Modified Chitosan for Silver Recovery—Kinetics, Thermodynamic, and Equilibrium Studies
Abstract
1. Introduction
2. Experimental Part
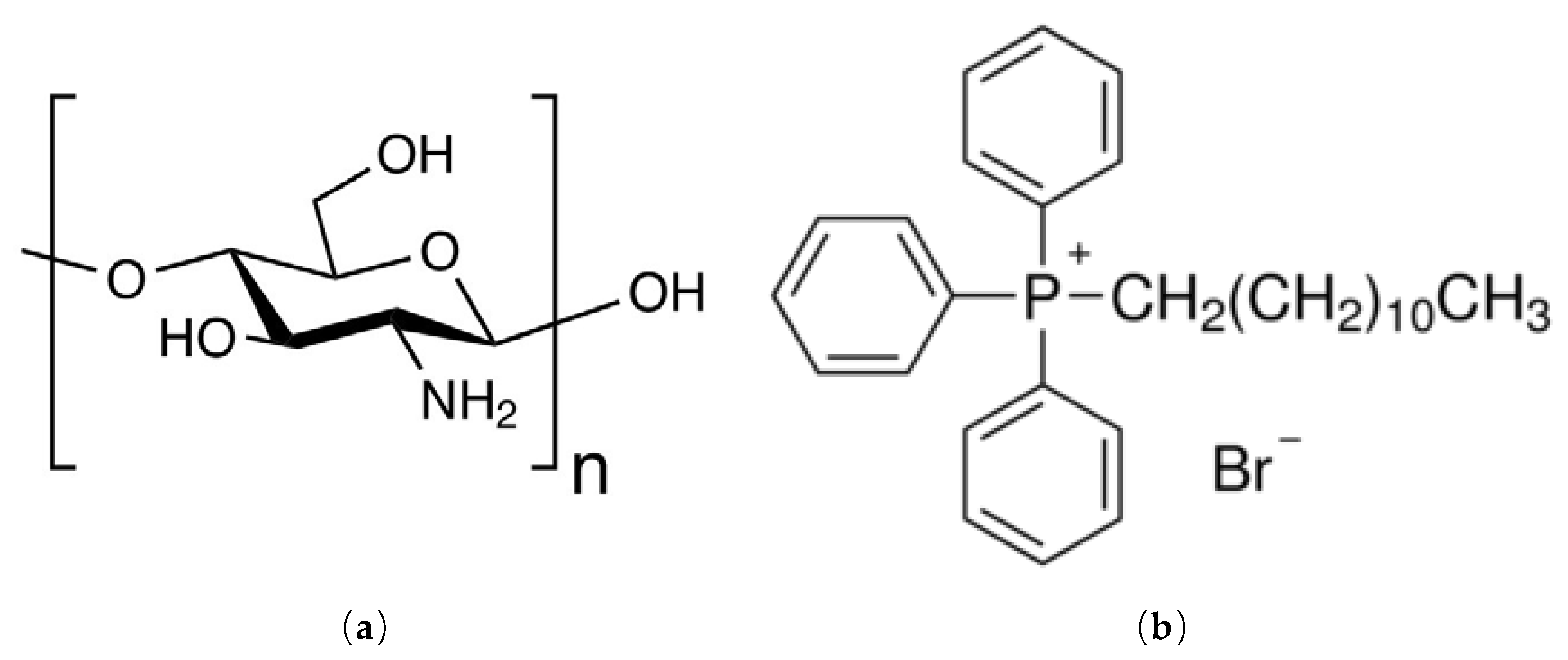
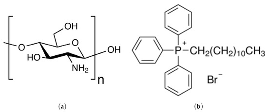
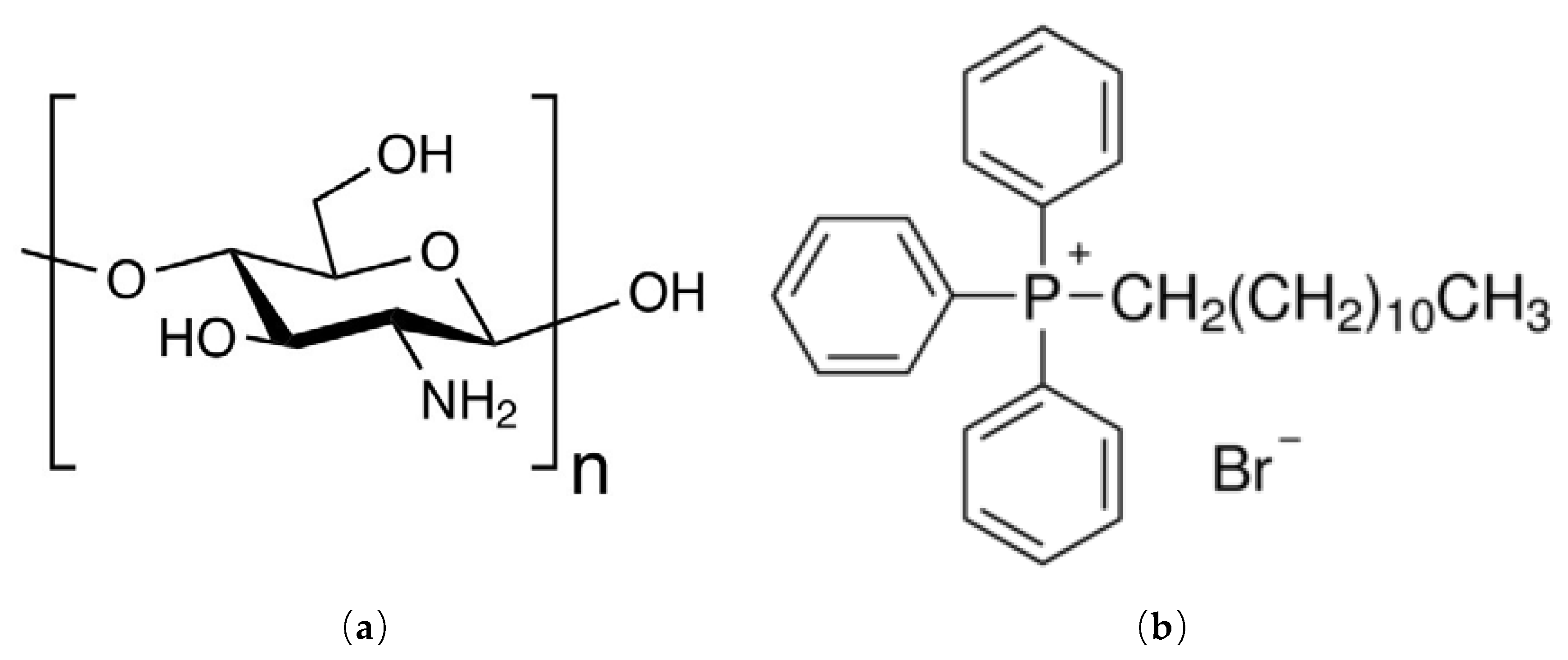
2.1. Materials Synthesies
2.2. Material Characterization
2.3. Batch Adsorption Experiments
- Co—the initial concentration of silver (I) in solution, (mg/L)
- Cf—the residual concentration of silver (I) in solution, (mg/L)
- V—the volume of solution, (L)
- m—mass of the adsorbent material, (g)
2.4. Silver Recovery
3. Results and Discussions
3.1. Characterization of the Synthesized Materials
3.1.1. Scanning Electron Microscopy (SEM) and X-Ray Energy Dispersion Spectroscopy (EDX).
3.1.2. Fourier-Transform Infrared Spectroscopy, FT-IR
3.2. Adsorption Studies
3.2.1. Influence of the pH on the Adsorption Process
3.2.2. The Influence of the Time of Contact and Temperature on the Adsorption Process
3.3. Kinetic Studies
3.4. Thermodynamic Studies
- R is the gas constant,
- Kd is the equilibrium constant,
- T is the temperature (K),
- CAe is the equilibrium concentration Ag(I) on adsorbent (mg/L), and
- Ce is the equilibrium concentration of Ag(I)in the solution (mg/L).
3.5. Activation Energy
- k2—velocity constant (g/min∙mg)
- A—Arrhenius’s constant (g∙min/mg)
- Ea—activation energy (kJ/mol)
- T—absolute temperature (K)
- R—ideal gas constant (8.314 J/mol∙K)
3.6. Equilibrium Studies—Adsorption Isotherms
- qe—the maximum absorption capacity (mg/g)
- Cf—the equilibrium concentration or final concentration of Ag(I) in solution (mg/L)
- qmax—Langmuir maximum adsorption capacity (mg/g)
- KL—Langmuir constant.
- qe—the maximum absorption capacity (mg/g)
- Cf—the equilibrium concentration or final concentration of Ag (I) in solution (mg/g)
- KF and nf—the characteristic constants that can be related to the relative adsorption capacity of the adsorbent and the intensity of adsorption.
- qS—the maximum absorption capacity (mg/g)
- KS—constant related to the adsorption capacity of the adsorbent
- nS—the heterogeneity factor.
3.7. Silver Recovery
4. Conclusions
Author Contributions
Funding
Acknowledgments
Conflicts of Interest
References
- Antunes, E.; Jacob, M.V.; Brodie, G.; Schneider, P.A. Silver removal from aqueous solution by biochar produced from biosolids via microwave pyrolysis. J. Environ. Manag. 2017, 203, 264–272. [Google Scholar] [CrossRef]
- Birloaga, I.; Veglio, F. Overview on hydrometallurgical procedures for silver recovery from various wastes. J. Environ. Chem. Eng. 2018, 6, 2932–2938. [Google Scholar] [CrossRef]
- Martin, F.; Peter, B.; Jaroslav, B. Study of the silver ions cementation after mechanical activation of cementator. Hydrometallurgy 2009, 97, 15–20. [Google Scholar]
- Syed, S. Silver recovery aqueous techniques from diverse sources: Hydrometallurgy in recycling. Waste Manag. 2016, 50, 234–256. [Google Scholar] [CrossRef] [PubMed]
- Syed, S. A critical review on the recovery of silver from photographic processing waste. J. Saudi Chem. Soc. 2005, 9, 243–252. [Google Scholar]
- Chansoo, C.; Yufeng, C. Recovery of silver from wastewater coupled with power generation using a microbial fuel cell. Bioresour. Technol. 2012, 107, 522–525. [Google Scholar]
- Liang, H.; Tang, Q.; Yu, K.; Li, S.; Ke, J. Preparation of metallic silver from Ag2S slurry by direct hydrogen reduction under hydrothermal conditions. Mater. Lett. 2007, 61, 1020–1022. [Google Scholar] [CrossRef]
- Hu-Chun, T.; Zhu-You, G.; Hui, D.; Nan, X.; Wei-Min, W. Recovery of silver from silver (I)-containing solutions in bio-electrochemical reactors. Bioresour. Technol. 2012, 111, 92–97. [Google Scholar]
- Toxicological Profile for Silver. US Department of Health and Human Services, Atlanta, GA. Agency for Toxic Substances Disease Registry (ATSDR); 1990. Available online: https://www.atsdr.cdc.gov/ToxProfiles/tp.asp?id=539&tid=97 (accessed on 15 September 2019).
- Zhou, Y.; Gao, B.; Zimmerman, A.R.; Cao, X. Biochar-supported zerovalent iron reclaims silver from aqueous solution to form antimicrobial nanocomposite. Chemosphere 2014, 117, 801–805. [Google Scholar] [CrossRef]
- Ok, Y.S.; Uchimiya, S.M.; Chang, S.X.; Bolan, N. Biochar: Production, Characterization and Applications; CRC Press Taylor and Francis Group: Boca Raton, FL, USA, 2016; Volume 1, pp. 45–66. [Google Scholar]
- Ahmad, M.; Rajapaksha, A.U.; Lim, J.E.; Zhang, M.; Bolan, N.; Mohan, D.; Ok, Y.S. Biochar as a sorbent for contaminant management in soil and wate: a review. Chemosphere 2014, 99, 19–33. [Google Scholar] [CrossRef]
- Bhavani, K.; Roshan Ara Begum, E.; Selvakumar, S.; Shenbagarathai, R. Chitosan A Low Cost Adsorbent for Electroplating Waste Water Treatment. J. Bioremediation Biodegradation 2016, 7, 346. [Google Scholar] [CrossRef]
- Muzzarelli, R.A.A. Natural Chelating Polymers: Alginic Acid, Chitin, and Chitosan; Pergamon Press: Oxford, UK, 1973; Volume 55. [Google Scholar]
- Zhang, J.; Xia, W.; Liu, P.; Cheng, Q.; Tahi, T.; Gu, W.; Li, B.; Tahirou, T. Chitosan Modification and Pharmaceutical/Biomedical Applications. Mar. Drugs 2010, 8, 1962–1987. [Google Scholar] [CrossRef] [PubMed]
- Wen, Z.-S.; Xu, Y.-L.; Zou, X.-T.; Xu, Z.-R. Chitosan Nanoparticles Act as an Adjuvant to Promote both Th1 and Th2 Immune Responses Induced by Ovalbumin in Mice. Mar. Drugs 2011, 9, 1038–1055. [Google Scholar] [CrossRef] [PubMed]
- Wen, Z.S.; Liu, L.J.; Qu, Y.L.; OuYang, X.K.; Yang, L.Y.; Xu, Z.R. Chitosan nanoparticles attenuate hydrogen peroxide-induced stress injuryin mouse macrophage raw264.7 cells. Mar. Drugs 2013, 11, 3582–3600. [Google Scholar] [CrossRef]
- Venkatesan, J.; Kim, S.-K. Chitosan Composites for Bone Tissue Engineering—An Overview. Mar. Drugs 2010, 8, 2252–2266. [Google Scholar] [CrossRef]
- Venkatesan, J.; Bhatnagar, I.; Kim, S.-K. Chitosan-Alginate Biocomposite Containing Fucoidan for Bone Tissue Engineering. Mar. Drugs 2014, 12, 300–316. [Google Scholar] [CrossRef]
- Vázquez, J.A.; Rodríguez-Amado, I.; Montemayor, M.I.; Fraguas, J.; del González, M.P.; Murado, M.A. Chondroitin sulfate, hyaluronic acid and chitin/chitosan production using marine waste sources: Characteristics, applications and eco-friendly processes: A review. Mar. Drugs 2013, 11, 747–774. [Google Scholar] [CrossRef]
- Tsai, Z.-T.; Tsai, F.-Y.; Yang, W.-C.; Wang, J.-F.; Liu, C.-L.; Shen, C.-R.; Yen, T.-C. Preparation and Characterization of Ferrofluid Stabilized with Biocompatible Chitosan and Dextran Sulfate Hybrid Biopolymer as a Potential Magnetic Resonance Imaging (MRI) T2 Contrast Agent. Mar. Drugs 2012, 10, 2403–2414. [Google Scholar] [CrossRef]
- Muzzarelli, R.A.A. Biomedical Exploitation of Chitin and Chitosan via Mechano-Chemical Disassembly, Electrospinning, Dissolution in Imidazolium Ionic Liquids, and Supercritical Drying. Mar. Drugs 2011, 9, 1510–1533. [Google Scholar] [CrossRef]
- Li, B.; Shan, C.L.; Zhou, Q.; Fang, Y.; Wang, Y.L.; Xu, F.; Han, L.R.; Ibrahim, M.; Guo, L.B.; Xie, G.L.; et al. Synthesis, characterization, and antibacterial activity of cross-linked chitosan-glutaraldehyde. Mar. Drugs 2013, 11, 1534–1552. [Google Scholar] [CrossRef]
- Korkiatithaweechai, S.; Umsarika, P.; Praphairaksit, N.; Muangsin, N. Controlled Release of Diclofenac from Matrix Polymer of Chitosan and Oxidized Konjac Glucomannan. Mar. Drugs 2011, 9, 1649–1663. [Google Scholar] [CrossRef] [PubMed]
- Guo, L.; Liu, G.; Hong, R.-Y.; Li, H.-Z. Preparation and Characterization of Chitosan Poly(acrylic acid) Magnetic Microspheres. Mar. Drugs 2010, 8, 2212–2222. [Google Scholar] [CrossRef] [PubMed]
- Cheng, M.; Gao, X.; Wang, Y.; Chen, H.; He, B.; Xu, H.; Li, Y.; Han, J.; Zhang, Z. Synthesis of Glycyrrhetinic Acid-Modified Chitosan 5-Fluorouracil Nanoparticles and Its Inhibition of Liver Cancer Characteristics in Vitro and in Vivo. Mar. Drugs 2013, 11, 3517–3536. [Google Scholar] [CrossRef] [PubMed]
- Chen, J.-K.; Yeh, C.-H.; Wang, L.-C.; Liou, T.-H.; Shen, C.-R.; Liu, C.-L. Chitosan, the Marine Functional Food, Is a Potent Adsorbent of Humic Acid. Mar. Drugs 2011, 9, 2488–2498. [Google Scholar] [CrossRef]
- Kyzas, G.Z.; Bikiaris, D.N. Recent Modifications of Chitosan for Adsorption Applications: A Critical and Systematic Review. Mar. Drugs 2015, 13, 312–337. [Google Scholar] [CrossRef]
- Cortina, J.L.; Warshawsky, A. Developments in solid-liquid extraction by solvent-impregnated resins. In Ion Exchage and Solvent Extraction; Marinsky, J.A., Marcus, Y., Eds.; Marcel Dekker Inc.: New York, NY, USA, 1997; pp. 195–293. [Google Scholar]
- Lagergren, S. About the theory of so-called adsorption of soluble substabces. K. Sven. Vetensk.akad. handl. 1898, 24, 1–39. [Google Scholar]
- Ho, Y.S. Review of second-order models for adsorption systems. J. Hazard. Mater. 2006, 136, 681–689. [Google Scholar] [CrossRef]
- Duong, D.D. Adsorption Analysis: Equilibria and Kinetics; Imperial College Press: London, UK, 1998; Volume 2, pp. 337–699. [Google Scholar]
- Langmuir, I. The Adsorption of Gases on Plane Surfaces of Glass, Mica and Platinum. J. Am. Chem. Soc. 1918, 40, 1361–1403. [Google Scholar] [CrossRef]
- Freundlich, H.M.F. Over the adsorption in solution. J. Phys. Chem. 1906, 57, 385–470. [Google Scholar]
- Sips, R. On the Structure of a Catalyst Surface. J. Chem. Phys. 1948, 16, 490. [Google Scholar] [CrossRef]
- Queiroz, M.F.; Melo, K.R.T.; Sabry, D.A.; Sassaki, G.L.; Rocha, H.A.O. Does the Use of Chitosan Contribute to Oxalate Kidney Stone Formation? Mar. Drugs 2015, 13, 141–158. [Google Scholar] [CrossRef] [PubMed]
- Trivedi, M.K.; Branton, A.; Nayak, G.; Bairwa, K.; Jana, S. Physicochemical and Spectroscopic Characterization of Biofield Treated Triphenyl Phosphate. Am. J. Appl. Chem. 2015, 3, 168. [Google Scholar] [CrossRef]
- Tran, T.H.; Okabe, H.; Hidaka, Y.; Hara, K.; Hong, T.T. Equilibrium and kinetic studies for silver removal from aqueous solution by hybrid hydrogels. J. Hazard. Mater. 2019, 365, 237–244. [Google Scholar] [CrossRef] [PubMed]
- Zhang, Y.; Yu, F.; Cheng, W.; Wang, J.; Ma, J. Adsorption equilibrium and kinetics of the removal af ammoniacal nitrogen by zeolite X/Activated carbon composite synthesized from elutrilithe. J. Chem. 2017, 2017, 193682. [Google Scholar]
- Yurdakoc, M.; Seki, Y.; Karahan, S.; Yurdakoc, K. Boron Removal from Brine by XSC-700. J. Colloid Interface Sci. 2005, 286, 440–446. [Google Scholar]
- Zhang, P.; Wang, Y.; Zhang, D.; Bai, H.; Tarasov, V.V. Calixarene-functionalized graphene oxide composites for adsorption of neodymium ions from the aqueous phase. RSC Adv. 2016, 6, 30384–30394. [Google Scholar] [CrossRef]
- Guo, J.; Cai, J.; Su, Q. Ion imprinted polymer particles of neodymium: synthesis, characterization and selective recognition. J. Rare Earths 2009, 27, 22–27. [Google Scholar] [CrossRef]
- El-Khaiary, M.I.; Malash, G.F. Common data analysis errors in batch adsorption studies. Hydrometall. 2011, 105, 314–320. [Google Scholar] [CrossRef]
- Foo, K.Y.; Hameed, B. Insights into the modeling of adsorption isotherm systems. Chem. Eng. J. 2010, 156, 2–10. [Google Scholar] [CrossRef]
- Alberti, G.; Amendola, V.; Pesavento, M.; Biesuz, R. Beyond the synthesis of novel solid phases: Review on modelling of sorption phenomena. Co-ord. Chem. Rev. 2012, 256, 28–45. [Google Scholar] [CrossRef]
- Vanysek, P. Electrochemical series. In CRC Handbook of Chemistry and Physics, 92th ed.; Haynes, W.M., Ed.; CRC Press: Boca Raton, FL, USA, 2011. [Google Scholar]
- Romero-Cano, L.A.; García-Rosero, H.; Del Olmo-Iruela, M.; Carrasco-Marín, F.; González-Gutiérrez, L.V. Use of carbon paste electrodes as a novel strategy to study adsorption mechanism of silver ions onto functionalized grapefruit peel. J. Electroanal. Chem. 2018, 20–26. [Google Scholar] [CrossRef]
- Yao, Y.; Gao, B.; Wu, E.; Zhang, C.; Yang, L. Engineered biochar from biofuel residue/AlOOH nanocomposite. Chem. Eng. J. 2015, 226, 286–292. [Google Scholar]
- Silva-Medeiros, F.V.; Consolin-Filho, N.; Xavier de Lima, M.; Bazzo, E.P.; Barros, M.A.S.; Bergamasco, R.; Tavares, C.R. Kinetics and thermodynamics studies of silver ions adsorption onto coconut shell activated carbon. Environ. Technol. 2016, 37, 3087–3093. [Google Scholar] [CrossRef]











| Parameter | qe,exp, mg/g | Pseudo-first Order | Pseudo-second Order | ||||
|---|---|---|---|---|---|---|---|
| Temp., K | qe,calc, mg/g | k1, min−1 | R2 | qe,calc, mg/g | k2, min−1(mg/g)−1 | R2 | |
| Chitosan (Ch) | |||||||
| 298 | 1.98 | 1.46 | 0.0078 | 0.7691 | 2.04 | 0.2937 | 0.9739 |
| 308 | 2.17 | 1.70 | 0.0120 | 0.9415 | 2.30 | 0.3734 | 0.9909 |
| 318 | 2.26 | 1.72 | 0.0019 | 0.9030 | 2.32 | 0.5124 | 0.9905 |
| Ch-DDTPPBr | |||||||
| 298 | 2.29 | 1.28 | 0.0049 | 0.8663 | 2.43 | 0.6877 | 0.9981 |
| 308 | 2.43 | 1.44 | 0.0067 | 0.9019 | 2.53 | 1.0604 | 0.9996 |
| 318 | 2.46 | 1.25 | 0.0079 | 0.9187 | 2.63 | 1.4135 | 0.9997 |
| Materials | ΔH°, kJ/(mol) | ΔS°, kJ/(mol·K) | ΔG°, kJ/mol | R2 | ||
|---|---|---|---|---|---|---|
| 298 K | 303 K | 308 K | ||||
| Ch | 31.4 | 0.106 | −0.36 | −1.42 | −2.24 | 0.9993 |
| Ch-DDTPPBr | 81.8 | 0.284 | −2.84 | −5.68 | −8.52 | 0.9974 |
| Materials | qm,exp, mg/g | Freundlich Isotherm | Langmuir Isotherm | Sips Isotherm | |||||||
|---|---|---|---|---|---|---|---|---|---|---|---|
| KF, mg/g | 1/nf | χ2 | KL, L/mg | qL, mg/g | χ2 | Ks | qs, mg/g | 1/ns | χ2 | ||
| Ch | 75.34 | 4.59 | 0.51 | 1.51 | 0.011 | 100.8 | 0.02 | 0.0026 | 85.40 | 3.9 | 0.13 |
| Ch-DDTPPBr | 103.6 | 6.81 | 0.46 | 1.69 | 0.009 | 135.8 | 0.01 | 0.0061 | 113.7 | 2.1 | 0.08 |
| Absorbents | Maximum Adsorption Capacities | References |
|---|---|---|
| CMC/CMCTS and SSS powder hydrogel | 0.451 mg Ag(I)/g | [38] |
| Grapefruit peels, GP | 10.92 mg Ag(I)/g | [47] |
| Grapefruit peels modified with urea, GPU | 66.83 mg Ag(I)/g | [47] |
| Grapefruit peels modified with melamine, GPM | 28.05 mg Ag(I)/g | [47] |
| Biosolids biochar | 43.9 mg Ag(I)/g | [1] |
| Stillage residue biochar | 23.0 mg Ag(I)/g | [48] |
| Coconut shell activated carbon | 55.0 mg Ag(I)/g | [49] |
| Chitosan, Ch | 75.34 mg Ag(I)/g | This paper |
| Chitosan functionalized with dodecyl-triphenyl-phosphonium bromide, Ch-DDTPPBr | 103.6 mg Ag(I)/g | This paper |
© 2020 by the authors. Licensee MDPI, Basel, Switzerland. This article is an open access article distributed under the terms and conditions of the Creative Commons Attribution (CC BY) license (http://creativecommons.org/licenses/by/4.0/).
Share and Cite
Pascu, B.; Ardean, C.; Davidescu, C.M.; Negrea, A.; Ciopec, M.; Duțeanu, N.; Negrea, P.; Rusu, G. Modified Chitosan for Silver Recovery—Kinetics, Thermodynamic, and Equilibrium Studies. Materials 2020, 13, 657. https://doi.org/10.3390/ma13030657
Pascu B, Ardean C, Davidescu CM, Negrea A, Ciopec M, Duțeanu N, Negrea P, Rusu G. Modified Chitosan for Silver Recovery—Kinetics, Thermodynamic, and Equilibrium Studies. Materials. 2020; 13(3):657. https://doi.org/10.3390/ma13030657
Chicago/Turabian StylePascu, Bogdan, Cristina Ardean, Corneliu Mircea Davidescu, Adina Negrea, Mihaela Ciopec, Narcis Duțeanu, Petru Negrea, and Gerlinde Rusu. 2020. "Modified Chitosan for Silver Recovery—Kinetics, Thermodynamic, and Equilibrium Studies" Materials 13, no. 3: 657. https://doi.org/10.3390/ma13030657
APA StylePascu, B., Ardean, C., Davidescu, C. M., Negrea, A., Ciopec, M., Duțeanu, N., Negrea, P., & Rusu, G. (2020). Modified Chitosan for Silver Recovery—Kinetics, Thermodynamic, and Equilibrium Studies. Materials, 13(3), 657. https://doi.org/10.3390/ma13030657

