Effects of Calcination Conditions on the Formation and Hydration Performance of High-Alite White Portland Cement Clinker
Abstract
1. Introduction
2. Materials and Methods
2.1. Sample Preparation
2.2. Analysis and Characterization
2.2.1. Free Lime Test
2.2.2. XRD and Rietveld Quantitative Analysis
2.2.3. SEM Analysis
2.2.4. TG-DSC Analysis
2.2.5. Hydration Characteristics Analysis
3. Results and Discussion
3.1. Free Lime Test
3.2. Crystal Types Analysis
3.2.1. Phase Analysis by XRD
3.2.2. Rietveld Quantitative Analysis
3.3. SEM Morphology Analysis
3.4. TG-DSC Analysis
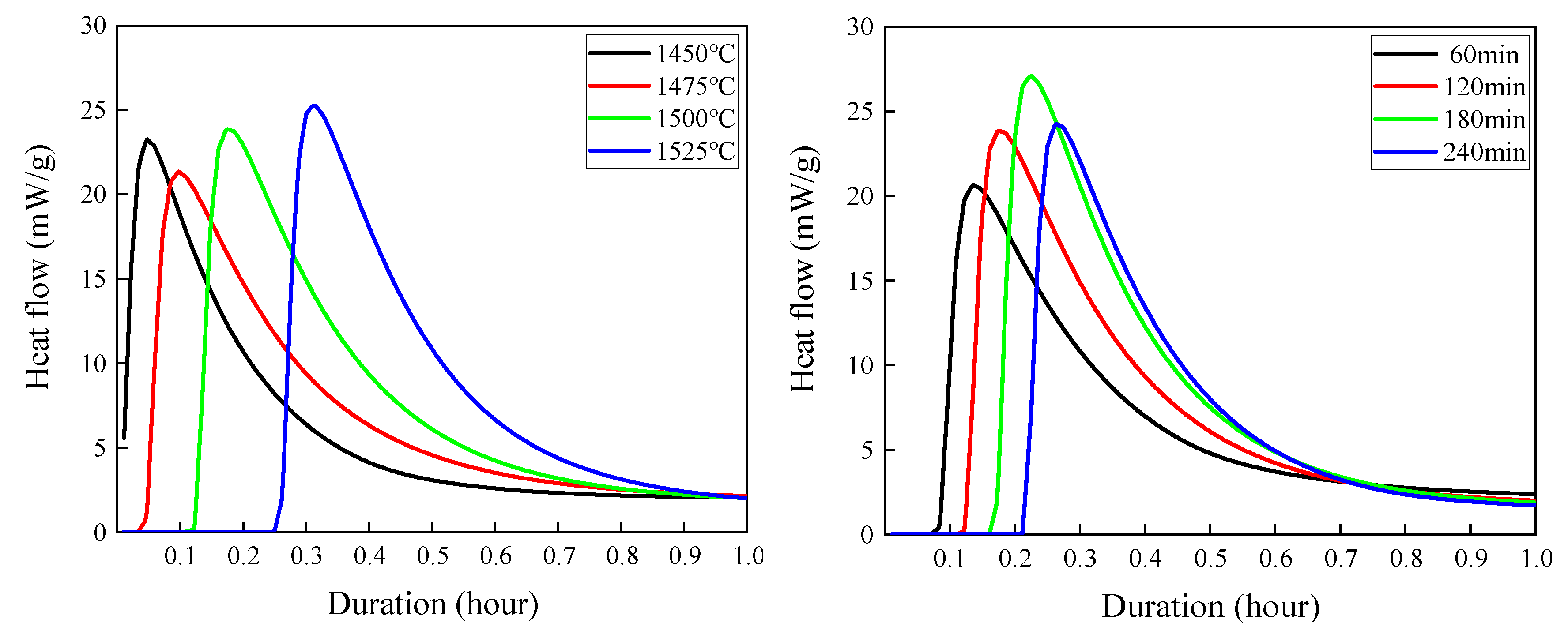
3.5. Hydration Characteristics Analysis
4. Conclusions
- Sintering temperature and sintering time will significantly change the C3S crystal types in white Portland cement clinker. With the increase of sintering temperature (from 1450 to 1525 °C) and sintering time (from 60 to 240 min), f-CaO in clinker will decrease, C3S grain size will increase, and C3S crystal types will change from T3 to M types and R types which show higher symmetry.
- Rietveld quantitative analysis combined with an internal standard method can be used to accurately quantify the mineral composition and content of cement clinker. The differences between this method and traditional Bogue method lie in the existence of an amorphous phase.
- The hydration activity of C3S crystal ranged from high to low as follows: T3→M1→M3→R, and the lattice energy of M-series crystal was found to be higher than that of T-series and R-series crystals.
- As for the relationship between hydration heat and lattice energy, only a qualitative description was made here. Specific analysis can be combined with simulation analysis. Authors believe that, with the extension of sintering time, the C3S crystals will eventually change to T-series crystals. Compared with the original T-series crystal, these shows poorer activity and fewer defects.
Author Contributions
Funding
Conflicts of Interest
References
- Jeffery, J.W. The crystal structure of tricalcium silicate. Acta Crystallogr. 1952, 5, 26–35. [Google Scholar] [CrossRef]
- Golovastikov, N.I. Crystal Structure of Tricalcium Silicate, 3CaOSiO2=C3S. Sov. Phys. Crystallogr. 1975, 20, 441–445. [Google Scholar]
- Courtial, M.; De Noirfontaine, M.N.; Dunstetter, F.; Gasecki, G.; Signes-Frehel, M. Polymorphism of tricalcium silicate in Portland cement: A fast visual identification of structure and superstructure. Powder Diffr. 2003, 18, 7–15. [Google Scholar] [CrossRef]
- Bigare, M.; Guinier, A.; Mazieres, C.; Regourd, M.; Yannaquis, N.; Eysbl, W.; Hahn, T.; Woermann, E. Polymorphism of tricalcium silicate and its solid solutions. J. Am. Ceram. Soc. 1967, 50, 609–619. [Google Scholar] [CrossRef]
- Maki, I. Characterization of the alite phase in Portland cement clinker by microscopy. II Cem. 1978, 75, 247–252. [Google Scholar]
- Maki, I.; Goto, K. Factors influencing the phase constitution of alite in Portland cement clinker. Cem. Concr. Res. 1982, 12, 301–308. [Google Scholar] [CrossRef]
- Maki, I.; Kato, K. Phase identification of alite in Portland cement clinker. Cem. Concr. Res. 1982, 12, 93–100. [Google Scholar] [CrossRef]
- Jeffery, J.W. Crystal Structure of Tricalcium Silicate and Cobalt Mercury Thiocyanate. Ph.D. Thesis, Birkbeck, University of London, London, UK, 1950. [Google Scholar]
- Regourd, M. Détermination des réseaux de cristaux microscopiques. Application aux différentes formes du silicate tricalcique. Bull. Minér. 1964, 87, 241–272. [Google Scholar] [CrossRef]
- Hudson, K.E.; Groves, G.W. The structure of alite in Portland cement clinker—TEM evidence. Cem. Concr. Res. 1982, 12, 61–68. [Google Scholar] [CrossRef]
- Sinclair, W.; Groves, G.W. Transmission Electron Microscopy and X-ray Diffraction of Doped Tricalcium Silicate. J. Am. Ceram. Soc. 1984, 67, 325–330. [Google Scholar] [CrossRef]
- Nishi, F.; Takéuchi, Y. The rhombohedral structure of tricalcium silicate at 1200 °C. Z. Kristallogr. Cryst. Mater. 1984, 168, 197–212. [Google Scholar] [CrossRef]
- Ll’Inets, A.M.; Malinovskii, Y.A.; Nevskii, N.N. Crystal structure of the rhombohedral modification of tricalcium silicate Ca3SiO5. Sov. Phys. Dokl. 1985, 30, 191. [Google Scholar]
- Mumme, W.G. Crystal Structure of Tricalcium Silicate from a Portland Cement Clinker and its Application to Quantitative XRD Analysis. Neues Jahrb. Fuer Miner. Mon. 1995, 4, 145–160. [Google Scholar]
- De La Torre, Á.G.; Bruque, S.; Campo, J.; Aranda, M.A. The superstructure of C3S from synchrotron and neutron powder diffraction and its role in quantitative phase analyses. Cem. Concr. Res. 2002, 32, 1347–1356. [Google Scholar] [CrossRef]
- Urabe, K.; Shirakami, T.; Iwashima, M. Superstructure in a triclinic phase of tricalcium silicate. J. Am. Ceram. Soc. 2000, 83, 1253–1258. [Google Scholar] [CrossRef]
- Urabe, K.; Nakano, H.; Morita, H. Structural modulations in monoclinic tricalcium silicate solid solutions doped with zinc oxide, M (I), M (II), and M (III). J. Am. Ceram. Soc. 2002, 85, 423–429. [Google Scholar] [CrossRef]
- Bogue, R.H. Calculation of the compounds in Portland cement. Ind. Eng. Chem. Anal. Ed. 1929, 1, 192–197. [Google Scholar] [CrossRef]
- Toby, B.H. EXPGUI, a graphical user interface for GSAS. J. Appl. Crystallogr. 2001, 34, 210–213. [Google Scholar] [CrossRef]
- Larson, A.C.; Von Dreele, R.B. GSAS; Report IAUR; Los Alamos National Laboratory: Los Alamos, NM, USA, 1994; pp. 86–748. [Google Scholar]
- Young, R.A. The Rietveld Method; International Union of Crystallography: New, York, NY, USA; Oxford University Press: Oxford, UK, 1993. [Google Scholar]
- Ángeles, G.; De Vera, R.N.; Cuberos, A.J.M.; Aranda, M.A. Crystal structure of low magnesium-content alite: Application to Rietveld quantitative phase analysis. Cem. Concr. Res. 2008, 38, 1261–1269. [Google Scholar]
- Il’inets, A.M.; Malinovskii, Y.U. The Crystal Structure of the Rhombohedral Modification of Tri-Calcium Silicate, Ca3SiO5. Dokl. Akad. Nauk SSSR 1985, 281, 332–336. [Google Scholar]
- Mumme, W.G.; Hill, R.J.; Bushnell-Wye, G.; Segnit, E.R. Rietveld crystal structure refinements, crystal chemistry and calculated powder diffraction data for the polymorphs of dicalcium silicate and related phases. Neues Jahrb. fuer Miner. Abh. 1995, 169, 35–68. [Google Scholar]
- Mondal, P.; Jeffery, J.W. The crystal structure of tricalcium aluminate, Ca3Al2O6. Acta Crystallogr. Sect. B Struct. Crystallogr. Cryst. Chem. 1975, 31, 689–697. [Google Scholar] [CrossRef]
- Smith, D.K.; Leider, H.R. Low-temperature thermal expansion of LiH, MgO and CaO. J. Appl. Crystallogr. 1968, 1, 246–249. [Google Scholar] [CrossRef]
- Sawada, H. Residual electron density study of α-aluminum oxide through refinement of experimental atomic scattering factors. Mater. Res. Bull. 1994, 29, 127–133. [Google Scholar] [CrossRef]
- Ma, X.W.; Chen, H.X.; Wang, P.M. Effect of CuO on the formation of clinker minerals and the hydration properties. Cem. Concr. Res. 2010, 40, 1681–1687. [Google Scholar] [CrossRef]
- De La Torre, A.G.; Bruque, S.; Aranda, M.A.G. Rietveld quantitative amorphous content analysis. J. Appl. Crystallogr. 2001, 34, 196–202. [Google Scholar] [CrossRef]
- Swanson, S.E. Relation of nucleation and crystal-growth rate to the development of granitic textures. Am. Miner. 1977, 62, 966–978. [Google Scholar]
- Scrivener, K.L.; Juilland, P.; Monteiro, P.J.M. Advances in understanding hydration of Portland cement. Cem. Concr. Res. 2015, 78, 38–56. [Google Scholar] [CrossRef]
- Damidot, D.; Nonat, A. C3S hydration in diluted and stirred suspensions: (I) study of the two kinetic steps. Adv. Cem. Res. 1994, 6, 27–36. [Google Scholar] [CrossRef]
- Damidot, D.; Nonat, A.; Barret, P.; Zanni, H.; Rassem, R. C3S hydration in diluted and stirred suspensions: (III) NMR study of C-S-H precipitated during the two kinetic steps. Adv. Cem. Res. 1995, 7, 1–8. [Google Scholar] [CrossRef]
- Juilland, P.; Gallucci, E.; Flatt, R.; Scrivener, K. Dissolution theory applied to the induction period in alite hydration. Cem. Concr. Res. 2010, 40, 831–844. [Google Scholar] [CrossRef]
- Kaya, S. Relationships between lattice energies of inorganic ionic solids. Physica B 2018, 538, 25–28. [Google Scholar] [CrossRef]
- Li, X.; Ouzia, A.; Scrivener, K. Laboratory synthesis of C3S on the kilogram scale. Cem. Concr. Res. 2018, 108, 201–207. [Google Scholar] [CrossRef]












| Chemical Composition | Mineral Composition | ||
|---|---|---|---|
| Oxide | Wt (%) | Mineralogical constituent | Wt (%) |
| CaCO3 | 81.41 | C3S | 72.84 |
| SiO2 | 16.11 | C2S | 17.35 |
| Al2O3 | 2.48 | C3A | 10.28 |
| Name | Formula | Crystal System | ICSD Code | References |
|---|---|---|---|---|
| Alite | Ca3SiO5 | Triclinic/T3 | 162744 | Ángeles et al. [15] |
| Monoclinic/M1 | 81100 | Mumme [16] | ||
| Monoclinic/M3 | 64759 | De La Torre et al. [22] | ||
| Rhombohedral/R | 22501 | Il’inets et al. [23] | ||
| Belite | Ca2SiO4 | Monoclinic | 81096 | Mumme et al. [24] |
| Aluminate | Ca3Al2O6 | Cubic | 1841 | Mondal P et al. [25] |
| Lime | CaO | Cubic | 52783 | Smith D K et al. [26] |
| Aluminium oxide | Al2O3 | Trigonal | 75559 | Sawada [27] |
| 60 min | 120 min | 180 min | 240 min | |
|---|---|---|---|---|
| 1450 °C | 8.88% | |||
| 1475 °C | 7.66% | |||
| 1500 °C | 10.61% | 9.82% | 11.24% | 10.28% |
| 1525 °C | 9.89% |
© 2020 by the authors. Licensee MDPI, Basel, Switzerland. This article is an open access article distributed under the terms and conditions of the Creative Commons Attribution (CC BY) license (http://creativecommons.org/licenses/by/4.0/).
Share and Cite
Huang, L.; Cheng, G.; Huang, S. Effects of Calcination Conditions on the Formation and Hydration Performance of High-Alite White Portland Cement Clinker. Materials 2020, 13, 494. https://doi.org/10.3390/ma13030494
Huang L, Cheng G, Huang S. Effects of Calcination Conditions on the Formation and Hydration Performance of High-Alite White Portland Cement Clinker. Materials. 2020; 13(3):494. https://doi.org/10.3390/ma13030494
Chicago/Turabian StyleHuang, Lei, Geling Cheng, and Shaowen Huang. 2020. "Effects of Calcination Conditions on the Formation and Hydration Performance of High-Alite White Portland Cement Clinker" Materials 13, no. 3: 494. https://doi.org/10.3390/ma13030494
APA StyleHuang, L., Cheng, G., & Huang, S. (2020). Effects of Calcination Conditions on the Formation and Hydration Performance of High-Alite White Portland Cement Clinker. Materials, 13(3), 494. https://doi.org/10.3390/ma13030494

