Effects of B2O3 on Melting Characteristics and Temperature-Dependent Viscosity of High-Basicity CaO–SiO2–FeOx–MgO Slag
Abstract
1. Introduction
2. Methodology and Experiment
2.1. Preparation of Pre-Melted Slag
2.2. Calculation Method Using FactSage
2.3. Determination of Melting Characteristics
2.4. Viscosity Measurements
3. Results and Discussion
3.1. Effects of B2O3 on Phase and MCT of CaO–SiO2–FeOx–MgO System
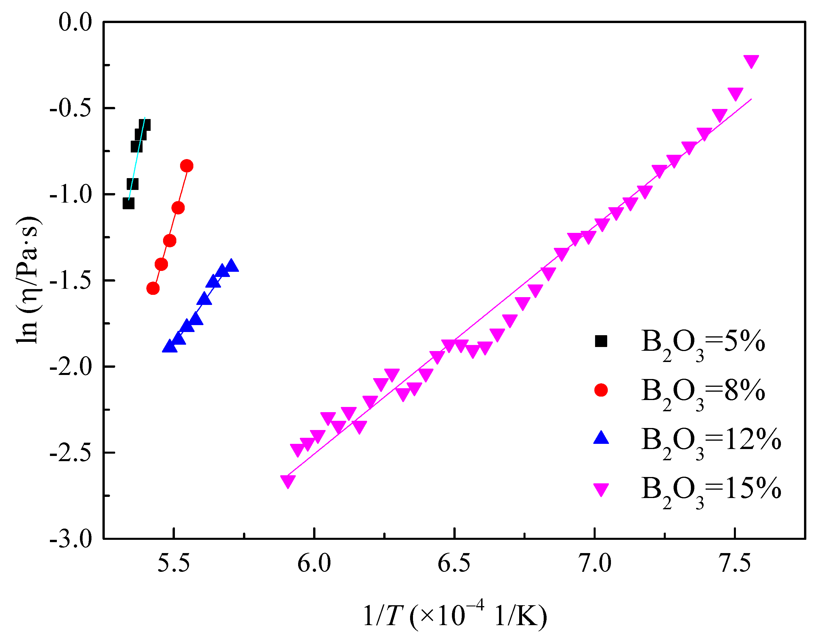
3.2. Effects of B2O3 on Break Temperature and Apparent Activation Energy of CaO–SiO2–FeOx–MgO System
4. Conclusions
Author Contributions
Funding
Conflicts of Interest
References
- World Steel Association. Steel statistical yearbook 2019 concise version. 2019. Available online: https://www.worldsteel.org/zh/steel-by-topic/statistics/steel-statistical-yearbook.html (accessed on 7 March 2020).
- Wang, W.L.; Bai, Z.M. Fluorite Resources in China and its Industrial Development Status. Met. Mine (Chin.) 2014, 3, 1–9. [Google Scholar]
- National Mineral Resources Planning (2016–2020). Ministry of Natural Resources of the People’s Republic of China. 2016. Available online: http://www.mnr.gov.cn/gk/ghjh/201811/t20181101_2324927.html (accessed on 7 March 2020).
- Fox, A.B.; Mills, K.C.; Lever, D.; Bezerra, C.; Valadares, C.; Unamuno, I.; Laraudogoitia, J.J.; Gisby, J. Development of fluoride-free fluxes for billet casting. ISIJ Int. 2005, 45, 1051–1058. [Google Scholar] [CrossRef]
- Shi, C.B.; Zheng, D.L.; Shin, S.H.; Li, J.; Cho, J.W. Effect of TiO2 on the viscosity and structure of low-Fluoride slag used for electroslag remelting of Ti-Containing steels. Int. J. Miner. Metall. Mater. 2017, 24, 18–24. [Google Scholar] [CrossRef]
- He, S.P.; Xu, C.S.; Wang, Q.; Chi, J.H.; Li, Y.G.; Qiu, G.B. Discussion of Relevant Technical Problems in Fluorine-Free Mould Fluxes. J. Iron Steel Res. (Chin.) 2007, 19, 1–3. [Google Scholar] [CrossRef]
- Sakamaki, T.; Yagi, T.; Susa, M. Form of fluorine in Na2O-NaF-SiO2 slags determined by infrared spectroscopy. Ironmak. Steelmak. 2003, 30, 396–398. [Google Scholar] [CrossRef]
- He, S.P.; Xie, B.; Wang, Q.; Wang, Y.; Wu, G.R. Study on the Relationship between Composition and Melting Point of Fluorine-Free Continuous Casting Slag. In Proceedings of the 2003 China Iron and Steel Annual Meeting, Beijing, China, 1 October 2003; pp. 1542–1544. [Google Scholar]
- Qiu, B.; Yuan, S.Q.; Cao, Y.L.; Song, M.J.; Liang, D.A.; Zhang, Q.Y. Experimental study on effect of addictives on fluorine-Free mold power. Metall. Collect. (Chin.) 2009, 4, 4–7. [Google Scholar] [CrossRef]
- Wang, L.; Cui, Y.; Yang, J.; Zhang, C.; Cai, D.X.; Zhang, J.Q.; Sasaki, Y.; Ostrovski, O. Melting Properties and Viscosity of SiO2-CaO-Al2O3-B2O3 System. Steel Res. Int. 2015, 86, 670–677. [Google Scholar] [CrossRef]
- Kim, G.H.; Sohn, I. Role of B2O3 on the viscosity and structure in the CaO-Al2O3-Na2O-based system. Metall. Mater. Trans. B 2014, 45, 86–95. [Google Scholar] [CrossRef]
- Zhang, L.; Wang, W.L.; Zhai, B.Y.; Sohn, I. The evolution of the mold flux melt structure during the process of fluorine replacement by B2O3. J. Am. Ceram. Soc. 2020, 103, 112–121. [Google Scholar] [CrossRef]
- Zhang, L.; Wang, W.L.; Xie, S.L.; Zhang, K.X.; Sohn, I. Effect of basicity and B2O3 on the viscosity and structure of fluorine-Free mold flux. J. Non-Cryst Solids 2017, 460, 113–118. [Google Scholar] [CrossRef]
- Wang, L.; Zhang, C.; Cai, D.X.; Zhang, J.Q.; Sasaki, Y.; Ostrovski, O. Effects of CaO/SiO2 ratio and Na2O content on melting properties and viscosity of SiO2-CaO-Al2O3-B2O3-Na2O mold fluxes. Metall. Mater. Trans. B 2017, 48, 516–526. [Google Scholar] [CrossRef]
- Wen, G.H.; Sridhar, S.; Tang, P.; Qi, X.; Liu, Y.Q. Development of fluoride-Free mold powders for peritectic steel slab casting. ISIJ Int. 2007, 47, 1117–1125. [Google Scholar] [CrossRef]
- Shen, Y.Y.; Chong, J.K.; Huang, Z.N.; Tian, J.K.; Zhang, W.J.; Tang, X.C.; Ding, W.W.; Du, X.Y. Viscosity and Structure of a CaO-SiO2-FeO-MgO System during a Modified Process from Nickel Slag by CaO. Materials 2019, 12, 2562. [Google Scholar] [CrossRef] [PubMed]
- Fan, X.Y.; Zhang, J.L.; Jiao, K.X.; Xu, R.Z.; Wang, K.D. Influence of B2O3 on viscosity and structure of low MgO slag containing titanium. Metall. Res. Technol. 2018, 115, 313. [Google Scholar] [CrossRef]
- Sridhar, S.; Mills, K.C.; Afrange, O.D.C.; Lorz, H.P.; Carli, R. Break temperatures of mould fluxes and their relevance to continuous casting. Ironmak. Steelmak. 2000, 27, 238–242. [Google Scholar] [CrossRef]
- Kim, G.H.; Sohn, I. A study of the viscous properties with NaF additions in the CaO-SiO2-12 mass pct Na2O based slags. Metall. Mater. Trans. B 2011, 42, 1218–1223. [Google Scholar] [CrossRef]
- Wang, W.L.; Dai, S.F.; Zhou, L.J.; Zhang, J.K.; Tian, W.G.; Xu, J.L. Viscosity and structure of MgO–SiO2-based slag melt with varying B2O3 content. Ceram. Int. 2020, 46, 3631–3636. [Google Scholar] [CrossRef]
- Kölbl, N.; Harmuth, H. Automated break temperature determination of mould slags for the continuous casting of steel based on temperature-dependent viscosity data. Ironmak. Steelmak. 2019, 1–4. [Google Scholar] [CrossRef]
- Kondratiev, A.; Ilyushechkin, A. Flow behaviour of crystallising coal ash slags: Shear viscosity, non-Newtonian flow and temperature of critical viscosity. Fuel 2018, 224, 783–800. [Google Scholar] [CrossRef]
- Xuan, W.; Zhang, J.; Xia, D. Crystallization characteristics of a coal slag and influence of crystals on the sharp increase of viscosity. Fuel 2016, 176, 102–109. [Google Scholar] [CrossRef]
- Kim, G.H.; Sohn, I. Effect of CaF2, B2O3 and the CaO/SiO2 mass ratio on the viscosity and structure of B2O3-containing calcium-Silicate-Based melts. J. Am. Ceram. Soc. 2019, 102, 6575–6590. [Google Scholar] [CrossRef]
- Bian, L.T.; Gao, Y.H. Influence of B2O3 and basicity on viscosity and structure of medium titanium bearing blast furnace slag. J. Chem. 2016, 6754593. [Google Scholar] [CrossRef]
- Li, Q.H.; Yang, S.F.; Zhang, Y.L.; An, Z.Q.; Guo, Z.C. Effects of MgO, Na2O, and B2O3 on the viscosity and structure of Cr2O3-Bearing CaO–SiO2–Al2O3 slags. ISIJ Int. 2017, 57, 689–696. [Google Scholar] [CrossRef]
- Roscoe, R. The viscosity of suspensions of rigid spheres. Br. J. Appl. Phys. 1952, 3, 267. [Google Scholar] [CrossRef]
- Arrhenius, S. The viscosity of solutions. Biochem. J. 1917, 11, 112. [Google Scholar] [CrossRef] [PubMed]















| CaO | FeOx | SiO2 | MgO | Al2O3 | Other |
|---|---|---|---|---|---|
| 50.04 | 17.87 | 15.86 | 6.17 | 4.08 | 5.98 |
| Sample | CaO | SiO2 | FeOx | MgO | B2O3 |
|---|---|---|---|---|---|
| A1 | 55.64 | 17.63 | 19.87 | 6.86 | 0.00 |
| A2 | 52.86 | 16.75 | 18.88 | 6.51 | 5.00 |
| A3 | 51.19 | 16.22 | 18.28 | 6.31 | 8.00 |
| A4 | 50.07 | 15.87 | 17.89 | 6.17 | 10.00 |
| A5 | 48.96 | 15.52 | 17.49 | 6.03 | 12.00 |
| A6 | 47.29 | 14.99 | 16.89 | 5.83 | 15.00 |
© 2020 by the authors. Licensee MDPI, Basel, Switzerland. This article is an open access article distributed under the terms and conditions of the Creative Commons Attribution (CC BY) license (http://creativecommons.org/licenses/by/4.0/).
Share and Cite
Chong, J.; Shen, Y.; Yang, P.; Tian, J.; Zhang, W.; Tang, X.; Du, X. Effects of B2O3 on Melting Characteristics and Temperature-Dependent Viscosity of High-Basicity CaO–SiO2–FeOx–MgO Slag. Materials 2020, 13, 1214. https://doi.org/10.3390/ma13051214
Chong J, Shen Y, Yang P, Tian J, Zhang W, Tang X, Du X. Effects of B2O3 on Melting Characteristics and Temperature-Dependent Viscosity of High-Basicity CaO–SiO2–FeOx–MgO Slag. Materials. 2020; 13(5):1214. https://doi.org/10.3390/ma13051214
Chicago/Turabian StyleChong, Junkai, Yingying Shen, Peng Yang, Jianke Tian, Wenjuan Zhang, Xingchang Tang, and Xueyan Du. 2020. "Effects of B2O3 on Melting Characteristics and Temperature-Dependent Viscosity of High-Basicity CaO–SiO2–FeOx–MgO Slag" Materials 13, no. 5: 1214. https://doi.org/10.3390/ma13051214
APA StyleChong, J., Shen, Y., Yang, P., Tian, J., Zhang, W., Tang, X., & Du, X. (2020). Effects of B2O3 on Melting Characteristics and Temperature-Dependent Viscosity of High-Basicity CaO–SiO2–FeOx–MgO Slag. Materials, 13(5), 1214. https://doi.org/10.3390/ma13051214

