Soft, Wirelessly Powered Humidity Sensor Based on SnO2 Nanowires for Wireless/Wearable Sensor Application
Abstract
1. Introduction
2. Materials and Methods
2.1. SnO2 NW Synthesis
2.2. Substrate Preparation
2.3. NW Transfer
2.4. Device Fabrication Procedure
2.5. Wireless System
2.6. Humidity-Sensing Setup
3. Results and Discussion
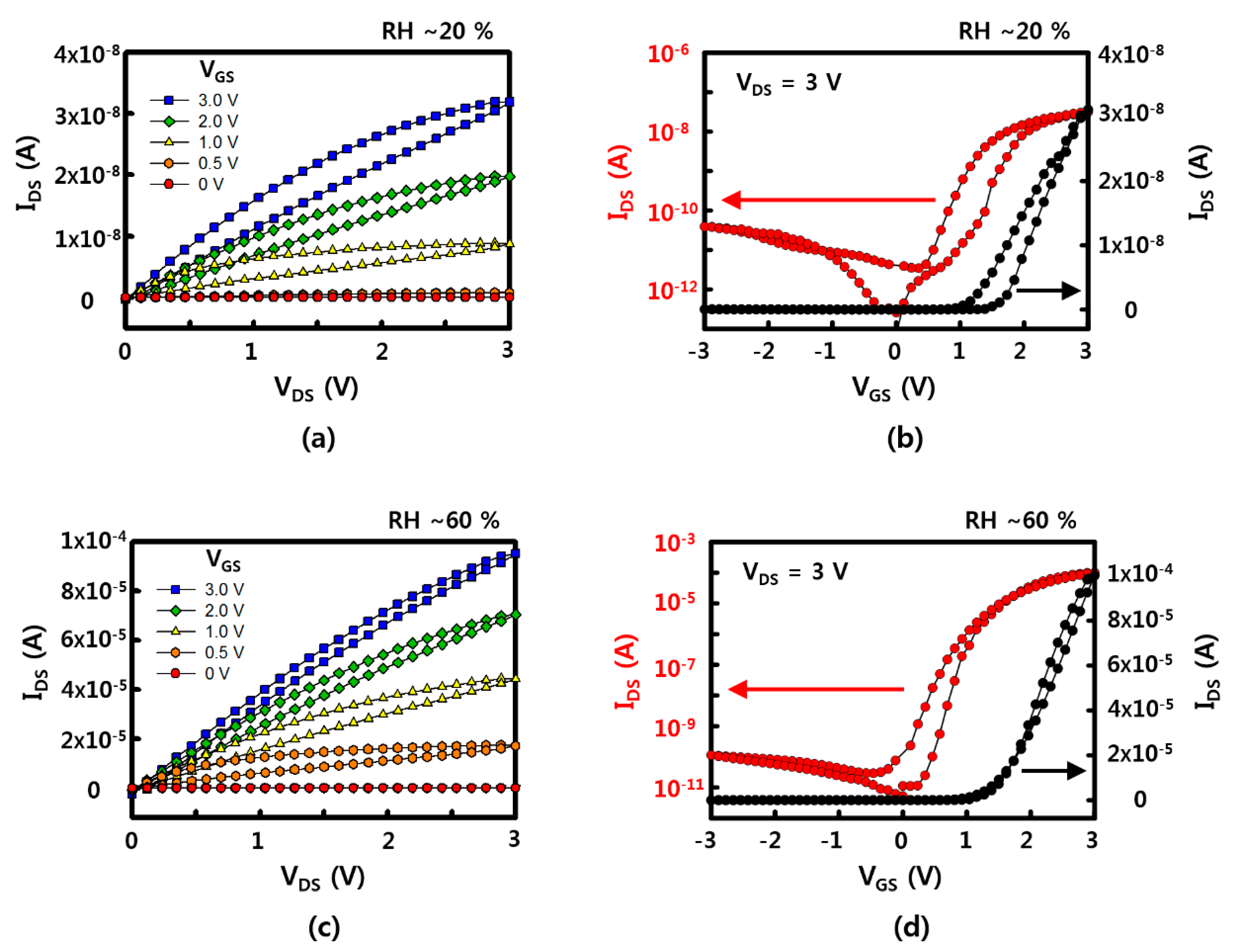
3.1. Electrical Characterization of SnO2 FET
3.2. Gate Dependence vs. Relative Humidity
3.3. Wireless Sensor Application
3.4. Device Stability
4. Conclusions
Funding
Conflicts of Interest
Appendix A







References
- Trowbridge, C.C. The use of the hair hygrometer. Science 1896, 4, 62–65. [Google Scholar] [CrossRef] [PubMed]
- Awbery, J.H.; Griffiths, E. The basic law of the wet-and-dry-bulb hygrometer at temperature from 40° to 100 °C. Proc. Phys. Soc. 1932, 44, 132–142. [Google Scholar] [CrossRef]
- Whipple, F.J.W. The wet-and-dry-bulb hygrometer: The relation to theory of the experimental researches of Awbery and Griffiths. Proc. Phys. Soc. 1933, 45, 307–319. [Google Scholar] [CrossRef]
- Nie, J.; Meng, X. Dew point and relative humidity measurement using a quartz resonant sensor. Microsyst. Technol. 2014, 20, 1311–1315. [Google Scholar] [CrossRef]
- Schubert, P.J.; Nevin, J.H. A polyimide-based capacitive humidity sensor. IEEE Trans. Electron Dev. 1985, 32, 1220–1223. [Google Scholar] [CrossRef]
- Rittersma, Z.M. Recent achievements in miniaturised humidity sensors-a review of transduction techniques. Sens. Actuators A 2002, 96, 196–210. [Google Scholar] [CrossRef]
- Harsanyi, G. Polymeric sensing films: New horizons in sensorics? Mater. Chem. Phys. 1996, 43, 199–203. [Google Scholar] [CrossRef]
- Kang, U.; Wise, K.D. A high speed capacitive humidity sensor with on-chip thermal reset. IEEE Trans. Electron Dev. 2000, 47, 702–710. [Google Scholar] [CrossRef]
- Rittersma, Z.M.; Splinter, A.; Bödecker, A.; Benecke, W. A novel surface-micromachined capacitive porous silicon humidity sensor. Sens. Actuators 2000, B68, 1–3. [Google Scholar] [CrossRef]
- Kuang, Q.; Lao, C.; Wang, Z.L.; Xie, Z.; Zheng, L. High-sensitivity humidity sensor based on a single SnO2 nanowire. J. Am. Chem. Soc. 2007, 129, 6070–6071. [Google Scholar] [CrossRef]
- Zhang, Y.; Yu, K.; Jiang, D.; Zhu, Z.; Geng, H.; Luo, L. Zinc oxide nanorod and nanowire for humidity sensor. Appl. Surf. Sci. 2005, 242, 212–217. [Google Scholar] [CrossRef]
- Fu, X.Q.; Wang, C.; Yu, H.C.; Wang, Y.G.; Wang, T.H. Fast humidity sensors based on CeO2 nanowires. Nanotechnology 2007, 18, 145503. [Google Scholar] [CrossRef]
- Chang, S.P.; Chang, S.J.; Lu, C.Y.; Lu, C.Y.; Li, M.J.; Hsu, C.L.; Chiou, Y.Z.; Hsueh, T.J.; Chen, I.C. A ZnO nanowire-based humidity sensor. Superlattice Microst. 2010, 47, 772–778. [Google Scholar] [CrossRef]
- Wang, S.B.; Hsiao, C.H.; Chang, S.J.; Lam, K.T.; Wen, K.H.; Young, S.J.; Hung, S.C.; Huang, B.R. CuO nanowire-based humidity sensor. IEEE Sens. J. 2012, 12, 1884–1888. [Google Scholar] [CrossRef]
- Dai, C.L.; Liu, M.C.; Chen, F.S.; Wu, C.C.; Chang, M.W. A nanowire WO3 humidity sensor integrated with micro-heater and inverting amplifier circuit on chip manufactured using CMOS-MEMS technique. Sens. Actuators B 2007, 123, 896–901. [Google Scholar] [CrossRef]
- Nitta, T. Ceramic humidity sensor. Ind. Eng. Chem. Prod. Res. Dev. 1981, 20, 669–674. [Google Scholar] [CrossRef]
- Gu, L.; Huang, Q.A.; Qin, M. A novel capacitive-type humidity sensor using CMOS fabrication technology. Sens. Actuators B 2004, 99, 491–498. [Google Scholar] [CrossRef]
- Chen, W.P.; Zhao, Z.G.; Liu, X.W.; Zhang, Z.X.; Suo, C.G. A capacitive humidity sensor based on multi-wall carbon nanotubes (MWCNTs). Sensors 2009, 9, 7431–7444. [Google Scholar] [CrossRef]
- Yang, H.; Ye, Q.; Zeng, R.; Zhang, J.; Yue, L.; Xu, M.; Qiu, Z.J.; Wu, D. Stable and fast-response capacitive humidity sensors based on a ZnO nanopowder/PVP-RGO multilayer. Sensors 2017, 17, 2415. [Google Scholar] [CrossRef]
- Pan, J.; Ganesan, R.; Shen, H.; Mathur, S. Plasma-modified SnO2 nanowires for enhanced gas sensing. J. Phys. Chem. C 2010, 114, 8245–8250. [Google Scholar] [CrossRef]
- Shin, G.; Yoon, C.-H.; Bae, M.Y.; Kim, Y.C.; Hong, S.K.; Rogers, J.A.; Ha, J.S. Stretchable field-effect-transistor array of suspended SnO2 nanowires. Small 2011, 7, 1181–1185. [Google Scholar] [CrossRef]
- Pang, Y.; Jian, J.; Tu, T.; Yang, Z.; Ling, J.; Li, Y.; Wang, X.; Qiao, Y.; Tian, H.; Yang, Y.; et al. Wearable humidity sensor based on porous graphene network for respiration monitoring. Biosens. Bioelectron. 2018, 116, 123–129. [Google Scholar] [CrossRef]
- Zhang, M.; Wang, M.; Zhang, M.; Qiu, L.; Liu, Y.; Zhang, W.; Zhang, Y.; Hu, J.; Wu, G. Flexible and highly sensitive humidity sensor based on sandwich-like Ag/Fe3O4 nanowires composite for multiple dynamic monitoring. Nanomaterials 2019, 9, 1399. [Google Scholar] [CrossRef]
- Yang, J.; Shi, R.; Lou, Z.; Chai, R.; Jiang, K.; Shen, G. Flexible smart noncontact control systems with ultrasensitive humidity sensors. Small 2019, 15, 1902801. [Google Scholar] [CrossRef]
- Jeong, W.; Song, J.; Bae, J.; Nandanapalli, K.R.; Lee, S. Breathable nanomesh humidity sensor for real-time skin humidity monitoring. ACS Appl. Mater. Interfaces 2019, 11, 44758–44763. [Google Scholar] [CrossRef]
- Zhou, C.; Zhang, X.; Tang, N.; Fang, Y.; Zhang, H.; Duan, X. Rapid response flexible humidity sensor for respiration monitoring using nano-confined strategy. Nanotechnology 2020, 31, 125302. [Google Scholar] [CrossRef] [PubMed]
- Choi, Y.J.; Hwang, I.S.; Park, J.G.; Choi, K.J.; Park, J.H.; Lee, J.H. Novel fabrication of an SnO(2) nanowire gas sensor with high sensitivity. Nanotechnology 2008, 19, 095508. [Google Scholar] [CrossRef]
- Kim, D.; Kim, Y.-K.; Park, S.C.; Ha, J.S.; Huh, J.; Na, J.; Kim, G.-T. Photoconductance of aligned SnO2 nanowire field effect transistors. Appl. Phys. Lett. 2009, 95, 043107. [Google Scholar] [CrossRef]
- Fan, Z.; Ho, J.C.; Jacobson, Z.A.; Yerushalmi, R.; Alley, R.L.; Razavi, H.; Javey, A. Wafer-scale assembly of highly ordered semiconductor nanowire arrays by contact printing. Nano Lett. 2008, 8, 20–25. [Google Scholar] [CrossRef] [PubMed]
- Kim, J.; Banks, A.; Xie, Z.; Heo, S.Y.; Gutruf, P.; Lee, J.W.; Xu, S.; Jang, K.-I.; Liu, F.; Brown, G.; et al. Miniaturized flexible electronic systems with wireless power and near-field communication capabilities. Adv. Funct. Mater. 2015, 25, 4761–4767. [Google Scholar] [CrossRef]
- Shin, G.; Gomez, A.M.; Al-Hasani, R.; Jeong, Y.R.; Kim, J.; Xie, Z.; Banks, A.; Lee, S.M.; Han, S.Y.; Yoo, C.J.; et al. Flexible Near-Field Wireless Optoelectronics as Subdermal Implants for Broad Applications in Optogenetics. Neuron 2017, 93, 509–521. [Google Scholar] [CrossRef] [PubMed]
- Wang, D.; Chen, Y.; Liu, Z.; Li, L.; Shi, C.; Qin, H.; Hu, J. CO2-sensing properties and mechanism of nano-SnO2 thick-film sensor. Sens. Actuators 2016, B227, 73–84. [Google Scholar] [CrossRef]






| Properties | This Work | Pang et al., 2018 [22] | Zhang et al., 2019 [23] | Yang et al., 2019 [24] | Jeong et al., 2019 [25] | Zhou et al., 2020 [26] | Commercial Sensor SHTC3 8 |
|---|---|---|---|---|---|---|---|
| Sensor type | Field-effect transistor | Resistive | Resistive | Resistive | Resistive | Resistive | Capacitive |
| Sensing material | SnO2 nanowire (NW) | Porous graphene | Ag coated Fe3O4 NW | MoO3 nanosheet | Au coated PVA 1 | PEDOT: PSS | Unknown |
| Process | CVD 2 | CVD | Solution growth | Solution growth | Electrospinning | Nano- confinement | Unknown |
| Purpose | Humidity alarm | Respiration monitoring | Respiration monitoring | Noncontact touch sensor | Real-time sensing | Respiration monitoring | Sensor chip |
| Sensitivity 3 | ~104 | <102 | ~103 | ~103 | <102 | <102 | ~0.1% RH |
| Recovery | Slow | ~72 s | ~75 s | <1 s | ~110 s | ~41 s | ~8 s |
| Substrate | PDMS 4 | PET 5 | PP 6 | PET | PVA fiber | PDMS | Epoxy resin |
| Wireless availability | NFC 7-based wireless operation | - | - | Bluetooth available | - | Bluetooth available | Battery included |
© 2020 by the author. Licensee MDPI, Basel, Switzerland. This article is an open access article distributed under the terms and conditions of the Creative Commons Attribution (CC BY) license (http://creativecommons.org/licenses/by/4.0/).
Share and Cite
Shin, G. Soft, Wirelessly Powered Humidity Sensor Based on SnO2 Nanowires for Wireless/Wearable Sensor Application. Materials 2020, 13, 2176. https://doi.org/10.3390/ma13092176
Shin G. Soft, Wirelessly Powered Humidity Sensor Based on SnO2 Nanowires for Wireless/Wearable Sensor Application. Materials. 2020; 13(9):2176. https://doi.org/10.3390/ma13092176
Chicago/Turabian StyleShin, Gunchul. 2020. "Soft, Wirelessly Powered Humidity Sensor Based on SnO2 Nanowires for Wireless/Wearable Sensor Application" Materials 13, no. 9: 2176. https://doi.org/10.3390/ma13092176
APA StyleShin, G. (2020). Soft, Wirelessly Powered Humidity Sensor Based on SnO2 Nanowires for Wireless/Wearable Sensor Application. Materials, 13(9), 2176. https://doi.org/10.3390/ma13092176
