Study on Springback Straightening after Bending of the U-Section of TC4 Material under High-Temperature Conditions
Abstract
:1. Introduction
2. Stress–Strain Curve
2.1. Experimental Setup and Specimen Preparation
2.2. Material-Hardening Model
2.3. Stress Relaxation Model
3. Development of Regression Models for Springback
3.1. Assumptions about Bending Deformation
3.2. Theoretical, Analytical Equations of Bending and Springback
3.2.1. Plastic Region Occurrence at the Top End
3.2.2. Plastic Region in the Bottom Web
3.2.3. All Webs Are in a Plastic State
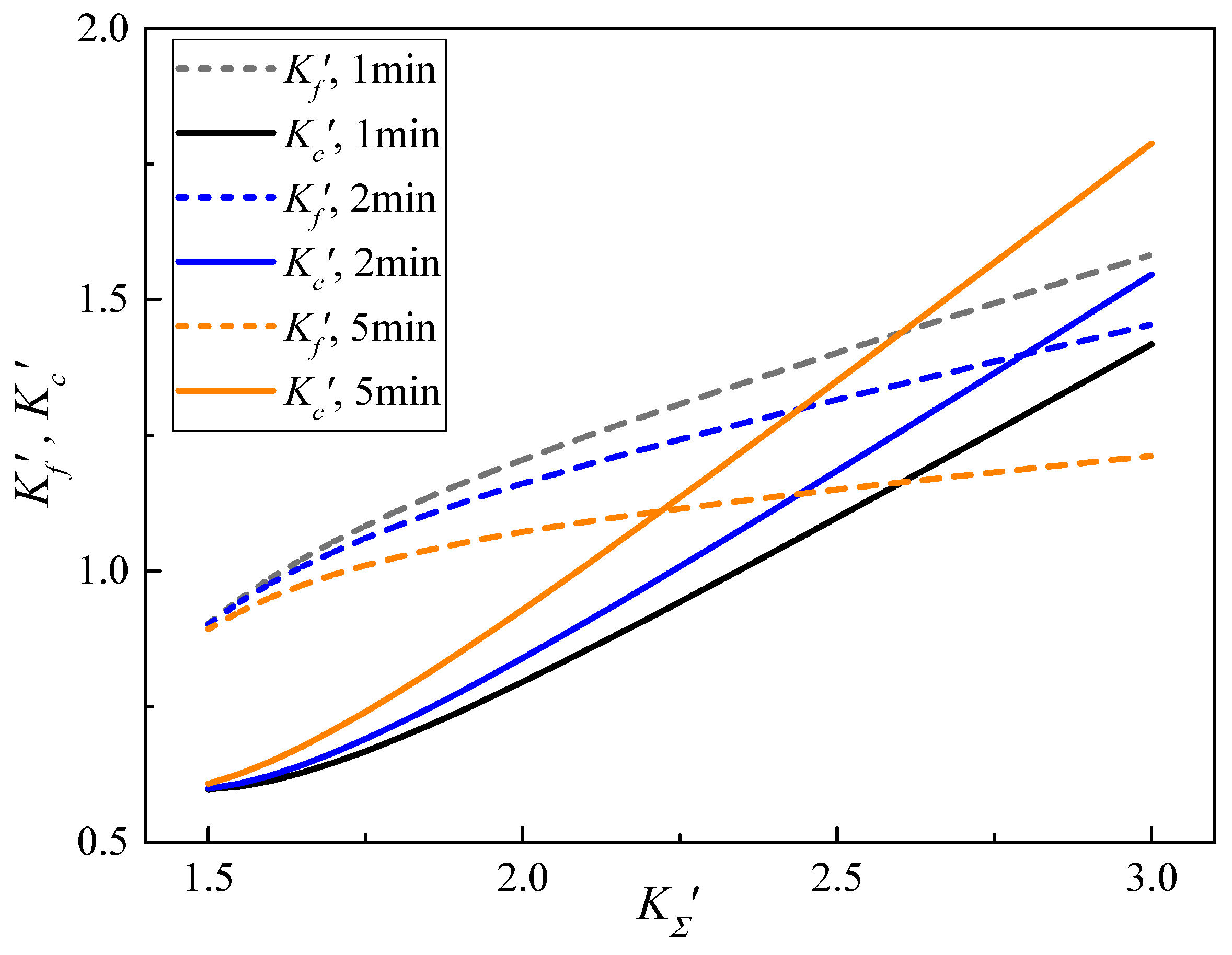
4. Results and Discussion
5. Conclusions
- The results of the uniaxial tension tests showed that the elastic-power hardening model can be used to establish the constitutive relationship of TC4 materials, which can more accurately describe the true stress–strain relationship of materials. Furthermore, the results of stress relaxation experiments showed that the stress relaxation equation describing natural logarithmic law is consistent with the typical stress relaxation law;
- Based on the theory of elastic-plastic mechanics, combined with the elastic-power hardening model and stress relaxation model, this paper established the springback and residual relative curvature equations at different bending degrees. Then, the springback and residual deflection equations were further derived. The results of the study showed that the dislocations and cavity structures generated by plastic deformation have high potential energy due to the lattice distortion caused by elastic deformation. This transformation will be strengthened with the increase of high-temperature time, and the elastic distortion will gradually become unrecovered creep distortion. Then, the corresponding elastic stress becomes smaller and smaller. Furthermore, the elastic strain part of the total strain is reduced and the plastic strain part is increased, so the stress is gradually reduced and the relative springback curvature is reduced;
- The results of the experiments showed that the relative errors between the theoretical residual deflections and residual deflections obtained by the tests are less than 20%, and the average absolute error is less than 10%. Therefore, the adopted hardening models can achieve an allowable relative error if hardening parameters are appropriately selected. By comparing and analyzing the error between the theoretical model and experiments, the theoretical, analytical model was established based on related assumptions, a high-temperature stress relaxation model, and the material constitutive model, which contained errors to a certain extent. Furthermore, the thermal expansion properties of the material, boundary conditions, and springback itself cannot be ignored.
Author Contributions
Funding
Acknowledgments
Conflicts of Interest
References
- Zhou, J. Intelligent manufacturing-main direction of “Made in China 2025”. China Mech. Eng. 2015, 26, 2273–2284. [Google Scholar]
- Jamil, M.; Khan, A.M.; Hegab, H.; Gong, L.; Mia, M.; Gupta, M.K.; He, N. Effects of hybrid Al2O3-CNT nanofluids and cryogenic cooling on machining of Ti–6Al–4V. Int. J. Adv. Manuf. Technol. 2019, 102, 3895–3909. [Google Scholar] [CrossRef]
- Jamil, M.; Khan, A.M.; He, N.; Li, L.; Iqbal, A.; Mia, M. Evaluation of machinability and economic performance in cryogenic-assisted hard turning of α-β titanium: A step towards sustainable manufacturing. Mach. Sci. Technol. 2019, 23, 1022–1046. [Google Scholar] [CrossRef]
- Zhou, L.; Yu, Z.H. Load-stroke model for straightening the warpage of T-rail. Trans. Chin. Soc. Agric. Mach. 2010, 41, 199–203. [Google Scholar] [CrossRef]
- Zhou, L.; Yu, Z.H. Model of straightening T-rail based on elastic--plastic theory. J. Zhejiang Univ. Eng. Sci. 2010, 2, 163–167. [Google Scholar]
- Megharbel, A.E.; Nasser, G.A.E.; Domiaty, A.E. Bending of tube and section made of strain-hardening materials. J. Mater. Process. Technol. 2008, 203, 372–380. [Google Scholar] [CrossRef]
- Al-Qureshi, H.A. Elastic-plastic analysis of tube bending. Int. J. Mach. Tools Manuf. 1999, 39, 87–104. [Google Scholar] [CrossRef]
- Chakrabarty, J.; Lee, W.B.; Chan, K.C. An exact solution for the elastic/plastic bending of anisotropic sheet metal under conditions of plane strain. Int. J. Mech. Sci. 2001, 43, 1871–1880. [Google Scholar] [CrossRef]
- Tan, Z.; Persson, B.; Magnusson, C. Plastic bending of anisotropic sheet metals. Int. J. Mech. Sci. 1995, 37, 405–421. [Google Scholar] [CrossRef]
- Song, Y.; Yu, Z. Springback after the lateral bending of T-section rails of work-hardening materials. J. Mater. Eng. Perform. 2013, 22, 3539–3549. [Google Scholar] [CrossRef]
- Johnson, W.; Yu, T.X. On springback after the pure bending of beams and plates of elastic work-hardening materials-III. Int. J. Mech. Sci. 1981, 23, 687–695. [Google Scholar] [CrossRef]
- Johnson, W.; Yu, T.X. Springback after the biaxial elastic-plastic pure bending of a rectangular plate-I. Int. J. Mech. Sci. 1981, 23, 619–630. [Google Scholar] [CrossRef]
- Kosel, F.; Videnic, T.; Kosel, T.; Brojan, M. Elasto-plastic springback of beams subjected to repeated bending/unbending histories. J. Mater. Eng. Perform. 2011, 20, 846–854. [Google Scholar] [CrossRef]
- Tok, B.; Halilovi, M. Analytical solutions in elasto-plastic bending of beams with rectangular cross section. Appl. Math. Modeling 2009, 33, 1749–1760. [Google Scholar]
- Li, J.; Xiong, G.L. Study on calculation method of press straightening stroke based on straightening process model. Key Eng. Mater. 2007, 340–341, 1345–1350. [Google Scholar] [CrossRef]
- Zhai, H. Research on stroke-algorithm of shaft-straightening. Heavy Mach. 2001, 5, 35–38. [Google Scholar]
- China Aeronautical Materials Handbook Editorial Committee. China Aeronautical Materials Handbook; China Standards Press: Beijing, China, 2001. [Google Scholar]
- Lin, Z.R.; Xiong, Z.Q. Research on high-temperature short-term stress relaxation of TA2, TC1, TC4 titanium plates. Rare Met. Mater. Eng. 1983, 6, 4–10. [Google Scholar]
- Lin, Z.R.; Xiong, Z.Q. Research on thermal forming of TC1 and TC4 titanium plate parts. Rare Met. Mater. Eng. 1983, 5, 4–12. [Google Scholar]
- Xiong, Z.Q.; Lin, Z.R. Study on thermal forming and high-temperature mechanical properties of titanium plates. J. Nanjing Univ. Aeronaut. Astronaut. 1983, 6, 163–183. [Google Scholar]
- Xu, B.Y.; Liu, X.S. Applied Elastic-Plastic Mechanics; Tsinghua University Press: Beijing, China, 1995. [Google Scholar]











| Al, % | V, % | Fe, % | O, % | C, % | Ti, % |
|---|---|---|---|---|---|
| ≤6.30 | ≤4.06 | ≤0.11 | ≤0.20 | ≤0. 01 | Other |
| Temperatures (°C) | Stress Relaxation Equations | |
|---|---|---|
| 650 | 20.0 | = 20.0-1.984·ln(1+1.434E3·T) |
| 650 | 31.0 | σ = 31.0-1.695·ln(1+3.507E6·T) |
| 650 | 30.6 | = 30.6-1.612·ln(1+7.1379E6·T) |
| 700 | 14.5 | = 14.5-0.65·ln(1+3.6675E8·T) |
| 700 | 20.4 | = 20.4-1.07·ln(1+2.4431E7·T) |
| 700 | 20.0 | = 20.0-0.91·ln(1+3.618E8·T) |
| 750 | 12.5 | σ = 12.5-0.298·ln(1+9.8152E16·T) |
| 750 | 13.0 | σ = 13-0.424·ln(1+2.412E12·T) |
| a (mm) | B (mm) | h (mm) | h1 (mm) | h2 (mm) | t (mm) | 2l (mm) |
|---|---|---|---|---|---|---|
| 2.5 | 115 | 70 | 18.74 | 51.26 | 3 | 500 |
| Time(s) | Loading Stroke | Theoretical Model | Experiments | Relative Error | ||
|---|---|---|---|---|---|---|
| φf (mm) | φc (mm) | φc (%) | ||||
| 60 | 2 | 1.574 | 0.426 | 1.756 | 0.344 | 19.25 |
| 60 | 2.5 | 1.790 | 0.710 | 1.817 | 0.683 | 3.80 |
| 60 | 3 | 1.993 | 1.007 | 2.163 | 0.837 | 16.88 |
| 60 | 3.5 | 2.189 | 1.311 | 2.218 | 1.282 | 2.21 |
| 60 | 4 | 2.382 | 1.618 | 2.220 | 1.780 | −10.01 |
| 60 | 4.5 | 2.572 | 1.928 | 2.249 | 2.251 | −16.75 |
| 300 | 2 | 1.292 | 0.708 | 1.422 | 0.578 | 18.36 |
| 300 | 2.5 | 1.364 | 1.136 | 1.526 | 0.974 | 14.26 |
| 300 | 3 | 1.422 | 1.578 | 1.451 | 1.549 | 1.84 |
| 300 | 3.5 | 1.474 | 2.026 | 1.477 | 2.023 | 0.15 |
| 300 | 4 | 1.522 | 2.478 | 1.373 | 2.627 | −6.01 |
| 300 | 4.5 | 1.567 | 2.933 | 1.335 | 3.175 | −8.25 |
| Mean absolute error (%) | 9.82 | |||||
© 2020 by the authors. Licensee MDPI, Basel, Switzerland. This article is an open access article distributed under the terms and conditions of the Creative Commons Attribution (CC BY) license (http://creativecommons.org/licenses/by/4.0/).
Share and Cite
Jin, L.; Yang, Y.-F.; Li, R.-Z.; Cui, Y.-W.; Jamil, M.; Li, L. Study on Springback Straightening after Bending of the U-Section of TC4 Material under High-Temperature Conditions. Materials 2020, 13, 1895. https://doi.org/10.3390/ma13081895
Jin L, Yang Y-F, Li R-Z, Cui Y-W, Jamil M, Li L. Study on Springback Straightening after Bending of the U-Section of TC4 Material under High-Temperature Conditions. Materials. 2020; 13(8):1895. https://doi.org/10.3390/ma13081895
Chicago/Turabian StyleJin, Lu, Yin-Fei Yang, Ren-Zheng Li, Ya-Wen Cui, Muhammad Jamil, and Liang Li. 2020. "Study on Springback Straightening after Bending of the U-Section of TC4 Material under High-Temperature Conditions" Materials 13, no. 8: 1895. https://doi.org/10.3390/ma13081895
APA StyleJin, L., Yang, Y.-F., Li, R.-Z., Cui, Y.-W., Jamil, M., & Li, L. (2020). Study on Springback Straightening after Bending of the U-Section of TC4 Material under High-Temperature Conditions. Materials, 13(8), 1895. https://doi.org/10.3390/ma13081895

