Magnetic Properties and the Electronic Structure of the Gd0.4Tb0.6Co2 Compound
Abstract
1. Introduction
2. Experimental and Computational Details
3. Results and Discussion
3.1. Crystal Structure
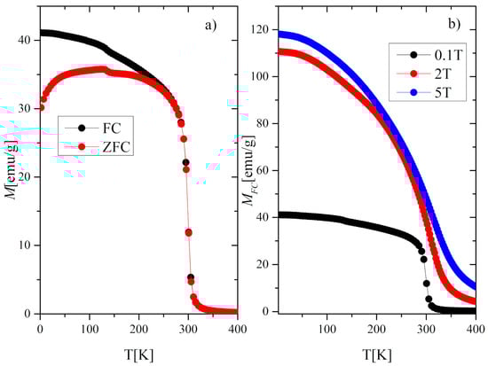
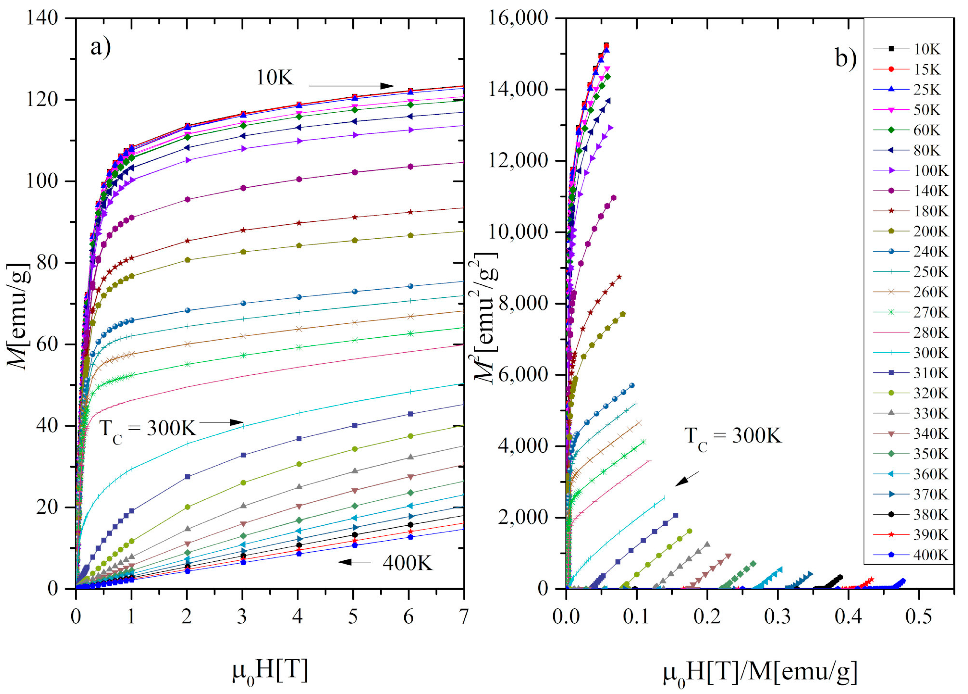
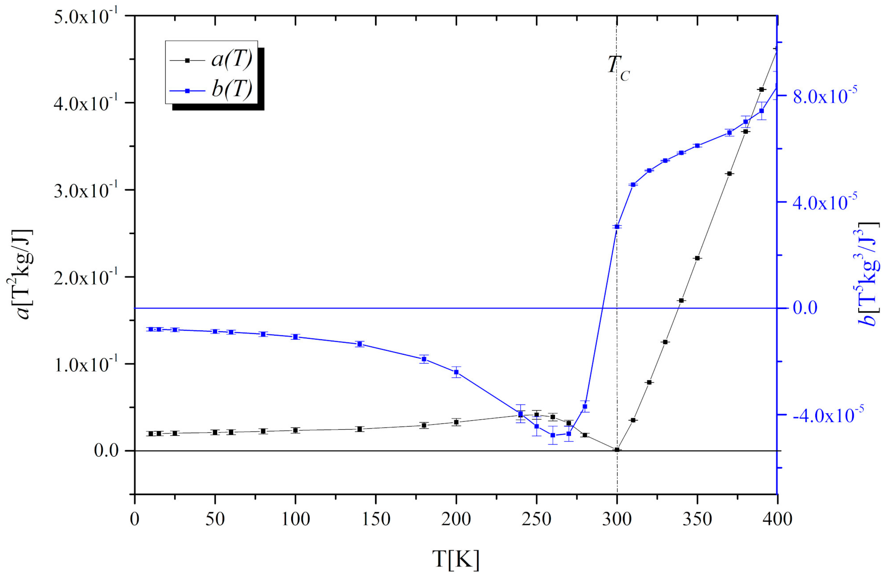
3.2. Magnetic and Magnetocaloric Properties
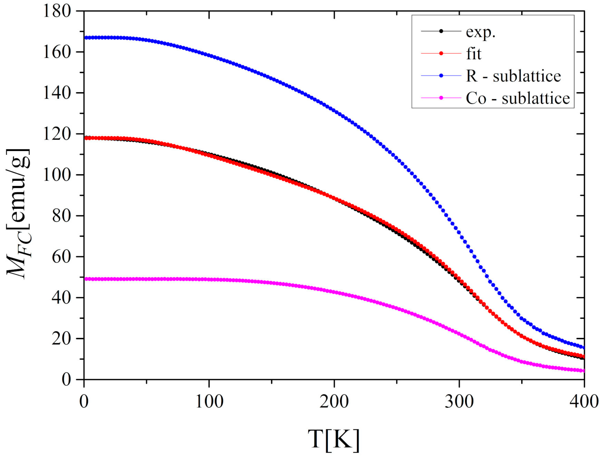
3.3. MFT Analysis
4. X-ray Photoelectron Spectroscopy (XPS)
5. Conclusions
Author Contributions
Funding
Conflicts of Interest
References
- Ćwik, J.; Koshkid’ko, Y.; de Oliveira, N.A.; Mikhailova, A.; Nenkov, K. Effect of composition changes on the structural, magnetic and thermodynamic properties in Tb1−xDyxNi2 intermetallic compounds. J. Alloys Compd. 2018, 769, 588–596. [Google Scholar] [CrossRef]
- Halder, M.; Yusuf, S.M.; Mukadam, M.D.; Shashikala, K. Magnetocaloric effect and critical behavior near the paramagnetic to ferromagnetic phase transition temperature in TbCo2−xFex. Phys. Rev. B 2010, 81, 174402. [Google Scholar] [CrossRef]
- Murtaza, A.; Zuo, W.; Yaseen, M.; Ghani, A.; Saeed, A.; Hao, C.; Mi, J.; Li, Y.; Chang, T.; Wang, L.; et al. Magnetocaloric effect in the vicinity of the magnetic phase transition in NdCo2−xFex compounds. Phys. Rev. B 2020, 101, 214427. [Google Scholar] [CrossRef]
- Zhou, C.; Ren, S.; Bao, H.; Yang, S.; Yao, Y.; Ji, Y.; Ren, X.; Matsushita, Y.; Katsuya, Y.; Tanaka, M.; et al. Inverse effect of morphotropic phase boundary on the magnetostriction of ferromagnetic Tb1−xGdxCo2. Phys. Rev. B 2014, 89, 100101. [Google Scholar] [CrossRef]
- Duc, N.H.; Brommer, P.E. Formation of 3d-Moments and Spin Fluctuations in the Rare Earth—Transition Metal Intermetallics. In Handbook of Magnetic Materials; Duc, N.H., Ed.; Vietnam National University Press: Ho Chi Minh City, Vietnam, 1999; Volume 12. [Google Scholar]
- Goto, T.; Fukamichi, K.; Sakakibara, T.; Komatsu, H. Itinerant electron metamagnetism in YCo2. Solid State Commun. 1989, 72, 945–947. [Google Scholar] [CrossRef]
- Goto, T.; Sakakibara, T.; Murata, K.; Komatsu, H.; Fukamichi, K. Itinerant electron metamagnetism in YCo2 and LuCo2. J. Magn. Magn. Mater. 1990, 90, 700–702. [Google Scholar] [CrossRef]
- Baranov, N.; Yermakov, A.A.; Pirogov, A.N.; Proshkin, A.; Gvasaliya, S.N.; Podlesnyak, A.A. Irreversibility of the magnetic state of Tm1−xTbxCo2 revealed by specific heat, electrical resistivity, and neutron diffraction measurements. Phys. Rev. B 2006, 73, 104445. [Google Scholar] [CrossRef]
- Duc, N.H. Intersublattice Exchange Coupling in The Rare Earth–Transition Metal Intermetallics. In Handbook on the Physics and Chemistry of Rare Earths; Gschneidner, K.A., Jr., Eyring, L., Eds.; Elsevier Science B.V.: Amsterdam, The Netherlands, 1997; Volume 24, pp. 339–398. [Google Scholar]
- Ćwik, J. Magnetism and magnetocaloric effect in multicomponent Laves-phase compounds: Study and comparative analysis. J. Solid State Chem. 2014, 209, 13–22. [Google Scholar] [CrossRef]
- Not Your Average Fridge Magnet: These High-Tech Magnets Will Keep Your Butter (and Beer) Cold. Available online: https://www.ge.com/news/reports/not-your-average-fridge-magnet (accessed on 24 November 2020).
- Gschneidner, K.A.; Pecharsky, V.K. Magnetocaloric materials. Annu. Rev. Mater. Res. 2000, 30, 387–429. [Google Scholar] [CrossRef]
- Leary, A.; Ohodnicki, P.R.; McHenry, M.E. Soft magnetic materials in high-frequency, high-power conversion applications. JOM 2012, 64, 772–781. [Google Scholar] [CrossRef]
- Tishin, A.M.; Spichkin, Y. Recent progress in magnetocaloric effect: Mechanisms and potential applications. Int. J. Refrig. 2014, 37, 223–229. [Google Scholar] [CrossRef]
- Zhou, K.W.; Zhang, Y.H.; Li, J.Q.; Deng, J.Q.; Zhu, Q.M. Magnetocaloric effects in (Gd1-xTbx)Co2. Solid State Commun. 2006, 137, 275–277. [Google Scholar] [CrossRef]
- Singh, D.J.; Nordstrom, L. Planewaves, Pseudopotentials, and the LAPW Method, 2nd ed.; Springer Science: Berlin/Heidelberg, Germany, 2006; pp. 43–106. [Google Scholar]
- Blaha, P.; Schwarz, K.; Madsen, G.K.H.; Kvasnicka, D.; Luitz, J. WIEN2k, An Augmented Plane Wave + Local Orbitals Program for Calculating Crystal Properties; Karlheinz Schwarz, Technische Universität: Wien, Austria, 2018; ISBN 3-9501031-1-2. [Google Scholar]
- Perdew, J.P.; Ruzsinszky, A.; Csonka, G.I.; Vydrov, O.A.; Scuseria, G.E.; Constantin, L.A.; Zhou, X.; Burke, K. Restoring the Density-Gradient Expansion for Exchange in Solids and Surfaces. Phys. Rev. Lett. 2008, 100, 136406. [Google Scholar] [CrossRef] [PubMed]
- Anisimov, V.I.; Zaanen, J.; Andersen, O.K. Band theory and Mott insulators: Hubbard U instead of Stoner, I. Phys. Rev. B 1991, 44, 943–954. [Google Scholar] [CrossRef]
- Ahuja, B.L.; Mund, H.S.; Sahariya, J.; Dashora, A.; Halder, M.; Yusuf, S.M.; Itou, M.; Sakurai, Y. Temperature dependent spin and orbital polarization in TbCo2: Magnetic Compton scattering and first-principles investigations. J. Alloys Compd. 2015, 633, 430–434. [Google Scholar] [CrossRef]
- Bajorek, A.; Deniszczyk, J.; Chrobak, A.; Chełkowska, G. Effect of In/Sn substitution on magnetism, crystal and electronic structure in Gd (In1-xSnx)3 system. Philos. Mag. 2015, 95, 3554–3576. [Google Scholar] [CrossRef]
- Lutterotti, L.; Ceccato, R.; Maschio, R.D.; Pagani, E. Quantitative Analysis of Silicate Glass in Ceramic Materials by the Rietveld Method. Mater. Sci. Forum 1998, 87–92. [Google Scholar] [CrossRef]
- Gialanella, S.; Lutterotti, L. On the measure of order in alloys. Prog. Mater. Sci. 1997, 42, 125–133. [Google Scholar] [CrossRef]
- Singh, N.K.; Suresh, K.G.; Rana, D.S.; Nigam, A.K.; Malik, S.K. Role of Fe substitution on the anomalous magnetocaloric and magnetoresistance behaviour in Tb (Ni1−xFex)2 compounds. J. Phys. Condens. Matter 2006, 18, 10775–10786. [Google Scholar] [CrossRef]
- Gratz, E.; Goremychkin, E.; Latroche, M.; Hilscher, G.; Rotter, M.; Muller, H.; Lindbaum, A.; Ichor, H.; Paul-Boncour, V.; Fernandez-Diaz, T. New magnetic phenomena in TbNi2. J. Phys. Condens. Matter 1999, 11, 7893–7905. [Google Scholar] [CrossRef]
- Coey, J.M.D. Magnetism and Magnetic Materials; Cambridge University Press: Cambridge, UK, 2006. [Google Scholar]
- Franco, V.; Blazquez, J.S.; Ipus, J.J.; Law, J.Y.; Moreno-Ramirez, L.M.; Conde, A. Magnetocaloric effect: From materials research to refrigeration devives. Prog. Mater. Sci. 2018, 93, 112–232. [Google Scholar] [CrossRef]
- Gschneidner Jr, K.A.; Pecharsky, V.K.; Tsokol, A.O. Recent developments in magnetocaloric materials. Rep. Prog. Phys. 2005, 68, 1479–1539. [Google Scholar] [CrossRef]
- Mozharivskyj, Y. Magnetocaloric Effect and Magnetocaloric Materials; Elsevier B.V.: Amsterdam, The Netherlands, 2016. [Google Scholar]
- Shen, B.G.; Sun, J.R.; Hu, F.X.; Zhang, H.W.; Cheng, Z.H. Recent progress in exploring magnetocaloric materials. Adv. Mater. 2009, 21, 4545–4564. [Google Scholar] [CrossRef]
- Chrobak, A.; Bajorek, A.; Chełkowska, G. Effect of Tb/Gd substitution on crystal structure and exchange interactions in Gd1-xTbxNi3 intermetallic. Compd. Acta Phys. Pol. A 2012, 121, 1132–1135. [Google Scholar] [CrossRef]
- Danh, T.; Duc, N.; Thuy, N. Exchange interactions in amorphous Gd–Fe alloys. J. Magn. Magn. Mater. 1998, 185, 105–108. [Google Scholar] [CrossRef]
- Duc, N.H. An evaluation of the R-T spin coupling parameter in the rare earth–transition metal intermetallics. Phys. Status solidi B 1991, 164, 545–552. [Google Scholar] [CrossRef]
- Lang, J.K.; Baer, Y.; Cox, P.A. Study of the 4f and valence band density of states in rare-earth metals: II. Experiment and results. J. Phys. F Met. Phys. 1981, 11, 121–138. [Google Scholar] [CrossRef]
- Saini, S.M.; Singh, N.; Nautiyal, T.; Auluck, S. Comparative study of optical and magneto-optical properties of GdFe2and GdCo2. J. Phys. Condens. Matter 2007, 19, 176203. [Google Scholar] [CrossRef]
- Shabanova, I.N.; Keller, N.V. X-ray photoelectron studies of spin-state changes in 3d metal systems. Surf. Interface Anal. 2001, 32, 114–116. [Google Scholar] [CrossRef]
- Doniach, S.; Sunjic, M. Many-electron singularity in X-ray photoemission and X-ray line spectra from metals. J. Phys. C Solid State Phys. 1970, 3, 285–291. [Google Scholar] [CrossRef]
- Tougaard, S. Practical algorithm for background subtraction. Surf. Sci. 1989, 216, 343–360. [Google Scholar] [CrossRef]











Publisher’s Note: MDPI stays neutral with regard to jurisdictional claims in published maps and institutional affiliations. |
© 2020 by the authors. Licensee MDPI, Basel, Switzerland. This article is an open access article distributed under the terms and conditions of the Creative Commons Attribution (CC BY) license (http://creativecommons.org/licenses/by/4.0/).
Share and Cite
Sikora, M.; Bajorek, A.; Chrobak, A.; Deniszczyk, J.; Ziółkowski, G.; Chełkowska, G. Magnetic Properties and the Electronic Structure of the Gd0.4Tb0.6Co2 Compound. Materials 2020, 13, 5481. https://doi.org/10.3390/ma13235481
Sikora M, Bajorek A, Chrobak A, Deniszczyk J, Ziółkowski G, Chełkowska G. Magnetic Properties and the Electronic Structure of the Gd0.4Tb0.6Co2 Compound. Materials. 2020; 13(23):5481. https://doi.org/10.3390/ma13235481
Chicago/Turabian StyleSikora, Marcin, Anna Bajorek, Artur Chrobak, Józef Deniszczyk, Grzegorz Ziółkowski, and Grażyna Chełkowska. 2020. "Magnetic Properties and the Electronic Structure of the Gd0.4Tb0.6Co2 Compound" Materials 13, no. 23: 5481. https://doi.org/10.3390/ma13235481
APA StyleSikora, M., Bajorek, A., Chrobak, A., Deniszczyk, J., Ziółkowski, G., & Chełkowska, G. (2020). Magnetic Properties and the Electronic Structure of the Gd0.4Tb0.6Co2 Compound. Materials, 13(23), 5481. https://doi.org/10.3390/ma13235481

