Wood Density and Moisture Content Estimation by Drilling Chips Extraction Technique
Abstract
1. Introduction
2. Materials and Methods
2.1. Wood Specimens
2.2. Drilling Residue Collection Device
2.3. Humidification Chamber
2.4. Humidification Chamber Use Protocol
2.5. Reach the Target Moisture Content (MCt)
2.6. Drill Residue Extraction
2.7. Corrected Density at 12% MC
3. Results and Discussions
3.1. Moisture Content Estimation
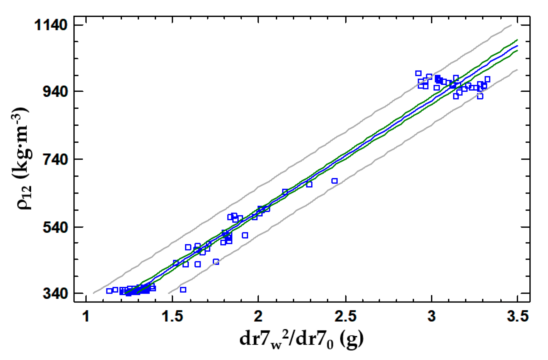
3.2. Direct Estimation of the Density Adjusted at 12% MC
4. Conclusions
Author Contributions
Funding
Acknowledgments
Conflicts of Interest
References
- Esteban, M. Determinación de la Capacidad Resistente de la Madera Estructural de Gran Escuadría y su Aplicación en Estructuras Existentes de Madera de Conífera [Determination of the Load Carrying Capacity of Large Cross Section Structural Coniferous Timber on Existing Structures]. Ph.D. Thesis, Universidad Politécnica de Madrid, Madrid, Spain, 2003. [Google Scholar]
- Kasal, B.; Ronald, W.A. Advances in in situ evaluation of timber structures. Prog. Struct. Eng. Mater. 2004, 6, 94–103. [Google Scholar] [CrossRef]
- Ross, R.J.; Pellerin, R.F. Nondestructive testing for assessing wood members in structures: A review. Gen. Tech. Rep. 1994, 70, 39–49. [Google Scholar] [CrossRef]
- Tannert, T.; Anthony, R.W.; Kasal, B.; Kloiber, M.; Piazza, M.; Riggio, M.; Rinn, F.; Widmann, R.; Yamaguchi, N. In situ assessment of structural timber using semi-destructive techniques. Mater. Struct. 2014, 47, 767–785. [Google Scholar] [CrossRef]
- Straže, A.; Fajdiga, G.; Gospodarič, B. Nondestructive Characterization of Dry Heat-Treated Fir (Abies Alba Mill.) Timber in View of Possible Structural Use. Forests 2018, 9, 776. [Google Scholar] [CrossRef]
- Fundova, I.; Funda, T.; Wu, H.X. Non-Destructive Assessment of Wood Stiffness in Scots Pine (Pinus sylvestris L.) and its Use in Forest Tree Improvement. Forests 2019, 10, 491. [Google Scholar] [CrossRef]
- Arriaga, F.; Garcia, L.; Gebremedhin, K.G.; Peraza, F. Grading and load carrying capacity of old timber beams. In Proceedings of the International Summer Meeting, American Society of Agricultural Engineers, Charlotte, NC, USA, 21–24 June 1992. [Google Scholar]
- Calderoni, C.; De Matteis, G.; Giubileo, C.; Mazzolani, F.M. Experimental correlations between destructive and non-destructive tests on ancient timber elements. Eng. Struct. 2010, 32, 442–448. [Google Scholar] [CrossRef]
- Jasiénko, J.; Nowak, T.; Hamrol, K. Selected methods of diagnosis of historic timber structures—Principles and posibilites of assessment. Adv. Mater. Res. 2013, 778, 225–232. [Google Scholar] [CrossRef]
- Ceccotti, A.; Togni, M. NDT on ancient timber beams: Assessment of strength/stiffness properties combining visual and instrumental methods. In Proceedings of the 10th International Symposium on Nondestructive Testing of Wood, Lausanne, Switzerland, 26–28 August 1996; pp. 379–388. [Google Scholar]
- Divos, F.; Tanaka, T. Lumber strength estimation by multiple regression. Holzforschung 1997, 51, 467–471. [Google Scholar] [CrossRef]
- Ross, R.J.; Soltis, L.A.; Otton, P. Assessing wood members in the USS constitution using non-destructive evaluation methods. APT Bull. J. Preserv. Technol. 1998, 29, 21–25. [Google Scholar] [CrossRef]
- Bobadilla, I.; Íñiguez-González, G.; Esteban, M.; Arriaga, F.; Casas, L. Density estimation by screw withdrawal resistance and probing in structural sawn coniferous timber. In Proceedings of the 15th International Symposium on Nondestructive Testing of Wood, Duluth, MN, USA, 10–12 September 2007; pp. 247–251. [Google Scholar]
- Faggiano, B.; Marzo, A. A method for the determination of the timber density through the statistical assessment of ND transverse measurements aimed at in situ mechanical identification of existing timber structures. Constr. Build. Mater. 2015, 101, 1235–1240. [Google Scholar] [CrossRef]
- Llana, D.F.; Íñiguez-González, G.; Montón, J.; Arriaga, F. In-situ density estimation by four nondestructive techniques on Norway spruce from built-in wood structures. Holzforschung 2018, 72, 871–879. [Google Scholar] [CrossRef]
- Íñiguez-González, G.; Montón, J.; Arriaga, F.; Segués, E. In-situ assessment of structural timber density using non-destructive and semi-destructive testing. Bioresources 2015, 10, 2256–2265. [Google Scholar] [CrossRef]
- Acuña, L.; Basterra, L.A.; Casado, M.; López, G.; Ramón, G.; Relea, E.; Martínez, C.; González, A. Aplicación del resistógrafo a la obtención de la densidad y la diferenciación de 492 especies de madera [Application of resistograph to obtain the density and to differentiate wood species]. Mater. Construcc. 2011, 61, 451–464. [Google Scholar] [CrossRef]
- Morales-Conde, M.J.; Machado, J.S. Evaluation of cross-sectional variation of timber bending modulus of elasticity by stress waves. Constr. Build. Mater. 2017, 134, 617–625. [Google Scholar] [CrossRef]
- Nowak, T.; Karolak, A.; Sobotka, M.; Wyjadlowski, M. Assessment of the condition of wharf timber sheet wall material by means of selected non-destructive methods. Materials 2019, 12, 1532. [Google Scholar] [CrossRef] [PubMed]
- Bobadilla, I.; Martínez, R.D.; Calvo, J.; Arriaga, F.; Íñiguez-González, G. First steps in wood density estimation using a conventional drill. In Proceedings of the 18th International Nondestructive Testing and Evaluation of Wood Symposium, Madison, WI, USA, 24–27 September 2013; pp. 112–118. [Google Scholar]
- Martinez, R.; Calvo, J.; Arriaga, F.; Bobadilla, I. In situ density estimation of timber pieces by drilling residue analysis. Eur. J. Wood Prod. 2018, 76, 509–515. [Google Scholar] [CrossRef]
- Martínez, R.D.; Balmori, J.-A.; Llana, D.F.; Bobadilla, I. Wood Density Determination by Drilling Chips Extraction in Ten Softwood and Hardwood Species. Forests 2020, 11, 383. [Google Scholar] [CrossRef]
- Pellerin, R.F.; Ross, R.F.; Beall, F.C.; Bradshaw, B.K.; Cheung, K.; Wang, X. Nondestructive Evaluation of Wood; Forest Products Society: Madison, WI, USA, 2002. [Google Scholar]
- Ishiguri, F.; Matsui, R.; Iizuka, K.; Yokota, S.; Yoshizawa, N. Prediction of the mechanical properties of lumber by stresswave velocity and Pilodyn penetration of 36-year-old Japanese larch trees. Holz. Roh. Werkst. 2008, 66, 275–280. [Google Scholar] [CrossRef]
- Kharrat, W.; Koubaa, A.; Khlif, M.; Bradai, C. Intra-Ring Wood Density and Dynamic Modulus of Elasticity Profiles for Black Spruce and Jack Pine from X-Ray Densitometry and Ultrasonic Wave Velocity Measurement. Forests 2019, 10, 569. [Google Scholar] [CrossRef]
- Iñiguez-González, G.; Arriaga, F.; Esteban, M.; Llana, D.F. Reference conditions and modification factors for the standardization of non-destructive variables used in the evaluation of existing timber structures. Constr. Build. Mater. 2015, 101, 1166–1171. [Google Scholar] [CrossRef]
- Llana, D.F.; Iñiguez-González, G.; Esteban, M.; Hermoso, E.; Arriaga, F. Timber moisture content adjustment factors for non-destructive testing (NDT): Acustic, vibration, and probing techniques. Holzforschung 2020. In press. [Google Scholar] [CrossRef]
- Kollmann, F.; Krech, H. Dynamische Messung der elastischen Holzeigenshaften und der Dämpfung (Dynamic measurement of damping capacity and elastic properties of wood). Holz Roh Werkst. 1960, 18, 41–54. [Google Scholar] [CrossRef]
- Sandoz, J.L. Grading of construction timber by ultrasound. Wood Sci. Technol. 1989, 23, 95–108. [Google Scholar] [CrossRef]
- Wang, X. Effects of size and moisture on stress wave E-rating of structural lumber. In Proceedings of the 10th world Conference on Timber Engineering, Miyazaki, Japan, 2–5 June 2008; pp. 1–8. [Google Scholar]
- Niemz, P.; Bachtiar, E.V. Moisture-dependent elastic characteristics of wood by means of ultrasonic waves and mechanical test. In Proceedings of the 20th International Nondestructive Testing and Evaluation of Wood Symposium, Madison, WI, USA, 12–15 September 2017; pp. 214–221. [Google Scholar]
- Rais, A.; Pretzsch, H.; van de Kuilen JW, G. European beech log and lumber grading in wet and dry conditions using longitudinal vibration. Holzforschung 2020. [Google Scholar] [CrossRef]
- Burmester, L. Zusammenhang zwischen Schallgeschwindigkeit und morphologischen, physikalischen und mechanischer Eigenschaften von Holz (Relationship between sound velocity and the morphological, physical and mechanical properties of wood). Holz. Roh Werkst. 1965, 23, 227–236. [Google Scholar] [CrossRef]
- Mishiro, A. Ultrasonic velocity and moisture content in wood. III. Ultrasonic velocity and average moisture content in wood during desorption (2): During desorption from a water-saturated condition. Mokuzai Gakkaishi 1996, 42, 930–936. [Google Scholar]
- Bucur, V. Acoustic of Wood; Springer: Berlin, Germany, 2006. [Google Scholar] [CrossRef]
- Gonçalves, R.; Leme, O.A. Influence of moisture content on longitudinal, radial and tangential ultrasonic velocity for two Brazilian wood species. Wood Fiber Sci. 2008, 40, 580–586. [Google Scholar]
- Llana, D.F.; Íñiguez-González, G.; Martínez, R.D.; Arriaga, F. Influence of timber moisture content on wave time-of-flight and longitudinal natural frequency in coniferous species for different instruments. Holzforschung 2018, 72, 405–411. [Google Scholar] [CrossRef]
- Görlacher, R. Zerstörungsfreie Prüfung von Holz: Ein “in situ“-Verfahren zur Bestimmung der Rohdichte. (Non-destructive testing of wood. In situ-method for determining wood density). Holz. Roh Werkst. 1987, 45, 273–278. [Google Scholar] [CrossRef]
- Palaia, L.; Galvañ, V.; Cervera, F.; Molina, R. NDT determination of the strength loss of deteriorated wood, by using ultrasonic techniques and a specific wood tester. In Proceedings of the 12th International Symposium on Nondestructive Testing of Wood, Sopron, Hungary, 13–15 September 2000; pp. 327–336. [Google Scholar]
- Lin, C.J.; Wang, S.Y.; Lin, F.C.; Chiu, C.M. Effect of moisture content on the drill resistance value in Taiwania plantation wood. Wood Fiber Sci. 2007, 35, 234–238. [Google Scholar]
- Cockrell, R.A. A study of the screw-holding properties of wood. Tech. Pub. Bull. N. Y. State Coll. For. Syracuse 1933, 44, 27–29. [Google Scholar]
- Hoffmeyer, P. The Pilodyn instrument as a non-destructive tester of the shock resistance of wood. In Proceedings of the 4th Symposium on the Non-Destructive Testing of Wood: Proceedings, Washington State University, Washington, DC, USA, 28–30 August 1978; pp. 47–66. [Google Scholar]
- Smith, S.M.; Morrell, J.J. Correcting Pilodyn measurements of Douglas-Fir for different moisture levels. Forest Prod. J. 1986, 36, 45–46. [Google Scholar]
- Llana, D.F.; Hermoso, E.; Bobadilla, I.; Íñiguez-González, G. Influence of moisture content on the results of penetration and withdrawal resistance measurements on softwoods. Holzforschung 2018, 72, 549–555. [Google Scholar] [CrossRef]
- Delmhorst, W.J. Measuring moisture content of wood by electrical resistance and capacitive methods. In Proceedings of the Symposium on Nondestructive Testing of Wood, Forest Products Laboratory, Madison, WI, USA, 7–9 October 1963. [Google Scholar]
- Slávik, R.; Čekon, M.; Štefaňák, J. A Nondestructive Indirect Approach to Long-Term Wood Moisture Monitoring Based on Electrical Methods. Materials 2019, 12, 2373. [Google Scholar] [CrossRef] [PubMed]
- Martínez, R.D.; Bobadilla, I. Extractor de Muestras de Madera Mediante Taladro (Wood Sample Extractor Using a Conventional Drill). Spain Patent ES2525504. (B27C 3/00) (2006.01), 16 November 2015. Appl. 201330890, 14 July 2013. [Google Scholar]
- Martínez, R.D. Métodos no Destructivos de Estimación de la Densidad de Madera. [Timber Density Estimation by Nondestructive Methods]. Ph.D. Thesis, Universidad de Santiago de Compostela, EPS de Lugo, Spain, 2016. [Google Scholar]
- EN 13183-1. Moisture Content of a Piece of Sawn Timber. Part 1: Determination by Oven Dry Method; European Committee of Standardization (CEN): Brussels, Belgium, 2002. [Google Scholar]
- EN 384:2016+A1:2019. Structural Timber. Determination of Characteristic Values of Mechanical Properties and Density; European Committee of Standardization (CEN): Brussels, Belgium, 2019. [Google Scholar]









| Common Name | Botanical Name | No. of Pieces | Nominal Length (mm) | Nominal Width (mm) | Nominal Thickness (mm) |
|---|---|---|---|---|---|
| Western red cedar | Thuja plicata Donn ex D.Don | 33 | 38 | 90 | 60 |
| Salzmann pine | Pinus nigra Arnold. ssp. salzmannii (Dunal) Franco | 33 | 38 | 90 | 65 |
| Missanda | Erythrophleum sp. Afzel ex G. Don | 33 | 38 | 100 | 70 |
| Group | MCt (%) | MCS (%) | mw (g) | mMCt (g) | (mMCt−1; mMCt+1) (g) | Process to Perform | Next Step |
|---|---|---|---|---|---|---|---|
| 1 | 5 | 10.04 | 72.49 | 69.17 | (68.51; 69.83) | Dry | Drying oven |
| 2 | 10 | 10.04 | 71.54 | 71.51 | (70.86; 72.16) | Stabilized | Storage bag |
| 3 | 15 | 10.04 | 72.06 | 75.31 | (74.65; 75.96) | Moisturize | Humidification chamber |
| 4 | 20 | 10.04 | 71.84 | 78.34 | (77.69; 79.00) | Moisturize | Humidification chamber |
| 5 | 25 | 10.04 | 73.48 | 83.47 | (82.80; 84.14) | Moisturize | Humidification chamber |
| MCt (%) | Species | Mean MCs (%) | CV (%) | Differences with MCt (%) |
|---|---|---|---|---|
| 5 | Western red cedar | 7.01 | 0.78 | 2.01 |
| Salzmann pine | 6.58 | 3.30 | 1.58 | |
| Missanda | 6.22 | 7.43 | 1.22 | |
| 10 | Western red cedar | 9.94 | 0.39 | −0.06 |
| Salzmann pine | 10.65 | 2.44 | 0.65 | |
| Missanda | 10.30 | 0.76 | 0.30 | |
| 15 | Western red cedar | 14.36 | 1.68 | −0.64 |
| Salzmann pine | 14.28 | 3.55 | −0.72 | |
| Missanda | 14.96 | 2.32 | −0.04 | |
| 20 | Western red cedar | 18.41 | 1.92 | −1.59 |
| Salzmann pine | 19.64 | 3.90 | −0.36 | |
| Missanda | 19.27 | 2.70 | −0.73 | |
| 25 | Western red cedar | 24.56 | 1.27 | −0.44 |
| Salzmann pine | 25.90 | 9.86 | 0.90 | |
| Missanda | 24.48 | 2.29 | −0.52 |
| Sp. | MCt (%) | Specimens Density | Chips Mass 8 mm Bit | Chips Mass 7 mm Bit | |||||||
|---|---|---|---|---|---|---|---|---|---|---|---|
| dr8W | dr80 | dr7W | dr70 | ||||||||
| Mean (kg·m−3) | CV (%) | Mean (g) | CV (%) | Mean (g) | CV (%) | Mean (g) | CV (%) | Mean (g) | CV (%) | ||
| Western red cedar | 5 | 341.20 | 0.74 | 1.11 | 2.47 | 1.04 | 2.40 | 1.25 | 1.57 | 1.19 | 1.50 |
| 10 | 350.84 | 1.56 | 1.11 | 1.25 | 1.02 | 1.18 | 1.27 | 2.75 | 1.17 | 1.43 | |
| 15 | 353.05 | 1.64 | 1.08 | 1.36 | 0.99 | 1.79 | 1.17 | 1.68 | 1.07 | 2.55 | |
| 20 | 362.03 | 0.79 | 1.03 | 2.08 | 0.92 | 2.38 | 1.11 | 4.75 | 1.01 | 4.35 | |
| 25 | 370.84 | 1.91 | 1.05 | 2.54 | 0.91 | 2.81 | 1.11 | 2.93 | 0.99 | 2.66 | |
| All | 355.59 | 3.18 | 1.07 | 3.51 | 0.98 | 5.89 | 1.18 | 6.48 | 1.09 | 7.91 | |
| Salzmann pine | 5 | 523.53 | 13.60 | 1.46 | 10.32 | 1.35 | 9.81 | 1.72 | 10.03 | 1.61 | 10.16 |
| 10 | 554.44 | 12.13 | 1.50 | 10.90 | 1.37 | 11.03 | 1.78 | 13.40 | 1.62 | 13.26 | |
| 15 | 514.65 | 14.27 | 1.46 | 12.02 | 1.30 | 11.04 | 1.68 | 8.05 | 1.51 | 8.15 | |
| 20 | 516.46 | 16.58 | 1.39 | 14.76 | 1.21 | 15.22 | 1.54 | 15.50 | 1.37 | 15.23 | |
| 25 | 556.80 | 11.43 | 1.41 | 11.30 | 1.21 | 11.65 | 1.56 | 11.54 | 1.35 | 11.84 | |
| All | 533.17 | 13.13 | 1.44 | 11.41 | 1.29 | 12.22 | 1.65 | 12.39 | 1.49 | 13.50 | |
| Missanda | 5 | 946.46 | 1.51 | 2.43 | 1.36 | 2.30 | 1.21 | 2.82 | 1.60 | 2.67 | 1.53 |
| 10 | 965.77 | 0.51 | 2.46 | 1.92 | 2.26 | 1.87 | 2.75 | 3.59 | 2.54 | 3.56 | |
| 15 | 977.84 | 0.95 | 2.45 | 2.14 | 2.19 | 2.29 | 2.84 | 2.75 | 2.56 | 2.70 | |
| 20 | 983.73 | 1.25 | 2.42 | 2.46 | 2.09 | 2.59 | 2.80 | 1.92 | 2.46 | 1.91 | |
| 25 | 1017.71 | 1.60 | 2.30 | 1.58 | 1.96 | 1.47 | 2.81 | 1.55 | 2.41 | 1.57 | |
| All | 978.30 | 2.70 | 2.41 | 2.88 | 2.17 | 5.81 | 2.80 | 2.46 | 2.53 | 4.14 | |
| All | 5 | 603.73 | 43.70 | 1.67 | 34.97 | 1.57 | 35.52 | 1.93 | 35.30 | 1.82 | 35.45 |
| 10 | 623.68 | 42.61 | 1.69 | 35.06 | 1.55 | 34.94 | 1.93 | 33.49 | 1.78 | 33.85 | |
| 15 | 615.18 | 44.77 | 1.66 | 36.16 | 1.49 | 35.52 | 1.90 | 38.15 | 1.71 | 37.83 | |
| 20 | 620.74 | 44.46 | 1.61 | 38.34 | 1.41 | 37.20 | 1.82 | 41.36 | 1.61 | 40.06 | |
| 25 | 648.45 | 43.50 | 1.54 | 34.75 | 1.32 | 34.07 | 1.83 | 40.80 | 1.59 | 39.55 | |
| All | 622.36 | 42.89 | 1.63 | 35.22 | 1.47 | 35.28 | 1.88 | 37.04 | 1.70 | 36.80 | |
| Sp. | MCt (%) | MCS | MC8 | MC7 | |||
|---|---|---|---|---|---|---|---|
| Mean (%) | CV (%) | Mean (%) | CV (%) | Mean (%) | CV (%) | ||
| Western red cedar | 5 | 7.01 | 0.78 | 6.07 | 7.60 | 5.32 | 7.91 |
| 10 | 9.94 | 0.39 | 7.98 | 4.80 | 8.86 | 42.66 | |
| 15 | 14.36 | 1.68 | 9.82 | 11.79 | 9.37 | 33.32 | |
| 20 | 18.41 | 1.92 | 11.79 | 7.84 | 9.54 | 9.90 | |
| 25 | 24.56 | 1.27 | 14.82 | 4.83 | 12.26 | 4.43 | |
| All | 14.86 | 42.54 | 10.10 | 31.36 | 9.07 | 33.93 | |
| Salzmann pine | 5 | 6.58 | 3.30 | 7.97 | 9.72 | 7.07 | 4.80 |
| 10 | 10.65 | 2.44 | 9.51 | 5.68 | 9.66 | 9.47 | |
| 15 | 14.28 | 3.55 | 11.95 | 9.67 | 11.18 | 5.71 | |
| 20 | 19.64 | 3.90 | 14.84 | 5.95 | 13.03 | 4.12 | |
| 25 | 25.90 | 9.86 | 16.93 | 10.30 | 15.18 | 4.13 | |
| All | 15.41 | 45.35 | 12.24 | 28.67 | 11.22 | 25.76 | |
| Missanda | 5 | 6.22 | 7.43 | 5.65 | 6.43 | 5.69 | 4.46 |
| 10 | 10.30 | 0.76 | 8.86 | 6.13 | 8.26 | 4.64 | |
| 15 | 14.96 | 2.32 | 11.98 | 1.92 | 10.79 | 3.25 | |
| 20 | 19.27 | 2.70 | 15.72 | 4.06 | 13.88 | 4.52 | |
| 25 | 24.48 | 2.29 | 16.81 | 8.42 | 16.37 | 5.20 | |
| All | 15.05 | 43.61 | 11.80 | 36.43 | 11.00 | 35.60 | |
| All | 5 | 6.60 | 6.54 | 6.56 | 17.77 | 6.03 | 13.90 |
| 10 | 10.30 | 3.22 | 8.78 | 9.05 | 8.92 | 24.65 | |
| 15 | 14.53 | 3.26 | 11.25 | 12.20 | 10.45 | 18.32 | |
| 20 | 19.11 | 3.95 | 14.11 | 13.45 | 12.15 | 16.86 | |
| 25 | 24.98 | 6.32 | 16.19 | 10.01 | 14.60 | 12.94 | |
| All | 15.10 | 43.42 | 11.38 | 33.08 | 10.43 | 32.86 | |
| Variable | Mean (%) | Homogeneous Group | |
|---|---|---|---|
| MCS | 15.10 | X | |
| MC8 | 11.38 | X | |
| MC7 | 10.43 | X | |
| Species | MCt (%) | Density at MCt | Density Adjusted at 12% MC | ||
|---|---|---|---|---|---|
| EN 384:2016+A1:2018 | |||||
| Mean (kg·m−3) | CV (%) | Mean (kg·m−3) | CV (%) | ||
| Western red cedar | 5 | 341.20 | 0.74 | 349.72 | 0.75 |
| 10 | 350.84 | 1.56 | 354.44 | 1.56 | |
| 15 | 353.05 | 1.64 | 348.88 | 1.57 | |
| 20 | 362.03 | 0.79 | 350.42 | 0.90 | |
| 25 | 370.84 | 1.91 | 347.55 | 1.80 | |
| All | 355.59 | 3.18 | 350.20 | 1.45 | |
| Salzmann pine | 5 | 523.53 | 13.60 | 537.69 | 13.59 |
| 10 | 554.44 | 12.13 | 558.17 | 12.10 | |
| 15 | 514.65 | 14.27 | 508.64 | 14.06 | |
| 20 | 516.46 | 16.58 | 496.78 | 16.73 | |
| 25 | 556.80 | 11.43 | 518.12 | 11.62 | |
| All | 533.17 | 13.13 | 523.88 | 13.35 | |
| Missanda | 5 | 946.46 | 1.51 | 973.81 | 1.48 |
| 10 | 965.77 | 0.51 | 973.99 | 0.50 | |
| 15 | 977.84 | 0.95 | 963.38 | 0.99 | |
| 20 | 983.73 | 1.25 | 947.98 | 1.31 | |
| 25 | 1017.71 | 1.60 | 954.19 | 1.64 | |
| All | 978.30 | 2.70 | 962.67 | 1.60 | |
| All | 5 | 603.73 | 43.70 | 620.40 | 43.84 |
| 10 | 623.68 | 42.61 | 628.87 | 42.59 | |
| 15 | 615.18 | 44.77 | 606.97 | 44.60 | |
| 20 | 620.74 | 44.46 | 598.39 | 44.39 | |
| 25 | 648.45 | 43.50 | 606.62 | 43.69 | |
| All | 622.36 | 42.89 | 612.25 | 42.86 | |
© 2020 by the authors. Licensee MDPI, Basel, Switzerland. This article is an open access article distributed under the terms and conditions of the Creative Commons Attribution (CC BY) license (http://creativecommons.org/licenses/by/4.0/).
Share and Cite
Martínez, R.D.; Balmori, J.-A.; F. Llana, D.; Bobadilla, I. Wood Density and Moisture Content Estimation by Drilling Chips Extraction Technique. Materials 2020, 13, 1699. https://doi.org/10.3390/ma13071699
Martínez RD, Balmori J-A, F. Llana D, Bobadilla I. Wood Density and Moisture Content Estimation by Drilling Chips Extraction Technique. Materials. 2020; 13(7):1699. https://doi.org/10.3390/ma13071699
Chicago/Turabian StyleMartínez, Roberto D., José-Antonio Balmori, Daniel F. Llana, and Ignacio Bobadilla. 2020. "Wood Density and Moisture Content Estimation by Drilling Chips Extraction Technique" Materials 13, no. 7: 1699. https://doi.org/10.3390/ma13071699
APA StyleMartínez, R. D., Balmori, J.-A., F. Llana, D., & Bobadilla, I. (2020). Wood Density and Moisture Content Estimation by Drilling Chips Extraction Technique. Materials, 13(7), 1699. https://doi.org/10.3390/ma13071699

