Experimental Investigation of Fatigue Debonding Growth in FRP–Concrete Interface
Abstract
1. Introduction
2. Research Significance
- (1)
- To study the load capacity, the stress transfer length and failure mode of the FRP–concrete interface under a monotonic load;
- (2)
- To investigate the behavior and failure mode of the FRP–concrete interface under fatigue loads with different fatigue load ranges and load levels;
- (3)
- To define the rate of the debonding growth along the FRP–concrete interface under fatigue loads with different loading parameters;
- (4)
- To propose a prediction model, which can correctly describe this fatigue debonding growth rate.
3. Materials and Methods
3.1. Details of Test Specimens
3.2. Surface Preparation and Bond Process
3.3. Test Set-Up
3.4. Instrumentation and Testing Procedure
4. Results and Discussions
4.1. Monotonic Tests
4.1.1. Failure Mode
4.1.2. Load–Slip Relationship
4.1.3. FRP Strain Distribution
4.2. Fatigue Tests
4.2.1. Fatigue Loading Process and Data Recording
4.2.2. Failure Mode and Fatigue Life
4.2.3. Load Response
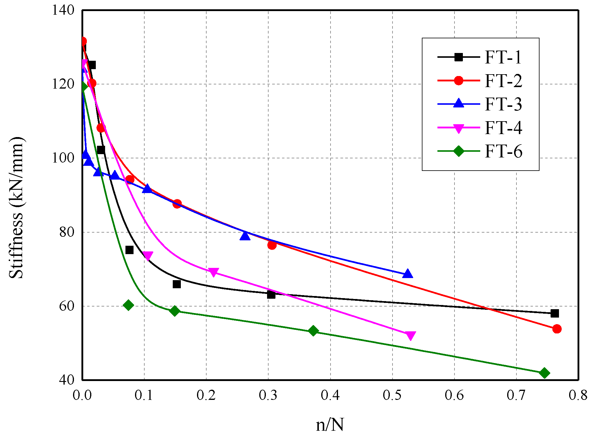
4.2.4. Strain Distribution
4.2.5. Debonding Growth Rate and a New Prediction Model
5. Conclusions
- (1)
- The failure modes of the FRP–concrete interface were the same whether under monotonic or fatigue load, both of which were debonding of CFRP plate with a thin layer of concrete attached on it;
- (2)
- The proposed prediction model relates the fatigue debonding growth rate in FRP–concrete interface to the parameters, which can be easily obtained before the fatigue tests, such as the relative load range and load level, and shows an excellent agreement with the experimental results;
- (3)
- The debond growth rate could be mainly affected by the fatigue load range and fatigue load level;
- (4)
- A greater fatigue load range and higher fatigue load level could lead to a more rapid debond growth rate and lower fatigue life of the bond joint;
- (5)
- Friction between the debonded FRP and the concrete substrate could play an important role in the fatigue behavior of the interface as debond propagating;
- (6)
- Further studies are needed to reveal the influence of FRP stiffness, load frequency, adhesive properties and other possible factors.
Author Contributions
Funding
Acknowledgments
Conflicts of Interest
References
- Meier, U. Strengthening of structures using carbon fibre/epoxy composites. Constr. Build. Mater. 1995, 9, 341–351. [Google Scholar] [CrossRef]
- Curtis, P.T. The fatigue behaviour of fibrous composite materials. J. Strain Anal. Eng. Des. 1989, 24, 235–244. [Google Scholar] [CrossRef]
- Garden, H.N. The Strengthening of Reinforced Concrete Members Using Externally Bonded Composite Materials. Ph.D Thesis, University of Surrey, Guildford, UK, 1997. [Google Scholar]
- Heffernan, P.J. Fatigue Behaviour of Reinforced Concrete Beams Strengthened with CFRP Laminates. Ph.D Thesis, Royal Military College of Canada, Kingston, ON, USA, 1997. [Google Scholar]
- Garcia, C.; Trendafilova, I.; Zucchelli, A. The effect of polycaprolactone nanofibers on the dynamic and impact behavior of glass fibre reinforced polymer composites. J. Compos. Sci. 2018, 2, 43. [Google Scholar] [CrossRef]
- Garden, H.; Hollaway, L. An experimental study of the failure modes of reinforced concrete beams strengthened with prestressed carbon composite plates. Compos. Part B Eng. 1998, 29, 411–424. [Google Scholar] [CrossRef]
- Motavalli, M.; Czaderski, C.; Pfyl-Lang, K. Prestressed CFRP for strengthening of reinforced concrete structures: Recent developments at Empa, Switzerland. J. Compos. Constr. 2011, 15, 194–205. [Google Scholar] [CrossRef]
- Garden, H.N.; Hollaway, L.C.; Thorne, A.M. The strengthening and deformation behaviour of reinforced concrete beams upgraded using prestressed composite plates. Mater. Struct. 1998, 31, 247–258. [Google Scholar] [CrossRef]
- El-Hacha, R.; Wight, R.; Green, M.F. Prestressed fibre-reinforced polymer laminates for strengthening structures. Prog. Struct. Eng. Mater. 2001, 3, 111–121. [Google Scholar] [CrossRef]
- Czaderski, C.; Motavalli, M. 40-Year-old full-scale concrete bridge girder strengthened with prestressed CFRP plates anchored using gradient method. Compos. Part B Eng. 2007, 38, 878–886. [Google Scholar] [CrossRef]
- Käseberg, S.; Meßerer, D.; Holschemacher, K. Assessment of Standards and Codes Dedicated to CFRP Confinement of RC Columns. Materials 2019, 12, 2390. [Google Scholar] [CrossRef]
- Garden, H.; Quantrill, R.; Hollaway, L.; Thorne, A.; Parke, G. An experimental study of the anchorage length of carbon fibre composite plates used to strengthen reinforced concrete beams. Constr. Build. Mater. 1998, 12, 203–219. [Google Scholar] [CrossRef]
- Lu, X.; Teng, J.; Ye, L.; Jiang, J. Bond–slip models for FRP sheets/plates bonded to concrete. Eng. Struct. 2005, 27, 920–937. [Google Scholar] [CrossRef]
- Smith, S.T.; Teng, J. FRP-strengthened RC beams. I: review of debonding strength models. Eng. Struct. 2002, 24, 385–395. [Google Scholar] [CrossRef]
- Ostrowski, K.; Dudek, M.; Sadowski, Ł. Compressive behaviour of concrete-filled carbon fiber-reinforced polymer steel composite tube columns made of high performance concrete. Compos. Struct. 2020, 234, 111668. [Google Scholar] [CrossRef]
- Yin, Y.; Fan, Y. Influence of roughness on shear bonding performance of cfrp-concrete interface. Materials 2018, 11, 1875. [Google Scholar] [CrossRef]
- Liu, S.; Sun, W.; Jing, H.; Dong, Z. Debonding detection and monitoring for CFRP reinforced concrete beams using pizeoceramic sensors. Materials 2019, 12, 2150. [Google Scholar] [CrossRef]
- Liang, H.; Li, S.; Lu, Y.; Yang, T. Reliability analysis of bond behaviour of CFRP–concrete interface under Wet–Dry cycles. Materials 2018, 11, 741. [Google Scholar] [CrossRef]
- Li, K.; Cao, S.; Yang, Y.; Zhu, J. Bond–slip relationship for CFRP sheets externally bonded to concrete under cyclic loading. Materials 2018, 11, 336. [Google Scholar] [CrossRef]
- Teng, J.; Smith, S.T.; Yao, J.; Chen, J. Intermediate crack-induced debonding in RC beams and slabs. Constr. Build. Mater. 2003, 17, 447–462. [Google Scholar] [CrossRef]
- Smith, S.T.; Teng, J. FRP-strengthened RC beams. II: Assessment of debonding strength models. Eng. Struct. 2002, 24, 397–417. [Google Scholar] [CrossRef]
- Oehlers, D.J. Reinforced concrete beams with plates glued to their soffits. J. Struct. Eng. 1992, 118, 2023–2038. [Google Scholar] [CrossRef]
- Saadatmanesh, H.; Malek, A.M. Design guidelines for flexural strengthening of RC Beams with FRP plates. J. Compos. Constr. 1998, 2, 158–164. [Google Scholar] [CrossRef]
- Teng, J.; Yao, J. Plate end debonding in FRP-plated RC beams—II: Strength model. Eng. Struct. 2007, 29, 2472–2486. [Google Scholar] [CrossRef]
- Garden, H.; Hollaway, L. An experimental study of the influence of plate end anchorage of carbon fibre composite plates used to strengthen reinforced concrete beams. Compos. Struct. 1998, 42, 175–188. [Google Scholar] [CrossRef]
- Peng, H.; Zhang, J.; Shang, S.; Liu, Y.; Cai, C. Experimental study of flexural fatigue performance of reinforced concrete beams strengthened with prestressed CFRP plates. Eng. Struct. 2016, 127, 62–72. [Google Scholar] [CrossRef]
- Yao, J.; Teng, J.; Lam, L. Experimental study on intermediate crack debonding in FRP-Strengthened RC flexural members. Adv. Struct. Eng. 2005, 8, 365–396. [Google Scholar] [CrossRef]
- Lu, X.; Teng, J.; Ye, L.P.; Jiang, J.J. Intermediate crack debonding in FRP-Strengthened RC Beams: FE analysis and strength model. J. Compos. Constr. 2007, 11, 161–174. [Google Scholar] [CrossRef]
- Mazzotti, C.; Savoia, M. FRP-Concrete bond behaviour under cyclic debonding force. Adv. Struct. Eng. 2009, 12, 771–780. [Google Scholar] [CrossRef]
- Carloni, C.; Subramaniam, K.V.; Savoia, M.; Mazzotti, C. Experimental determination of FRP–concrete cohesive interface properties under fatigue loading. Compos. Struct. 2012, 94, 1288–1296. [Google Scholar] [CrossRef]
- Daud, R.A.; Cunningham, L.S.; Wang, Y.C. New model for post-fatigue behaviour of CFRP to concrete bond interface in single shear. Compos. Struct. 2017, 163, 63–76. [Google Scholar] [CrossRef]
- Bizindavyi, L.; Neale, K.W. Transfer lengths and bond strengths for composites bonded to concrete. J. Compos. Constr. 1999, 3, 153–160. [Google Scholar] [CrossRef]
- Carloni, C.; Subramaniam, K.V.L. Direct determination of cohesive stress transfer during debonding of FRP from concrete. Compos. Struct. 2010, 93, 184–192. [Google Scholar] [CrossRef]
- Bizindavyi, L.; Neale, K.W.; Erki, M.A. Experimental investigation of bonded fiber reinforced polymer-concrete joints under cyclic loading. J. Compos. Constr. 2003, 7, 127–134. [Google Scholar] [CrossRef]
- Diab, H.; Iwashita, K.; Wu, Z. Theoretical solution for fatigue debonding growth and fatigue life prediction of FRP-concrete interfaces. Adv. Struct. Eng. 2009, 12, 781–792. [Google Scholar] [CrossRef]
- Carloni, C.; Subramaniam, K.V.L. Investigation of sub-critical fatigue crack growth in FRP/concrete cohesive interface using digital image analysis. Compos. Part B Eng. 2013, 51, 35–43. [Google Scholar] [CrossRef]
- Daud, R.A.; Cunningham, L.S.; Wang, Y.C. Static and fatigue behaviour of the bond interface between concrete and externally bonded CFRP in single shear. Eng. Struct. 2015, 97, 54–67. [Google Scholar] [CrossRef]
- Chen, J.; Teng, J. Anchorage strength models for FRP and steel plates bonded to concrete. J. Struct. Eng. 2001, 127, 784–791. [Google Scholar] [CrossRef]
- GB/T. Fiber-Reinforced Plastics Composites-Determination of Tensile Properties; China Architecture & Building Press: Beijing, China, 2005; pp. 1447–2005. (In Chinese) [Google Scholar]
- GB/T 50081-2002. Standard for Test Method of Mechanical Properties on Ordinary Concrete; China Architecture & Building Press: Beijing, China, 2003. (In Chinese) [Google Scholar]
- Paris, P.; Erdogan, F.A. Critical analysis of crack propagation laws. J. Basic Eng. 1963. [Google Scholar] [CrossRef]
















| Loading Type | Specimen | Load Range | |||
|---|---|---|---|---|---|
| Static | MT-1 | Monotonically loaded to failure | |||
| MT-2 | |||||
| MT-3 | |||||
| Fatigue | FT-1 | 0.1 | 0.6 | 0.25 | 0.35 |
| FT-2 | 0.1 | 0.625 | 0.2625 | 0.3625 | |
| FT-3 | 0.1 | 0.65 | 0.275 | 0.375 | |
| FT-4 | 0.1 | 0.7 | 0.3 | 0.4 | |
| FT-5 | 0.1 | 0.8 | 0.35 | 0.45 | |
| FT-6 | 0.2 | 0.7 | 0.25 | 0.45 | |
| FT-7 | 0.2 | 0.8 | 0.3 | 0.5 | |
| Properties | Value/Description |
|---|---|
| Density | 1.6 kg/L |
| Character | Grey viscous gel |
| Shear strength (steel to steel) | 18.4 MPa |
| Specimen | ||||||||
|---|---|---|---|---|---|---|---|---|
| MT-1 | 44.9 | static tests | ||||||
| MT-2 | 45.5 | |||||||
| MT-3 | 45.8 | |||||||
| FT-1 | – | 0.1 | 4.5 | 0.6 | 26.9 | 0.25 | 0.35 | 190,534 |
| FT-2 | 0.1 | 4.5 | 0.625 | 28.1 | 0.2625 | 0.3625 | 65,317 | |
| FT-3 | 0.1 | 4.5 | 0.65 | 29.3 | 0.275 | 0.375 | 65,611 | |
| FT-4 | 0.1 | 4.5 | 0.7 | 31.5 | 0.3 | 0.4 | 9443 | |
| FT-5 | 0.1 | 4.5 | 0.8 | 36.5 | 0.35 | 0.45 | 332 | |
| FT-6 | 0.2 | 9 | 0.7 | 31.6 | 0.25 | 0.45 | 13,417 | |
| FT-7 | 0.2 | 9 | 0.8 | 36.0 | 0.3 | 0.5 | 227 | |
© 2020 by the authors. Licensee MDPI, Basel, Switzerland. This article is an open access article distributed under the terms and conditions of the Creative Commons Attribution (CC BY) license (http://creativecommons.org/licenses/by/4.0/).
Share and Cite
Min, X.; Zhang, J.; Wang, C.; Song, S.; Yang, D. Experimental Investigation of Fatigue Debonding Growth in FRP–Concrete Interface. Materials 2020, 13, 1459. https://doi.org/10.3390/ma13061459
Min X, Zhang J, Wang C, Song S, Yang D. Experimental Investigation of Fatigue Debonding Growth in FRP–Concrete Interface. Materials. 2020; 13(6):1459. https://doi.org/10.3390/ma13061459
Chicago/Turabian StyleMin, Xinzhe, Jiwen Zhang, Chao Wang, Shoutan Song, and Dong Yang. 2020. "Experimental Investigation of Fatigue Debonding Growth in FRP–Concrete Interface" Materials 13, no. 6: 1459. https://doi.org/10.3390/ma13061459
APA StyleMin, X., Zhang, J., Wang, C., Song, S., & Yang, D. (2020). Experimental Investigation of Fatigue Debonding Growth in FRP–Concrete Interface. Materials, 13(6), 1459. https://doi.org/10.3390/ma13061459
