Modeling of Energy Demand and Savings Associated with the Use of Epoxy-Phase Change Material Formulations
Abstract
1. Introduction
2. Methods
2.1. Experimental
2.1.1. Synthesis of Epoxy-PCM-Filler Composite Formulations
2.1.2. Specific Heat Capacity Measurements of the Epoxy-PCM-Filler Composites
2.1.3. Density Measurements
2.1.4. Thermal Conductivity Measurements
2.1.5. Epoxy-PCM-Filler Composite Integration onto Fabric and Thermal Imaging
2.2. Modelling and Simulation
2.2.1. Dwelling Model
2.2.2. Thermal Model
3. Results
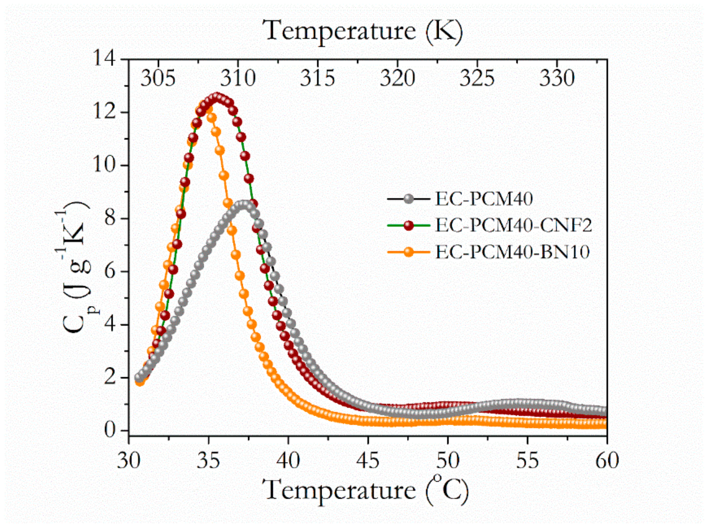
3.1. Experimental
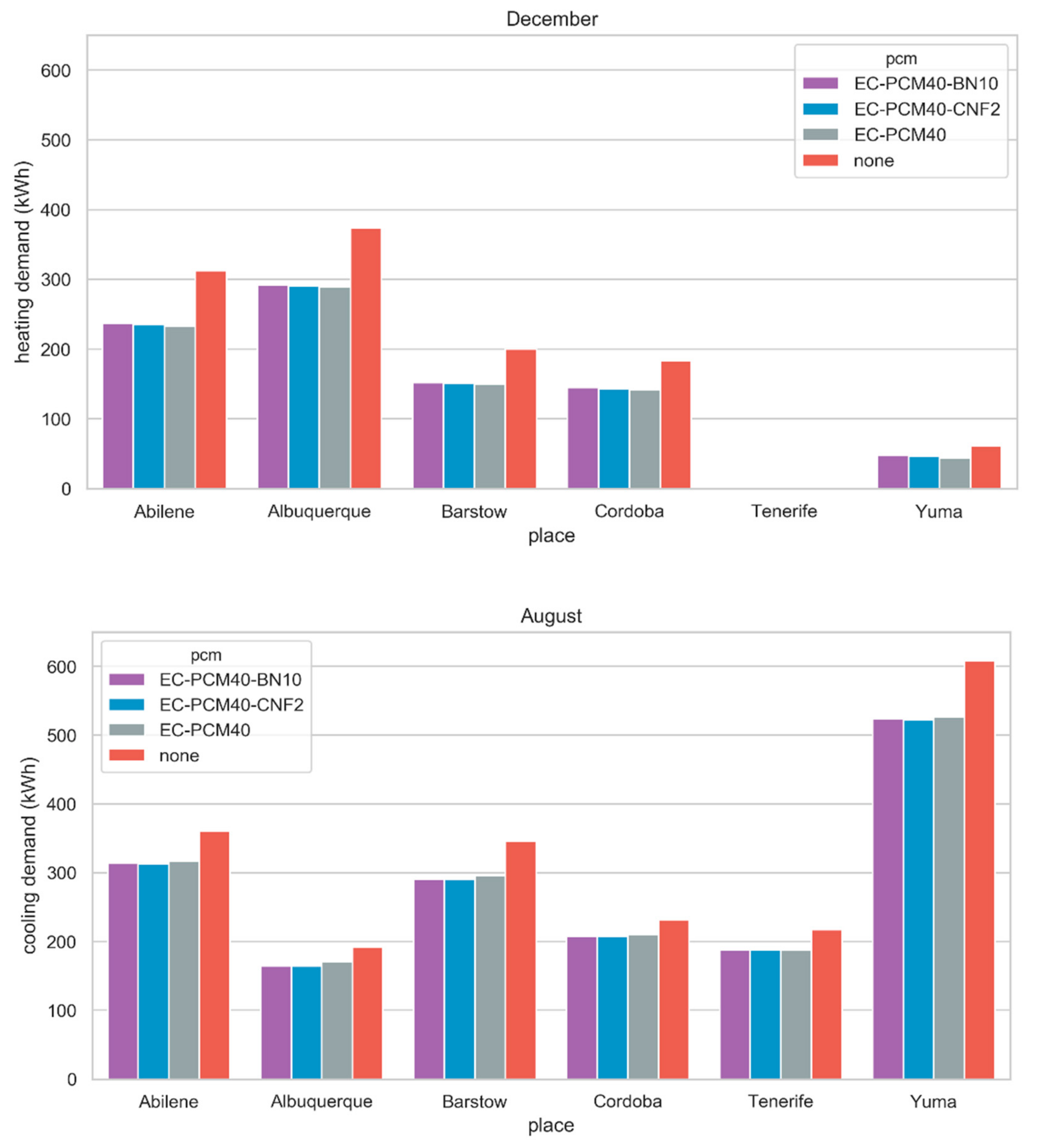
3.2. EnergyPlus Simulation Results
4. Conclusions
Author Contributions
Funding
Acknowledgments
Conflicts of Interest
References
- Feng, C.; Zhou, B.; Lin, N.; Li, Y.; Xia, Y. Application of comprehensive evaluation method integrating Delphi and GAHP in optimal siting of electric vehicle charging station. Electr. Power Autom. Equip. 2012, 32, 25–29. [Google Scholar]
- Rathore, P.K.S.; Shukla, S.K. Potential of macroencapsulated PCM for thermal energy storage in buildings: A comprehensive review. Constr. Build. Mater. 2019, 225, 723–744. [Google Scholar] [CrossRef]
- Kaygusuz, K. The Viability of Thermal Energy Storage. Energy Sources 1999, 21, 745–755. [Google Scholar] [CrossRef]
- De Gracia, A.; Cabeza, L.F. Phase change materials and thermal energy storage for buildings. Energy Build. 2015, 103, 414–419. [Google Scholar] [CrossRef]
- Khan, Z.; Khan, Z.; Ghafoor, A. A review of performance enhancement of PCM based latent heat storage system within the context of materials, thermal stability and compatibility. Energy Convers. Manag. 2016, 115, 132–158. [Google Scholar] [CrossRef]
- Arce, M.E.; Feijoo, M.A.; Garcia, A.S.; Luhrs, C.C. Novel Formulations of Phase Change Materials—Epoxy Composites for Thermal Energy Storage. Materials 2018, 11, 195. [Google Scholar] [CrossRef]
- Thapa, S.; Chukwu, S.; Khaliq, A.; Weiss, L. Fabrication and analysis of small-scale thermal energy storage with conductivity enhancement. Energy Convers. Manag. 2014, 79, 161–170. [Google Scholar] [CrossRef]
- Agrawal, R.; Hanna, J.; Gunduz, I.E.; Luhrs, C.C. Epoxy–PCM Composites with Nanocarbons or Multidimensional Boron Nitride as Heat Flow Enhancers. Molecules 2019, 24, 1883. [Google Scholar] [CrossRef]
- Elgafy, A.; Lafdi, K. Effect of carbon nanofiber additives on thermal behavior of phase change materials. Carbon 2005, 43, 3067–3074. [Google Scholar] [CrossRef]
- Qian, Z.; Shen, H.; Fang, X.; Fan, L.; Zhao, N.; Xu, J. Phase change materials of paraffin in h-BN porous scaffolds with enhanced thermal conductivity and form stability. Energy Build. 2018, 158, 1184–1188. [Google Scholar] [CrossRef]
- Barreneche, C.; Fernandez, A.I.; Niubó, M.; Chimenos, J.M.; Espiell, F.; Segarra, M.; Solé, C.; Cabeza, L.F.; Chimenos, J.M.; Espiell, F. Development and characterization of new shape-stabilized phase change material (PCM)—Polymer including electrical arc furnace dust (EAFD), for acoustic and thermal comfort in buildings. Energy Build. 2013, 61, 210–214. [Google Scholar] [CrossRef]
- Cabeza, L.F.; Castell, A.; Barreneche, C.; De Gracia, A.; Fernandez, A.I. Materials used as PCM in thermal energy storage in buildings: A review. Renew. Sustain. Energy Rev. 2011, 15, 1675–1695. [Google Scholar] [CrossRef]
- Souayfane, F.; Fardoun, F.; Biwole, P.-H. Phase change materials (PCM) for cooling applications in buildings: A review. Energy Build. 2016, 129, 396–431. [Google Scholar] [CrossRef]
- Perez-Lombard, L.; Ortiz, J.; Pout, C. A review on buildings energy consumption information. Energy Build. 2008, 40, 394–398. [Google Scholar] [CrossRef]
- Ulloa, C.; Arce, M.E.; Rey, G.; Míguez, J.L.; Hernández, J. Recycling COR-TEN® Sea Containers into Service Modules for Military Applications: Thermal Analysis. Energies 2017, 10, 820. [Google Scholar] [CrossRef]
- Elrayies, G.M. Thermal Performance Assessment of Shipping Container Architecture in Hot and Humid Climates. Int. J. Adv. Sci. Eng. Inf. Technol. 2017, 7, 1114. [Google Scholar] [CrossRef]
- Jowett, E.C. Wastewater Treatment Station in Shipping Container. U.S. 7288192B2, 30 October 2007. [Google Scholar]
- Zabinski, K.B.; Brodaski, M.A.; Campanelli, R.L. Shipping Container Emergency Shelters; Worcester Polytechnic Institute: Worcester, MA, USA, 2010; Available online: https://digitalcommons.wpi.edu/mqp-all/639/ (accessed on 29 January 2020).
- Soares, N.; Gaspar, A.; Santos, P.; Costa, J. Multi-dimensional optimization of the incorporation of PCM-drywalls in lightweight steel-framed residential buildings in different climates. Energy Build. 2014, 70, 411–421. [Google Scholar] [CrossRef]
- Allouhi, A.; El Fouih, Y.; Kousksou, T.; Jamil, A.; Zeraouli, Y.; Mourad, Y. Energy consumption and efficiency in buildings: Current status and future trends. J. Clean. Prod. 2015, 109, 118–130. [Google Scholar] [CrossRef]
- Kreith, F.; Ronald, E.W. Energy and power systems. In CRC Handbook of Energy Efficiency; CRC Press: Florida, FL, USA, 1996; pp. 3–14. [Google Scholar]
- Pacheco, R.; Ordóñez, J.; Martinez, G. Energy efficient design of building: A review. Renew. Sustain. Energy Rev. 2012, 16, 3559–3573. [Google Scholar] [CrossRef]
- Harmathy, N.; Kurtovic-Folic, N.; Folić, R.; Magyar, Z.; Drazic, J. Building envelope influence on the annual energy performance in office buildings. Therm. Sci. 2016, 20, 679–693. [Google Scholar] [CrossRef]
- Johra, H.; Heiselberg, P.; Le Dréau, J. Influence of envelope, structural thermal mass and indoor content on the building heating energy flexibility. Energy Build. 2019, 183, 325–339. [Google Scholar] [CrossRef]
- Marin, P.; Saffari, M.; De Gracia, A.; Zhu, X.; Farid, M.M.; Cabeza, L.F.; Ushak, S. Energy savings due to the use of PCM for relocatable lightweight buildings passive heating and cooling in different weather conditions. Energy Build. 2016, 129, 274–283. [Google Scholar] [CrossRef]
- Crawley, D.B.; Lawrie, L.K.; Pedersen, C.O.; Winkelmann, F.C. Energy plus: Energy simulation program. Ashrea J. 2000, 42, 49–56. [Google Scholar]
- Vasco, D.A.; Muñoz-Mejías, M.; Pino-Sepúlveda, R.; Ortega-Aguilera, R.; García-Herrera, C. Thermal simulation of a social dwelling in Chile: Effect of the thermal zone and the temperature-dependant thermophysical properties of light envelope materials. Appl. Therm. Eng. 2017, 112, 771–783. [Google Scholar] [CrossRef]
- University of Wisconsin--Madison; Solar Energy Laboratory; Klein, S.A. TRNSYS, A Transient System Simulation Program; Solar Energy Laboratory, University of Wisconsin--Madison: Madison, WI, USA, 1979. [Google Scholar]
- ArrayExpress — A database of functional genomics experiments. Available online: http://www.ebi.ac.uk/arrayexpress/ (accessed on 12 November 2019).
- NATO Statement of Work. Containerized. Level 1. C-IED and EOD Forensic Triage Facility. 2017. Available online: https://eportal.nspa.nato.int/eProcurement/DownloadFile.aspx?id=%2Fuploadpublicfolder%2FeProcurementRFPAttachments%2FMNE17019_RFP%5C05.+Statement+of+Work.PDF (accessed on 29 January 2020).
- DoE, U. EnergyPlus engineering reference: The reference to EnergyPlus calculations. Lawrence Berkeley National Laboratory. 2009. Available online: https://energyplus.net/sites/default/files/pdfs_v8.3.0/EngineeringReference.pdf (accessed on 29 January 2020).
- Tabares-Velasco, P.C.; Christensen, C.; Bianchi, M. Verification and validation of EnergyPlus phase change material model for opaque wall assemblies. Build. Environ. 2012, 54, 186–196. [Google Scholar] [CrossRef]
- ASHRAE. Guideline 14-2002, Measurement of Energy and Demand Savings; ASHRAE: Atlanta, GA, USA, 2002. [Google Scholar]
- Spanish Technical Building Code (CTE). Basic Document HE 1: Energy Demand; Ministry of Development: Madrid, Spain, 2013. Available online: https://www.codigotecnico.org/index.php/menu-documentoscte/133-ct-documentos-cte/ahorro-de-energia.html (accessed on 29 January 2020).
- LadyBug Worldwide EPW Data. Available online: https://www.ladybug.tools/epwmap/ (accessed on 27 October 2019).
- Li, T.-L.; Hsu, S.L.-C. Enhanced Thermal Conductivity of Polyimide Films via a Hybrid of Micro- and Nano-Sized Boron Nitride. J. Phys. Chem. B 2010, 114, 6825–6829. [Google Scholar] [CrossRef]
- Fang, X.; Fan, L.-W.; Ding, Q.; Yao, X.-L.; Wu, Y.-Y.; Hou, J.-F.; Wang, X.; Yu, Z.-T.; Cheng, G.-H.; Hu, Y.-C. Thermal energy storage performance of paraffin-based composite phase change materials filled with hexagonal boron nitride nanosheets. Energy Convers. Manag. 2014, 80, 103–109. [Google Scholar] [CrossRef]
- Cui, Y.; Liu, C.; Hu, S.; Yu, X. The experimental exploration of carbon nanofiber and carbon nanotube additives on thermal behavior of phase change materials. Sol. Energy Mater. Sol. Cells 2011, 95, 1208–1212. [Google Scholar] [CrossRef]
- U.S. Department of Energy. Available online: https://www.energy.gov/2019 (accessed on 29 January 2020).
- Baetens, R.; Jelle, B.P.; Gustavsen, A. Phase change materials for building applications: A state-of-the-art review. Energy Build. 2010, 42, 1361–1368. [Google Scholar] [CrossRef]
- Copertaro, B.; Principi, P.; Fioretti, R. Thermal performance analysis of PCM in refrigerated container envelopes in the Italian context – Numerical modeling and validation. Appl. Therm. Eng. 2016, 102, 873–881. [Google Scholar] [CrossRef]








| Sample | Filler | Epoxy (Resin + Hardener) (wt.%) | Carbopol (wt.%) | PCM (n-nonadecane) (wt.%) | Filler (wt.%) |
|---|---|---|---|---|---|
| EC-PCM40 | None | 55 | 5 | 40 | 0 |
| EC-PCM40-CNF2 | CNF | 53 | 5 | 40 | 2 |
| EC-PCM40-BN10 | BN | 45 | 5 | 40 | 10 |
| Category | Materials | |||
|---|---|---|---|---|
| Element | Conductivity (W/m/K) | Specific Heat (J/kg/K) | Layer Thickness (mm) | |
| External wall | Stainless steel | 17 | 460 | 0.5 |
| Polyurethane (PUR) | 0.022 | 1400 | 250 | |
| Stainless steel | 17 | 460 | 0.5 | |
| Insulation | 0.03 | 800 | 63.5 | |
| EC-PCM40 | 0.293 | * | 5.3 | |
| EC-PCM40-CNF2 | 0.303 | * | 5.3 | |
| EC-PCM40-BN10 | 0.415 | * | 5.3 | |
| Ground | Extruded polystyrene | 0.034 | 1540 | 300 |
| Roof | Stainless steel | 17 | 460 | 0.5 |
| Glass wool | 0.04 | 7955 | 63.5 | |
| Plaster (ceiling)) | 0.25 | 1000 | 150 | |
| Insulation | 0.03 | 800 | 63.5 | |
| EC-PCM40 | 0.293 | * | 5.3 | |
| EC-PCM40-CNF2 | 0.303 | * | 5.3 | |
| EC-PCM40-BN10 | 0.415 | * | 5.3 | |
| Door | Stainless steel | 17 | 460 | 0.5 |
| Polystyrene | 0.18 | 1500 | 250 | |
| Stainless steel | 17 | 460 | 0.5 | |
| Location Description | Köppen-Geiger Climate Classification | Elevation (ft) | Latitude | Longitude | Annual CCD | Annual HDD | |
|---|---|---|---|---|---|---|---|
| Abilene | Texas, US | Cfa | 1784 | 32°25’N | 99°41’W | 2410 | 2558 |
| Albuquerque | New Mexico, US | BSk | 5326 | 35°03’N | 106°37’W | 1322 | 4065 |
| Barstow | California, US | BSk | 232 | 34°54’N | 117°1’W | 2171 | 960 |
| Cordoba | Andalusia, ESP | Csa | 295 | 37°5’N | 4°50’W | 1624 | 2046 |
| Santa Cruz de Tenerife | Canary Islands, ESP | Csb | 151 | 28°27’N | 16°15’W | 1806 | 89 |
| Yuma | Arizona, USs | BWh | 207 | 32°39’N | 114°36’W | 3551 | 1148 |
| Abilene | Albuquerque | |||||||
| No PCM | EC-PCM40 | EC-PCM40-CNF2 | EC-PCM40-BN10 | No PCM | EC-PCM40 | EC-PCM40-CNF2 | EC-PCM40-BN10 | |
| Heating (kWh) | 962.76 | 707.98 | 717.30 | 725.04 | 1414.46 | 1038.69 | 1054.06 | 1062.48 |
| Cooling (kWh) | 1423.67 | 1211.62 | 1200.20 | 1208.07 | 684.32 | 583.80 | 561.29 | 566.61 |
| Savings heating (%) | 26.46 | 25.50 | 24.69 | 26.57 | 25.48 | 24.88 | ||
| Savings cooling (%) | 14.89 | 15.70 | 15.14 | 14.69 | 17.98 | 17.20 | ||
| Barstow | Córdoba | |||||||
| No PCM | EC-PCM40 | EC-PCM40-CNF2 | EC-PCM40-BN10 | No PCM | EC-PCM40 | EC-PCM40-CNF2 | EC-PCM40-BN10 | |
| Heating (kWh) | 560.82 | 403.39 | 412.35 | 417.96 | 633.31 | 480.04 | 487.76 | 494.50 |
| Cooling (kWh) | 1385.31 | 1164.17 | 1142.30 | 1149.42 | 716.42 | 639.06 | 632.56 | 637.31 |
| Savings heating (%) | 28.07 | 26.47 | 25.47 | 24.20 | 22.98 | 21.92 | ||
| Savings cooling (%) | 15.96 | 17.54 | 17.03 | 10.80 | 11.71 | 11.04 | ||
| Santa Cruz de Tenerife | Yuma | |||||||
| No PCM | EC-PCM40 | EC-PCM40-CNF2 | EC-PCM40-BN10 | No PCM | EC-PCM40 | EC-PCM40-CNF2 | EC-PCM40-BN10 | |
| Heating (kWh) | 0 | 0 | 0 | 0 | 109.17 | 74.30 | 77.52 | 80.42 |
| Cooling (kWh) | 877.37 | 717.68 | 725.38 | 734.63 | 2492.61 | 2112.28 | 2081.49 | 2092.71 |
| Savings heating (%) | — | — | — | 31.94 | 28.99 | 26.34 | ||
| Savings cooling (%) | 18.2% | 17.3% | 16.27 | 15.26 | 16.49 | 16.04 | ||
© 2020 by the authors. Licensee MDPI, Basel, Switzerland. This article is an open access article distributed under the terms and conditions of the Creative Commons Attribution (CC BY) license (http://creativecommons.org/licenses/by/4.0/).
Share and Cite
Arce, E.; Agrawal, R.; Suárez, A.; Febrero, L.; Luhrs, C.C. Modeling of Energy Demand and Savings Associated with the Use of Epoxy-Phase Change Material Formulations. Materials 2020, 13, 639. https://doi.org/10.3390/ma13030639
Arce E, Agrawal R, Suárez A, Febrero L, Luhrs CC. Modeling of Energy Demand and Savings Associated with the Use of Epoxy-Phase Change Material Formulations. Materials. 2020; 13(3):639. https://doi.org/10.3390/ma13030639
Chicago/Turabian StyleArce, Elena, Richa Agrawal, Andrés Suárez, Lara Febrero, and Claudia C. Luhrs. 2020. "Modeling of Energy Demand and Savings Associated with the Use of Epoxy-Phase Change Material Formulations" Materials 13, no. 3: 639. https://doi.org/10.3390/ma13030639
APA StyleArce, E., Agrawal, R., Suárez, A., Febrero, L., & Luhrs, C. C. (2020). Modeling of Energy Demand and Savings Associated with the Use of Epoxy-Phase Change Material Formulations. Materials, 13(3), 639. https://doi.org/10.3390/ma13030639

