Study of the Stiffness of the Bitumen Emulsion Based Cold Recycling Mixes for Road Base Courses
Abstract
1. Introduction
2. Materials and Methods
2.1. Materials and BSM-E Mix Design
2.2. Specimen Preparation and Curing
2.3. Indirect Tensile Stiffness Modulus (ITSM) Testing
2.4. Methodology of Flexible Pavement Design with a Cold Recycling Mix (CRM) Base Layer
3. Results and Discussion
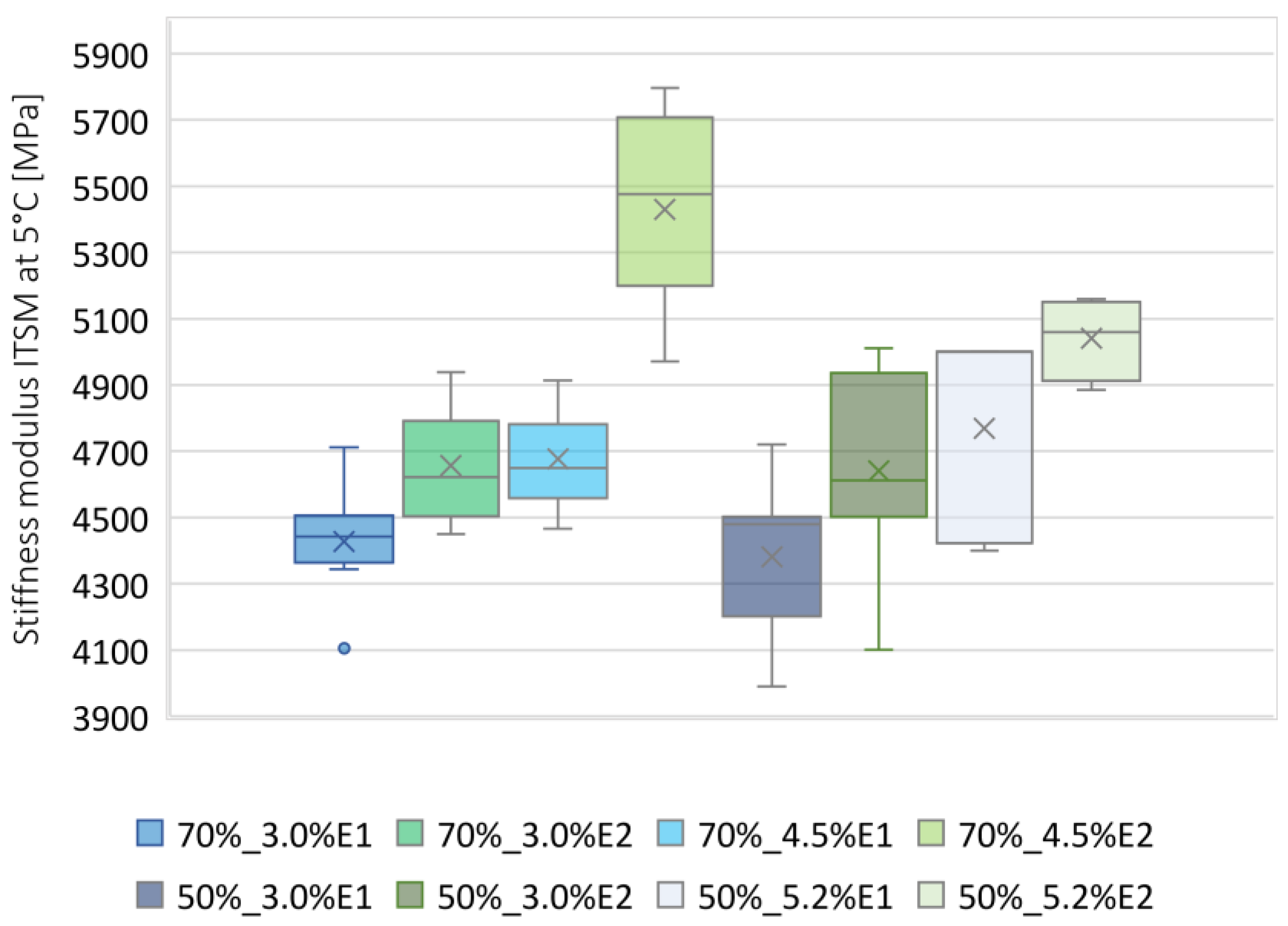
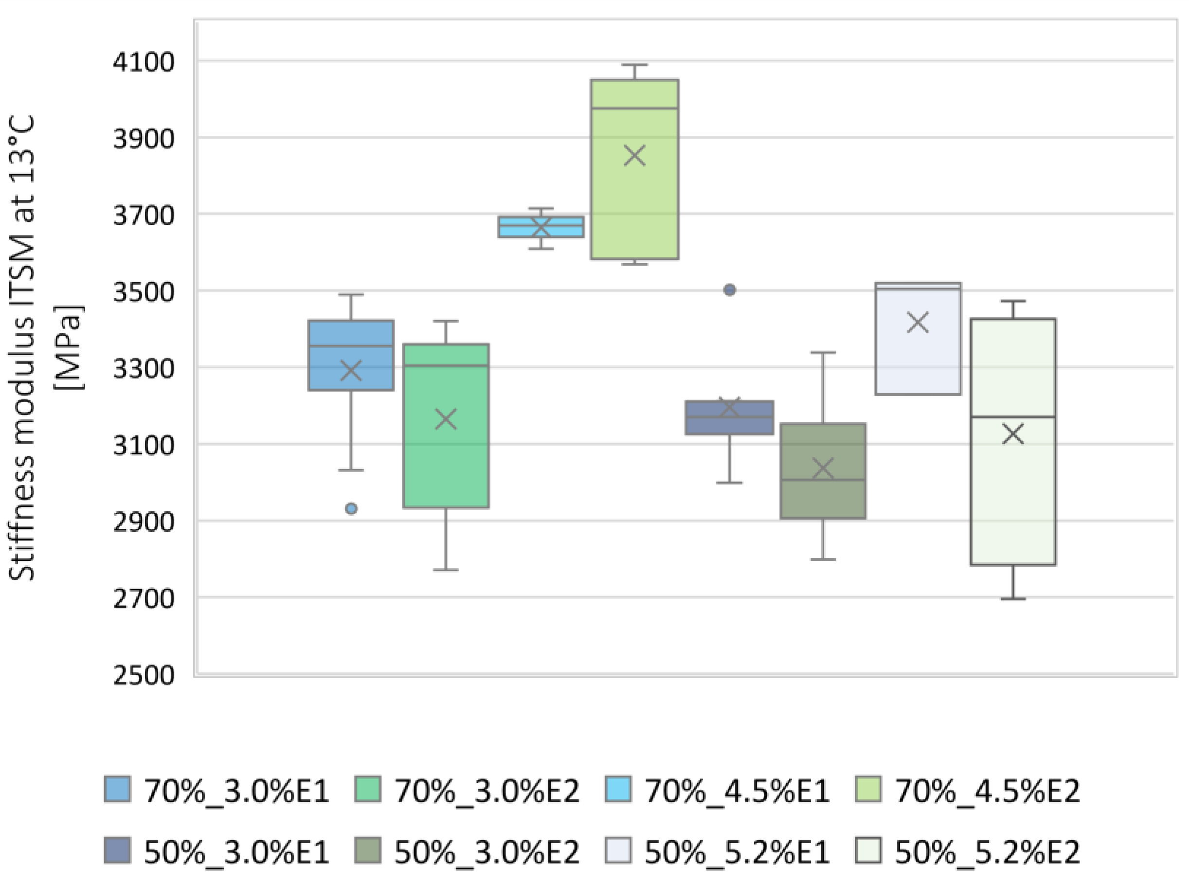
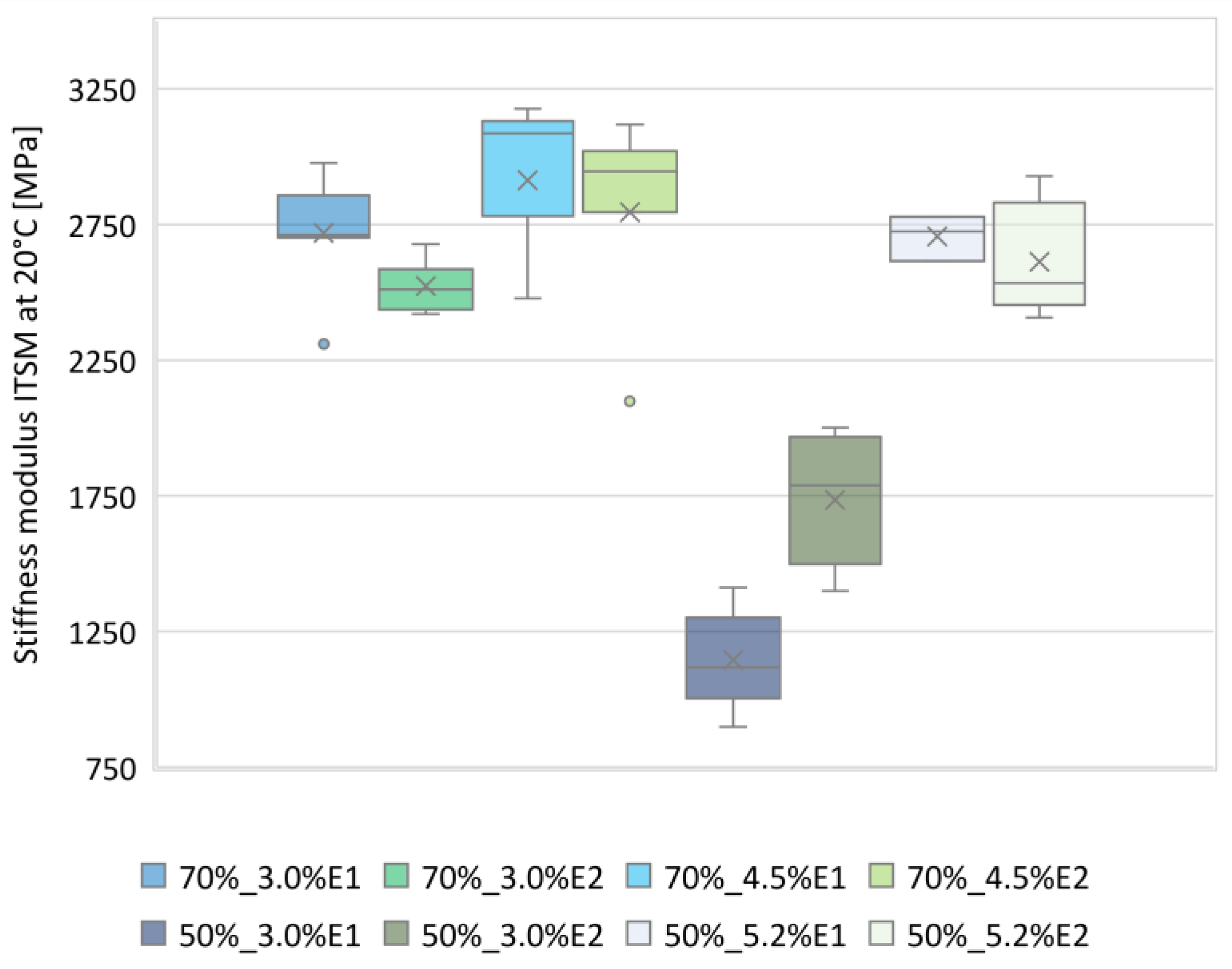
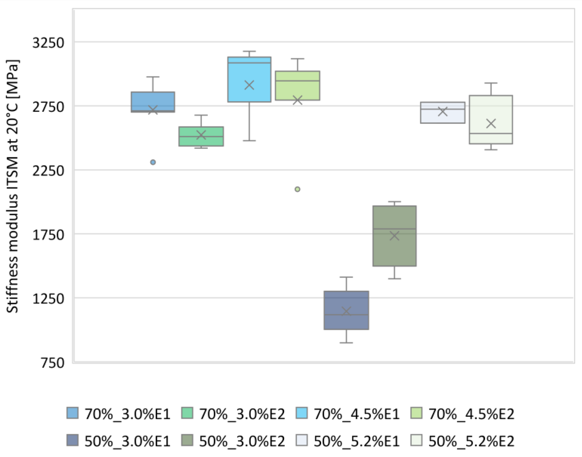
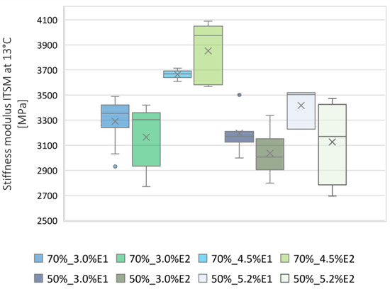
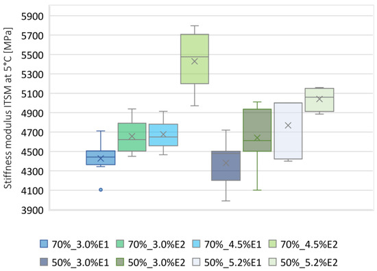
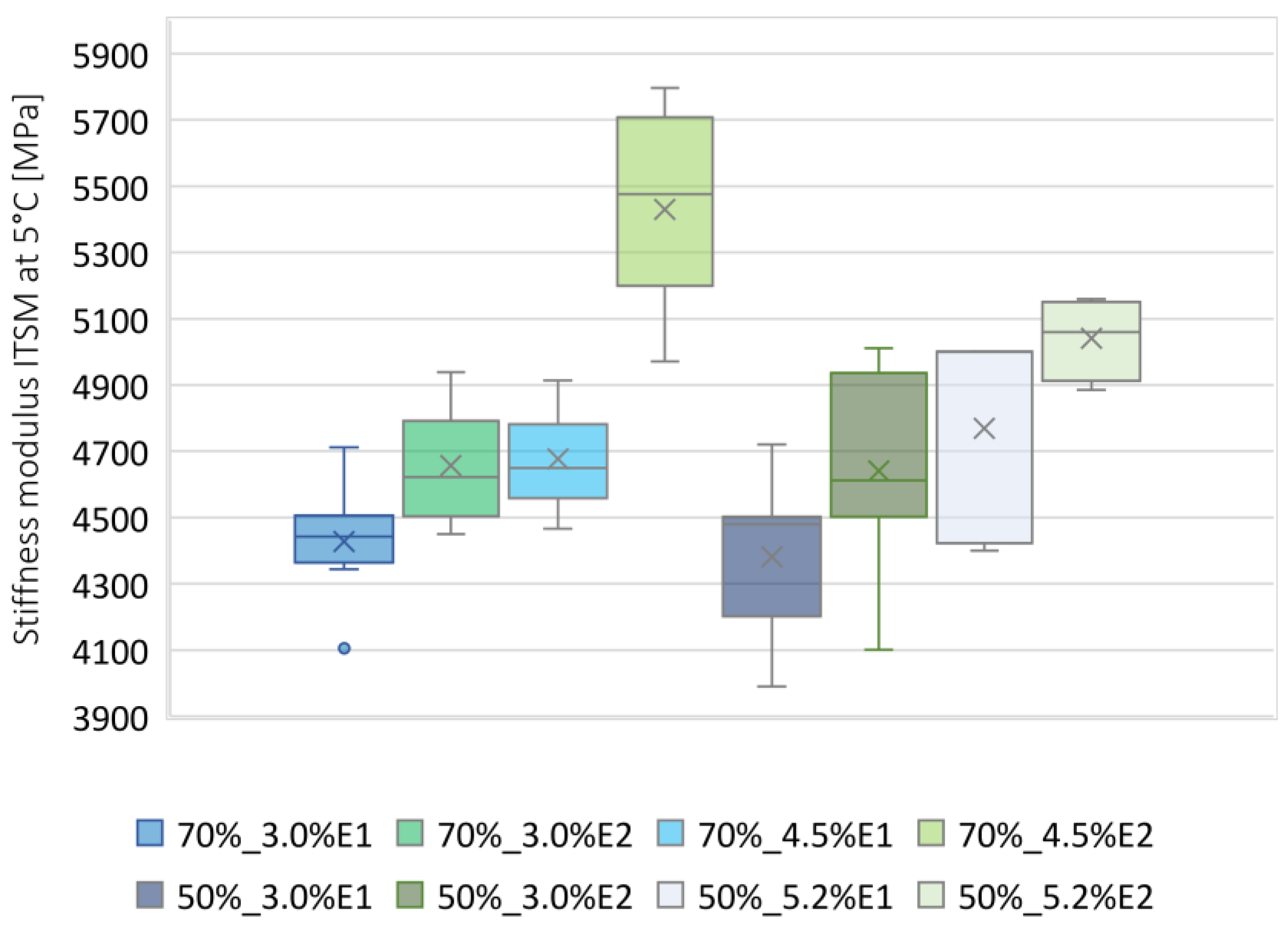
3.1. Indirect Tensile Stiffness Modulus (ITSM)
3.2. Temperature Dependency
3.3. Statistical Analysis of the BSM-E Stiffness Level
4. Analysis of Flexible Pavement Structures with BSM-E Base Layers
5. Conclusions
- Due to the reduced amount of cement, BSM-E mixtures exhibit 50–60% lower stiffness modulus values than CBTM mixtures in which a 3% cement addition is applied;
- The thermal sensitivities of the BSM-E mixtures depend on the type of bitumen emulsion used. Thermal sensitivities for the BSM-E mixtures are higher in comparison with CBTM mixtures, which may indicate that base layers made of CBTM do not exhibit the properties of flexible layers, but rather manifest behavior similar to rigid materials;
- Based on statistical analysis, assuming a 5% probability of obtaining lower stiffness modulus results, the following stiffness levels of BSM-E mixtures Stemp were determined at three testing temperatures: Stemp5 = 4000 MPa at 5 °C, Stemp13 = 2700 MPa at 13 °C, and Stemp20 = 2070 MPa at 20 °C;
- Assuming the validity of the BSM-E behavior hypothesis that a layer’s stiffness modulus increases during the initial period of pavement exploitation, and the material does not exhibit brittle cracking and a loss of initial stiffness, the constant BSM-E stiffness modulus value of 2700 MPa can be adopted for pavement design calculations;
- The adaptation of a higher stiffness modulus for BSM-E layers (2700 MPa) in comparison with CBTM layers (1500 MPa) is possible due to the expected difference of material characteristics from rigid and more prone to shrinkage and fatigue cracking for CBTMs to flexible and more crack-resistant BSM-E layers;
- The mechanistic-empirical pavement design calculations showed that, in the case of light traffic categories KR1–KR2, the application of BSM-E mixtures in base layers may bring potential benefits in terms of extended pavement life and the durability of local roads;
- For medium traffic categories (KR3–KR4), the thicknesses of asphalt layers presented in the national requirements can be reduced without negatively affecting the pavement life, which can contribute to the reduction of construction material use.
Author Contributions
Funding
Conflicts of Interest
References
- Fang, X.; Garcia, A.; Lura, P. Overview on cold cement bitumen emulsion asphalt. Rilem Tech. Lett. 2016, 1, 116–121. [Google Scholar] [CrossRef]
- Thom, N.; Dawson, A.R. Sustainable Road Design: Promoting Recycling and Non-Conventional Materials. Sustainability 2019, 11, 6106. [Google Scholar] [CrossRef]
- Grilli, A.; Graziani, A.; Bocci, M. Compactability and thermal sensitivity of cement–bitumen-treated materials. Road Mater. Pavement Des. 2012, 13, 599–617. [Google Scholar] [CrossRef]
- Cardone, F.; Grilli, A.; Bocci, M.; Graziani, A. Curing and temperature sensitivity of cement-bitumen treated materials. Int. J. Pavement Eng. 2015, 16, 868–880. [Google Scholar] [CrossRef]
- Xuan, D.; Houben, L.; Molenaar, A.A.A.; Shui, Z. Mechanical properties of cement-treated aggregate material—A review. Mater. Des. 2012, 33, 496–502. [Google Scholar] [CrossRef]
- Fedrigo, W.; Peres Núñez, W.; Radünz Kleinert, T.; Ferreira Matuella, M.; Pereira Ceratti, J.A. Strength, shrinkage, erodibility and capillary flow characteristics of cement-treated recycled pavement materials. Int. J. Pavement Res. Technol. 2017, 10, 393–402. [Google Scholar] [CrossRef]
- Nusit, K.; Jitsangiam, P. Damage Behavior of Cement-Treated Base Material. Procedia Eng. 2016, 143, 161–169. [Google Scholar] [CrossRef]
- Wirtgen Group. Wirtgen Cold Recycling Technology, 1st ed.; Wirtgen GmbH: Windhagen, Germany, 2012; pp. 18–19. [Google Scholar]
- Southern African Bitumen Association (Sabita). A Guideline for the Design and Construction of Bitumen Emulsion and Foamed Bitumen Stabilised Materials; Technical Guideline: Bitumen Stabilised Materials, 3rd ed.; Southern African Bitumen Association (Sabita): Cape Town, South Africa, 2020; pp. 1–2, 7–8, 36–37. [Google Scholar]
- Perez, I.; Medina, L.; del Val, M.A. Mechanical properties and behaviour of in situ materials which are stabilised with bitumen emulsion. Road Mater. Pavement Des. 2013, 14, 221–238. [Google Scholar] [CrossRef]
- Nivedya, M.; Veeraragavan, A.; Krishnan, J.M.; Erkens, S.; Liu, X.; Anupam, K.; Yiqiu, T. How to characterize the mechanical response of Bitumen Stabilized Material? In Proceedings of the 4th Chinese-European Workshop on Functional Pavement Design, Delft, The Netherlands, 29 June–1 July 2016; pp. 355–364. [Google Scholar]
- Jenkins, K. Cracking Behaviour of Bitumen Stabilised Materials (BSMs): Is There Such a Thing? Strain-Hardening Cem. Based Compos. 2012, 4, 1007–1015. [Google Scholar] [CrossRef]
- Ebels, L.J. Characterisation of Material Properties and Behaviour of Cold Bituminous Mixtures for Road Pavements. Ph.D. Thesis, Stellenbosch University, Stellenbosch, South Africa, 2008. [Google Scholar]
- Fan, L.; Lyu, Y.; Fan, L.; Zhang, Y. Effects of Cement and Emulsified Asphalt on Properties of Mastics and 100% Cold Recycled Asphalt Mixtures. Materials 2019, 12, 754. [Google Scholar] [CrossRef]
- Iwanski, M.; Chomicz-Kowalska, A. Moisture and Frost Resistance of the Recycled Base Rehabilitated with the Foamed Bitumen Technology/Odpornosc Na Oddziaływanie Wody I Mrozu Podbudowy W Technologii Recyklingu Z Asfaltem Spienionym. Arch. Civ. Eng. 2012, 58, 185–198. [Google Scholar] [CrossRef][Green Version]
- Iwański, M.; Chomicz-Kowalska, A. Laboratory Study on Mechanical Parameters of Foamed Bitumen Mixtures in the Cold Recycling Technology. Procedia Eng. 2013, 57, 433–442. [Google Scholar] [CrossRef]
- Sainton, A.; Bourdrel, D. Procédé de double traitement à froid des matériaux au ciment et à l’émulsion de bitumen. Rev. Générale Routes Aérodromes 1994, 719, 34–41. [Google Scholar]
- Dołżycki, B.; Jaskula, P. Review and evaluation of cold recycling with bitumen emulsion and cement for rehabilitation of old pavements. J. Traffic Transp. Eng. 2019, 6, 311–323. [Google Scholar] [CrossRef]
- Engbers, G.; Smallegange, J.P. The development of Emulscement®: A base material with a future. In Reflective Cracking in Pavements: Design and Performance of Overlay Systems, 1st ed.; Francken, L., Beuving, E., Molenaar, A.A.A., Eds.; CRC Press: London, UK, 1996; pp. 18–29. ISBN 9780429077630. [Google Scholar]
- Kukiełka, J.; Bańkowski, W. The experimental study of mineral-cement-emulsion mixtures with rubber powder addition. Constr. Build. Mater. 2019, 226, 759–766. [Google Scholar] [CrossRef]
- Buczyński, P.; Iwański, M.; Mazurek, G.; Krasowski, J.; Krasowski, M. Effects of Portland Cement and Polymer Powder on the Properties of Cement-Bound Road Base Mixtures. Materials 2020, 13, 4253. [Google Scholar] [CrossRef]
- Dolzycki, B.; Szydlowski, C.; Jaczewski, M. The influence of combination of binding agents on fatigue properties of deep cold in-place recycled mixtures in Indirect Tensile Fatigue Test (ITFT). Constr. Build. Mater. 2020, 239, 117825. [Google Scholar] [CrossRef]
- Jenkins, K.J.; Long, F.M.; Ebels, L.J. Foamed bitumen mixes = shear performance? Int. J. Pavement Eng. 2007, 8, 85–98. [Google Scholar] [CrossRef]
- Liebenberg, J.J.E.; Visser, A.T. Stabilization and Structural Design of Marginal Materials for Use in Low-Volume Roads. Transp. Res. Rec. J. Transp. Res. Board 2003, 1819, 166–172. [Google Scholar] [CrossRef]
- Liebenberg, J.J.E.; Visser, A.T. Towards a mechanistic structural design procedure for emulsion- treated base layers. J. S. Afr. Inst. Civ. Eng. 2004, 46, 2–8. [Google Scholar]
- Ebels, L.J.; Jenkins, K.; Collings, D. Cold mix (bitumen stabilization) technology in Southern Africa into the 21st century. In Proceedings of the International Symposium on Pavement Recycling, São Paulo, Brazil, 14–16 March 2005. [Google Scholar]
- Dolzycki, B. Guidelines for Design and Paving of Mineral-Cement-Emulsion Mixes (MCE); General Directorate for National Roads and Motorways: Gdansk, Poland, 2014; pp. 17–19. (In Polish) [Google Scholar]
- Judycki, J.; Jaskuła, P.; Pszczoła, M. The Catalogue of Typical Flexible and Semi-Rigid Pavements; General Directorate for National Roads and Motorways: Gdansk, Poland, 2014; p. 79. (In Polish) [Google Scholar]
- Preti, F.; Gouveia, B.C.S.; Rahmanbeiki, A.; Romeo, E.; Carter, A.; Tebaldi, G. Application and validation of the cohesion test to characterise reclaimed asphalt pavement. Road Mater. Pavement Des. 2019, 20, S434–S445. [Google Scholar] [CrossRef]











| Mixture Type | Mixture Designation | Ingredient Content [%] | |||||
|---|---|---|---|---|---|---|---|
| RAP | Basalt Aggregate 0/31.5 mm | Basalt Aggregate 0/2 mm | Bitumen Emulsion | Bitumen Type | Cement | ||
| BSM-E | 70%_3.0%E1 70%_3.0%E2 | 70 | – | 30 | 3.0 | 50/70 | 1.0 |
| 70/100 | |||||||
| 70%_4.5%E1 70%_4.5%E2 | 4.5 | 50/70 | |||||
| 70/100 | |||||||
| BSM-E | 50%_3.0%E1 50%_3.0%E2 | 50 | 37.5 | 12.5 | 3.0 | 50/70 | 1.0 |
| 70/100 | |||||||
| 50%_5.2%E1 50%_5.2%E2 | 5.2 | 50/70 | |||||
| 70/100 | |||||||
| CBTM | CBTM 3% Cement | 50 | 50 | – | 3.0 | 70/100 | 3.0 |
| ITSM | CBTM 3% Cement | 70%_3.0%E1 | 70%_3.0%E2 | 50%_3.0%E1 | 50%_3.0%E2 | 70%_4.5%E1 | 70%_4.5%E2 | 50%_5.2%E1 | 50%_5.2%E2 |
|---|---|---|---|---|---|---|---|---|---|
| AITSM (logMPa/°C) | 0.0120 | 0.0142 | 0.0178 | 0.0383 | 0.0284 | 0.0137 | 0.0193 | 0.0155 | 0.0192 |
| BITSM (logMPa) | 4.0166 | 3.7086 | 3.7492 | 3.8872 | 3.8221 | 3.7395 | 3.8279 | 3.7395 | 3.7838 |
| R2 | 0.9809 | 0.9783 | 0.9878 | 0.8918 | 0.9861 | 0.9996 | 0.9983 | 0.9988 | 0.9659 |
| Temperature (°C) | Statistical Sample Size | Average Stiffness Modulus Value (MPa) | St. Dev. (MPa) | p-Value (Shapiro–Wilk Test) |
|---|---|---|---|---|
| 5 | 40 specimens | 4678 | 406 | 0.056872 |
| 13 | 50 specimens | 3289 | 355 | 0.777681 |
| 20 | 40 specimens | 2619 | 329 | 0.370573 |
| Base Layer | CBTM Mixture; E = 1500 MPa | BSM-E Mixture; E = 2700 MPa | |||||||
|---|---|---|---|---|---|---|---|---|---|
| Traffic Category | KR1 | KR2 | KR3 | KR4 | KR1 | KR2 | KR3 | KR4 | |
| Asphalt/CBTM or BSM-E Layers Thickness (cm) | 8/15 | 12/15 | 12/20 | 16/20 | 8/15 | 12/15 | 12/20 | 16/20 | |
| Pavement Life (No. of Equivalent Single Axle Loads) | N1 1 | 0.1 | 0.8 | 2.8 | 10.5 | 0.5 | 2.1 | 8.7 | 28.0 |
| N2 2 | 17.2 | 9.6 | 12.6 | 17.8 | 252.4 | 60.1 | 87.5 | 86.8 | |
| Min (N1, N2) | 0.1 | 0.8 | 2.8 | 10.5 | 0.5 | 2.1 | 8.7 | 28.0 | |
| Required Pavement Life acc. to Traffic Category (No. Equivalent Single Axle Loads) [28] | 0.03–0.09 | 0.09–0.50 | 0.5–2.5 | 2.5–7.4 | 0.03–0.09 | 0.09–0.50 | 0.5–2.5 | 2.5–7.4 | |
| Reserve of Pavement Life (%) | +11% | +60% | +12% | +42% | +456% | +320% | +248% | +278% | |
| Traffic Category | KR3 | KR4 | |||
|---|---|---|---|---|---|
| Pavement Design Solution | Basic Solution CBTM | Alternative Solution BSM-E | Basic Solution CBTM | Alternative Solution BSM-E | |
| Asphalt/CBTM or BSM-E Layers Thickness (cm) | 12·(4 + 8) i/20 | 10·(4 + 6) i/20 | 16·(4 + 5 + 7) ii/20 | 14·(4 + 4 + 6) ii/20 | |
| Tensile Strain: Bottom of Asphalt Layers (μm/m) | 82.50 | 48.58 | 70.45 | 55.32 | |
| Compressive Strain: Top of Subgrade (μm/m) | 381.8 | 342.9 | 285.5 | 259.50 | |
| Pavement Life (No. of Equivalent Single Axle Loads) | N1 1 | 2.8 | 4.6 | 10.5 | 16.1 |
| N2 2 | 12.6 | 118.9 | 17.8 | 48.1 | |
| min (N1, N2) | 2.8 | 4.6 | 10.5 | 16.1 | |
| Required Pavement Life Acc. to Traffic Category (No. of Equivalent Single Axle Loads) [28] | 0.5–2.5 | 2.5–7.4 | |||
| Basic/Alternative Solution Pavement Life Ratio | 1 | 1.6 | 1 | 1.5 | |
Publisher’s Note: MDPI stays neutral with regard to jurisdictional claims in published maps and institutional affiliations. |
© 2020 by the authors. Licensee MDPI, Basel, Switzerland. This article is an open access article distributed under the terms and conditions of the Creative Commons Attribution (CC BY) license (http://creativecommons.org/licenses/by/4.0/).
Share and Cite
Konieczna, K.; Pokorski, P.; Sorociak, W.; Radziszewski, P.; Żymełka, D.; Król, J.B. Study of the Stiffness of the Bitumen Emulsion Based Cold Recycling Mixes for Road Base Courses. Materials 2020, 13, 5473. https://doi.org/10.3390/ma13235473
Konieczna K, Pokorski P, Sorociak W, Radziszewski P, Żymełka D, Król JB. Study of the Stiffness of the Bitumen Emulsion Based Cold Recycling Mixes for Road Base Courses. Materials. 2020; 13(23):5473. https://doi.org/10.3390/ma13235473
Chicago/Turabian StyleKonieczna, Katarzyna, Piotr Pokorski, Wojciech Sorociak, Piotr Radziszewski, Dawid Żymełka, and Jan Bolesław Król. 2020. "Study of the Stiffness of the Bitumen Emulsion Based Cold Recycling Mixes for Road Base Courses" Materials 13, no. 23: 5473. https://doi.org/10.3390/ma13235473
APA StyleKonieczna, K., Pokorski, P., Sorociak, W., Radziszewski, P., Żymełka, D., & Król, J. B. (2020). Study of the Stiffness of the Bitumen Emulsion Based Cold Recycling Mixes for Road Base Courses. Materials, 13(23), 5473. https://doi.org/10.3390/ma13235473

