrossRef] [PubMed]
- Liu, F.; Liu, S.; Cui, X.; Cheng, L.; Li, H.; Wang, J.; Rao, W. Ordered domains and microwave properties of sub-micron structured Ba(Zn1/3Ta2/3)O3 ceramics obtained by spark plasma sintering. Materials 2019, 12, 638. [Google Scholar] [CrossRef] [PubMed]
- Christoffersen, R.; Davies, P.K.; Wei, X.; Negas, T. Effect of Sn substitution on cation ordering in (Zr1–xSnx)TiO4 microwave dielectric ceramics. J. Am. Ceram. Soc. 1994, 77, 1441–1450. [Google Scholar] [CrossRef]
- Tamura, H. Microwave dielectric losses caused by lattice defects. J. Eur. Ceram. Soc. 2006, 26, 1775–1780. [Google Scholar] [CrossRef]
- Ioachim, A.; Banciu, M.G.; Toacsan, M.I.; Nedelcu, L.; Stoica, G.; Annino, G.; Cassettari, M.; Martinelli, M. Nickel-doped (Zr0.8,Sn0.2)TiO4 for microwave and millimeter wave applications. Mater. Sci. Eng. B 2005, 118, 205–209. [Google Scholar] [CrossRef]
- Pamu, D.; Rao, L.N.; Raju, K.C.J. Enhanced microwave dielectric properties of (Zr0.8Sn0.2)TiO4 ceramics with the addition of its own nanoparticles. J. Am. Ceram. Soc. 2011, 95, 126–132. [Google Scholar] [CrossRef]
- Laishram, R.; Thakur, O.P.; Bhattacharya, D.K. Improvement in quality factor of (Zr0.8Sn0.2)TiO4 microwave ceramics by Mn4+ doping. Mater. Lett. 2011, 65, 1678–1680. [Google Scholar] [CrossRef]
- Laishram, R.; Thakur, O.P. High quality pure ZST ceramics prepared from nanopowders produced by high energy ball milling process. J. Mater. Sci. Mater. Electron. 2013, 24, 3504–3507. [Google Scholar] [CrossRef]
- Olhero, S.M.; Kaushal, A.; Ferreira, J.M.F. Fostering the properties of Zr0.8Sn0.2TiO4 (ZST) ceramics via freeze granulation without sintering additives. RSC Adv. 2014, 4, 48734–48740. [Google Scholar] [CrossRef]
- Chen, B.; Han, L.; Li, B.Y. Sintering characteristics and microwave dielectric properties of (Zr0.8Sn0.2)TiO4 ceramics doped with La2O3 and MgO. J. Mater. Sci. Mater. Electron. 2019, 30, 2847–2853. [Google Scholar] [CrossRef]
- Gurevich, V.; Tagantsev, A.K. Intrinsic dielectric loss in crystals. Adv. Phys. 1991, 40, 719–767. [Google Scholar] [CrossRef]
- Kolodiazhnyi, T.; Annino, G.; Shimada, T. Intrisic limit of dielectric loss in several Ba(B′1∕3B″2∕3)O3 ceramics revealed by the whispering-gallery mode technique. Appl. Phys. Lett. 2005, 87, 212908. [Google Scholar] [CrossRef]
- Sakai, K. Terahertz Optoelectronics; Springer: Berling, Germany, 2005. [Google Scholar]
- Neu, J.; Schmuttenmaer, C.A. Tutorial: An introduction to terahertz time domain spectroscopy (THz-TDS). J. Appl. Phys. 2018, 124, 231101. [Google Scholar] [CrossRef]
- Krupka, J.; Derzakowski, K.; Riddle, B.; Baker-Jarvis, J. A dielectric resonator for measurements of complex permittivity of low loss dielectric materials as a function of temperature. Meas. Sci. Technol. 1998, 9, 1751–1756. [Google Scholar] [CrossRef]
- Li, L.; Chen, X.M. Frequency-dependent of value of microwave dielectric ceramics. J. Am. Ceram. Soc. 2014, 97, 3041–3043. [Google Scholar] [CrossRef]



| Batch | Sintering Temperature (°C) | Sintering Time (h) | Bulk Density 1 (g/cm3) | a (nm) | b (nm) | c (nm) |
|---|---|---|---|---|---|---|
| ZST A | 1300 | 2 | 5.08 | 0.4774 | 0.5517 | 0.5044 |
| ZST B | 1300 | 4 | 5.05 | 0.4773 | 0.5516 | 0.5042 |
| ZST C | 1350 | 4 | 5.03 | 0.4772 | 0.5515 | 0.5041 |
| Batch | @ 6 GHz | @ 6 GHz | Q x f @ 6 GHz (THz) | @ 0.4 THz | @ 0.4 THz | Q x f @ 0.4 THz (THz) |
|---|---|---|---|---|---|---|
| ZST A | 37.3 | 4.3 × 10−3 | 50 | 38.2 | 2.5 × 10−1 | 60 |
| ZST B | 37.2 | 7.4 × 10−3 | 30 | 38.1 | 2.7 × 10−1 | 55 |
| ZST C | 37.1 | 14.7 × 10−3 | 15 | 37.6 | 2.9 × 10−1 | 50 |
Publisher’s Note: MDPI stays neutral with regard to jurisdictional claims in published maps and institutional affiliations. |
© 2021 by the authors. Licensee MDPI, Basel, Switzerland. This article is an open access article distributed under the terms and conditions of the Creative Commons Attribution (CC BY) license (http://creativecommons.org/licenses/by/4.0/).
Share and Cite
Nedelcu, L.; Geambasu, C.D.; Enculescu, M.; Banciu, M.G. Intrinsic Dielectric Loss in Zr0.8Sn0.2TiO4 Ceramics Investigated by Terahertz Time Domain Spectroscopy. Materials 2021, 14, 216. https://doi.org/10.3390/ma14010216
Nedelcu L, Geambasu CD, Enculescu M, Banciu MG. Intrinsic Dielectric Loss in Zr0.8Sn0.2TiO4 Ceramics Investigated by Terahertz Time Domain Spectroscopy. Materials. 2021; 14(1):216. https://doi.org/10.3390/ma14010216
Chicago/Turabian StyleNedelcu, Liviu, Cezar Dragos Geambasu, Monica Enculescu, and Marian Gabriel Banciu. 2021. "Intrinsic Dielectric Loss in Zr0.8Sn0.2TiO4 Ceramics Investigated by Terahertz Time Domain Spectroscopy" Materials 14, no. 1: 216. https://doi.org/10.3390/ma14010216
APA StyleNedelcu, L., Geambasu, C. D., Enculescu, M., & Banciu, M. G. (2021). Intrinsic Dielectric Loss in Zr0.8Sn0.2TiO4 Ceramics Investigated by Terahertz Time Domain Spectroscopy. Materials, 14(1), 216. https://doi.org/10.3390/ma14010216

