Abstract
Continuous alumina fiber exhibits excellent mechanical properties owing to its dense microstructure with fine grains. In this study, alumina fiber was prepared by the sol–gel method using iron sol as a nucleating agent. It was proposed that the α-Al2O3 grain size be adjusted based on the modification of colloidal particle size. The effect of holding temperature and reaction material ratio on the iron colloidal particle size was studied. The microstructure of alumina fiber was characterized by scanning electron microscopy (SEM). The experiment results indicated that iron colloidal particle size increases with the holding temperature and the NH4HCO3/Fe(NO3)3·9H2O ratio. The alumina fiber with uniform nano α-Al2O3 grains was obtained by calcination at 1400 °C for 5 min. The mean grain size tends to rise with the mean colloidal particle size. Using the iron sol as a nucleating agent, the fiber with a mean grain size of 22.5 nm could be formed. The tensile strength of fibers increased with the decrease of grain size.
1. Introduction
Continuous alumina fiber has been widely applied in various fields such as aerospace, military industry and automobile, owing to its high strength, high modulus and exceptional oxidation resistance [1,2,3,4,5,6]. The excellent mechanical properties of alumina fiber mainly depend on the dense nanocrystalline structure. For example, NextelTM 610 fiber and FP fiber are typical alumina fibers with high purity of α-Al2O3 (>99 wt.%). The NextelTM 610 fiber, having a grain size of ~100 nm, exhibits high tensile strength of greater than 3.1 GPa [3], while the tensile strength of FP fiber is only about 1.4 GPa due to its larger grains (>500 nm) [5]. Hay et al. [6] found that the tensile strength of NextelTM 610 fiber was reduced with the growth of α-Al2O3 grains. Thus, controlling the grain size is essentially important in order to prepare high performance alumina fiber.
Generally, alumina fiber is prepared by the sol-gel method [7,8,9,10,11,12]. In this method, complex phase transformations of Al2O3 take place. The fiber transfers from amorphous to metastable phases (η, δ, γ, etc.) and then transforms into α-Al2O3. Since the transformation temperature of metastable phases to α-Al2O3 is about 1200 °C, it is challenging to avoid α-Al2O3 grain from coarsening during the transformation and densification processes. In order to obtain fiber with fine grains, nano α-Al2O3, α-Fe2O3 and α-Cr2O3 serving as seeds are added in alumina fiber, which induce the heterogeneous nucleation of α-Al2O3 at a lower temperature [13,14,15,16,17,18]. Yamamura et al. [14] found that the alumina gel added with 5 wt.% α-Al2O3 particles partially crystallized to α-Al2O3 by annealing at temperature as low as 600 °C. Li et al. [19] revealed that the addition of 3 wt.% α-Al2O3 seeds lowered the γ-to-α transformation temperature by 175 °C. As a result, the primary α-Al2O3 grain size decreased from 56 to 30 nm. Kumagai et al. [20] found that the introduction of nano α-Al2O3 seeds resulted in a dense microstructure with α-Al2O3 grain size of 100–400 nm at 1200 °C. In addition, NextelTM 610 fiber, the most representative alumina fiber, was also successfully produced by adding 0.7 wt.% Fe2O3. The addition of Fe2O3 provided the benefits of forming fine α-Al2O3 grains with the uniform size of 100 nm. In theory, increasing nucleation sites leads to the formation of more α-Al2O3 grains, subsequently contributing to refine grains. Li et al. [19] found that the grain size of the alumina fiber sintered at 1100 °C decreases from 86.7 to 74.3 nm, when the weight percent of α-Al2O3 seeds rises from 1% to 3%. However, the content of nucleating agent cannot be added indefinitely in order to obtain continuous high purity alumina fiber.
Theoretically, reducing the seed size is an effective way to increase the amount of nucleation sites when the content of the nucleating agent is constant. Xie et al. [21] compared the effect of α-Al2O3-seed size on the transformation from κ to α phase. Employing the same content of nucleating agent, the sample added with finer α-Al2O3 powder exhibits a smaller average particle size with a narrow distribution. However, the size of α-Al2O3, Fe2O3 and α-Cr2O3 powders is limited by the production technologies, which is usually lager than 10 nm. Considering the agglomeration of nanoparticles, the nucleation seed size is almost larger than the particle size of powders. Thus, employing powders as nucleating agents, the seed size is difficult to further decrease. Wilson et al. [22] prepared a dense α-Al2O3 fiber with finer grains (200–300 nm) through the addition of iron sol. It was confirmed that the iron sol could be transformed into α-Fe2O3 before the formation of α-Al2O3 and accelerating the transformation from metastable phases to α-Al2O3. Compared with powders, the size of colloidal particles can be controlled in the range of 1–100 nm. In addition, the iron colloidal particles can be uniformly distributed in the aluminum sol. However, these factors affecting iron colloidal particle size are unclear. The influence of iron colloidal particle sizes on the transformation of Al2O3 and the morphology of α-Al2O3 grains has not been reported.
In this paper, it was proposed to prepare alumina fiber with ultra-fine grains by adjusting the iron colloidal particle size. Fe(NO3)3·9H2O and NH4HCO3 were employed to prepare the iron sol. The effect of the material ratio and reaction temperature on the microstructure of iron colloidal particles was investigated. Alumina fiber with the nano grain size was prepared using iron sol as a nucleating agent. The relationship between the iron colloidal particle size and the grain size of α-Al2O3 fiber was discovered. The effect of iron sol on the microstructure of alumina fiber was discussed.
2. Materials and Methods
2.1. Iron Sol Preparation
Analytical pure Fe(NO3)3·9H2O and NH4HCO3 provided by Aladdin (Shanghai, China) were used to prepare the iron sol. Firstly, Fe(NO3)3·9H2O and NH4HCO3 were dissolved in a proper amount of water at room temperature. The weight ratios of Fe(NO3)3·9H2O/H2O and NH4HCO3/H2O were set to be at 1:23.5 and 1:10, respectively. Then, a certain amount of NH4HCO3 solution was slowly added (3 drops/s) into the rapidly stirred Fe(NO3)3 solution, which was placed in a 500 mL conical flask and stirred by a magnetic stirrer. The molar ratios of NH4HCO3 to Fe(NO3)3·9H2O were set to be at 1.5, 1.75, 2.0, 2.25 and 2.5. Finally, the mixed solution was held at a certain temperature for 1 h. The holding temperature varied from 25 to 80 °C.
2.2. Preparation of Alumina Fibers
In this study, alumina fiber was prepared by the sol-gel method, which includes the preparation of alumina precursor sol, concentration of the precursor sol and the spinning and sintering processes [23,24]. In this study, alumina powder (>99.5 wt.%, 1–3 μm), formic acid (99 wt.%), acetic acid (99.5 wt.%), nitric acid (65 wt.%) and deionized water (lab made) were employed to prepare the alumina precursor sol. The alumina powder, formic acid, acetic acid and nitric acid were all provided by Aladdin (Shanghai, China). The molar ratio of starting materials was set to be at 1:0.67:0.6:0.36:28. The alumina precursor sol was prepared at 85 °C in a single-layer glass reactor. The iron sol was added into the alumina precursor sol prior to the concentration process. The additional amount of iron sol was set in order to obtain a high-purity alumina fiber with 0.65 wt.% Fe2O3. The mixed solution was concentrated at 30–60 °C using a rotary evaporator (Shanghai Xiande Experimental Instrument Co., LTD, Shanghai, China) to obtain sols with a suitable viscosity (50–200 Pa∙s) for spinning. The precursor fiber was prepared using a lab-made dry spinning apparatus and collected by a bobbin winder. The precursor fiber was first preheated at 500 °C and then calcined at 1400 °C for 5 min using a tube furnace (BTF-1600C-IV-SL, BEQ, Hefei, China).
2.3. Characterization
The morphology of iron colloidal particles was observed by a high-resolution transmission electron microscopy (TEM, JEM-2100F, JEOL, Tokyo, Japan). The colloidal particle size and Zeta potential of iron sol were measured by a particle size analyzer (Zetasizer Nano ZS, Malvern, Malvern, England). The thermal decomposition behavior of iron sol was analyzed using a simultaneous thermal analyzer (STA-449C, Netzsch, Selb, Germany). The microstructure of calcined alumina fiber was characterized by a scanning electron microscopy (SEM, Nova Nano, FEI, Hillsboro, Oregon, USA). The fiber mean grain size was calculated by measuring the grain sizes using the image analysis software Images J (V1.51, National Institutes of Health, Bethesda, Maryland, America). More than 800 grains were randomly selected from the cross-section image and measured for each fiber. The tensile strength of the fiber was measured by a fiber strength tester (XS(08)XT-3, XuSai, Shanghai, China) at room temperatures. The gauge length of the tested fiber was set to be at 15 mm. The cross-sectional area of the fiber was measured by SEM. In this study, thirty samples were tested for each kind of fiber in order to acquire its strength values.
3. Results and Discussion
3.1. Effect of Preparation Conditions on the Size of Iron Colloidal Particles
In this study, iron sol was successfully prepared, which could be characterized by the color of dark red-brown. When a laser beam penetrated the sol, the Tyndall effect could be clearly observed. The morphology of iron colloidal particles obtained at different holding temperature is shown in Figure 1. In these cases, the molar ratio of NH4HCO3 to Fe(NO3)3·9H2O was set to be at 2.5. In Figure 1, the black dots correspond to iron colloidal particles. It can be seen that the colloidal particles are approximately spherical with a particle size of less than 10 nm. When the holding temperature rises, the colloidal particles tend to be larger.
Figure 1.
The morphology of iron colloidal particles prepared at different temperatures: (a) 40 °C; (b) 50 °C; (c) 60 °C; (d) 70 °C; (e) 80 °C.
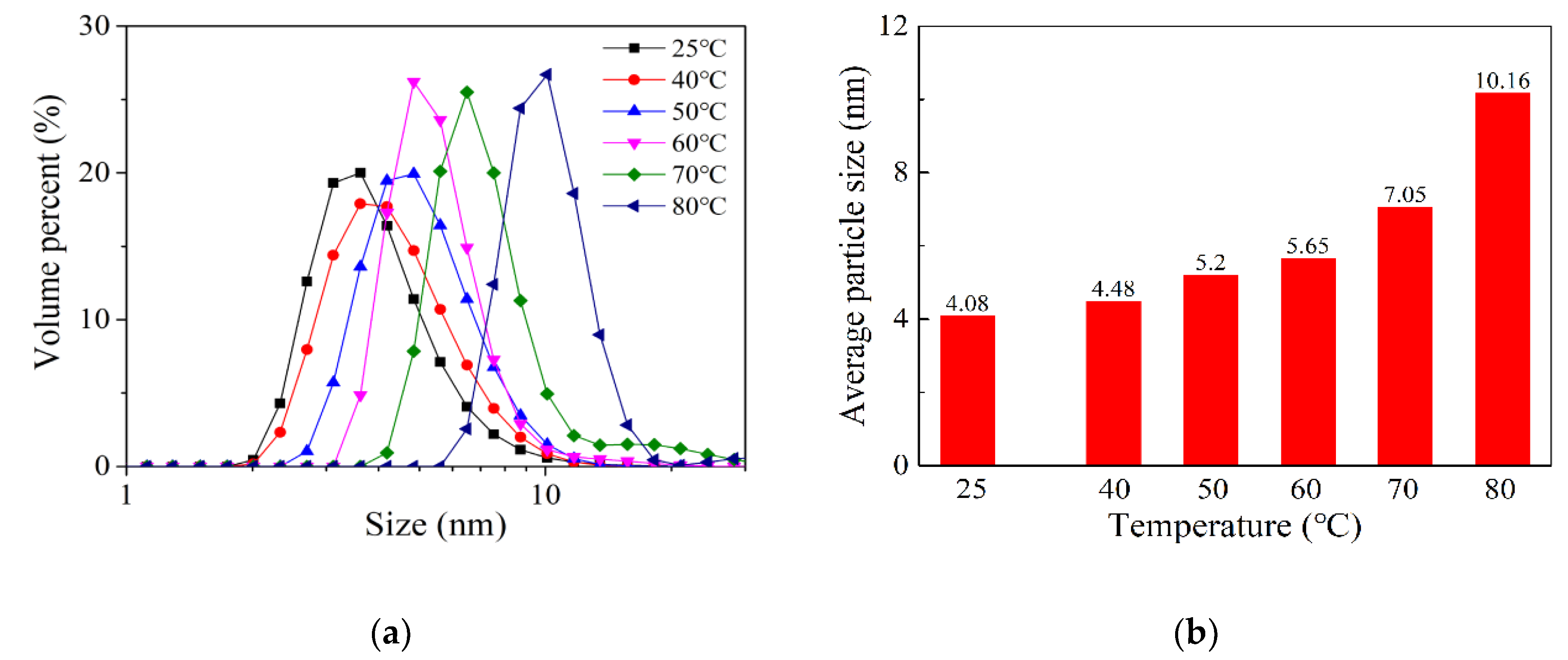
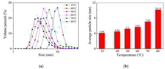
The colloidal particle size of iron sol was measured by a particle size analyzer. As shown in Figure 2a, the colloidal particle size follows the lognormal distribution. The sol that was prepared at temperatures ranging from 25 to 70 °C, its colloidal particle size mainly distributed in the range of 2–10 nm. With the increase of holding temperature, the distribution curve of colloidal particle size shifted to the right, which means that large colloidal particles tend to be formed at a higher temperature. When the holding temperature increased to 80 °C, the colloidal particle size varied from 5 to 20 nm, which is much larger than others. Figure 2b shows the average size of iron colloidal particles. It was also found that the average size sharply increases from 7.06 to 10.16 nm, when the holding temperature rose from 70 to 80 °C. Compared with the TEM results, the colloidal particle size obtained by the particle size analyzer is a little larger. This is because water in iron colloidal particles was lost during the preparation of the TEM sample. As a result, the size of iron colloidal particles decreased. Based on the above results, it is confirmed that increasing holding temperature contributes to larger iron colloidal particles being formed.
Figure 2.
The size of iron colloidal particles prepared at different temperatures: (a) size distribution; (b) average size.
Figure 3a presents the effect of NH4HCO3/Fe(NO3)3·9H2O ratio on the size distribution of the iron colloidal particles prepared at 50 °C. As shown in this figure, iron colloidal particle size mainly distributes in the range of 2–10 nm. The distribution curves of colloidal particle size are similar to the iron sols prepared under different conditions. When the ratio rises from 1.5 to 2.5, the distribution curve shifts to the right a little. Figure 3b shows the relationship between the average colloidal particle size and the NH4HCO3/Fe(NO3)3·9H2O molar ratio. It can be seen that the average size of iron colloidal particles is only 3.61 nm when the NH4HCO3/Fe(NO3)3·9H2O ratio is set to be at 1.5. With the increase of the material ratio, the average colloidal particle size slightly increases from 3.61 to 5.2 nm.
Figure 3.
The size of iron colloidal particles prepared with different NH4HCO3/Fe(NO3)3·9H2O ratios at 50 °C: (a) size distribution; (b) average size. k in Figure 3a represents NH4HCO3/Fe(NO3)3·9H2O ratio.
The stability of iron sol was studied by measuring the Zeta potential. As shown in Figure 4, the iron colloidal particles are positively charged, which is the same as alumina precursor colloidal particles. The zeta potential of iron sol ranges from 15 to 34 mV, indicating that all the sols are stable. Thus, the iron sol and alumina precursor sol can be mixed evenly without colloid coagulation. Among all sols, the one prepared at 50 °C with the NH4HCO3/Fe(NO3)3·9H2O ratio of 1.5 has the smallest zeta potential. This is probably related to its small colloidal particle size.
Figure 4.
The Zeta potential of iron sols: (a) Zeta potential vs. holding temperature; (b) Zeta potential vs. NH4HCO3/Fe(NO3)3·9H2O ratio.
During the preparation process of iron sol, many complicated chemical reactions took place, such as the hydrolysis reaction and the polymerization reaction. It was discovered that hydrous iron polymers have the following formula [25],
where s is the charge of the counterion having a value of 1, 2 or 3 and n can be larger than 500. The counterion can be any water-solubilizing anion, such as Cl−, NO3− and COOH−. These complicated reactions can be simply described in the following equations:
[FeOq(OH)x(H2O)p[3-(x + 2q)]+]n[counterions−][3 − (x + 2q)]n/s
In this study, adding more NH4HCO3 solution in the Fe(NO3)3 solution will consume more H+ and accelerate the hydrolysis reaction of Fe3+. Since the Fe3+ hydrolysis reaction is an endothermic reaction, the increasing temperature also promotes the hydrolysis reaction. As a result, the value of x increases with the increase of holding temperature or NH4HCO3/Fe(NO3)3·9H2O ratio. In the hydrous iron polymer, OH– can work as a bridge joining the two Fe3+ together. When the value of x increases, the colloid particles become larger. Although the polymerization reaction is an exothermic reaction, a large energy barrier should be overcome during the polymerization process [26]. Thus, large colloidal particles tend to be formed at higher holding temperatures.
3.2. Thermal Analysis of Iron Sol
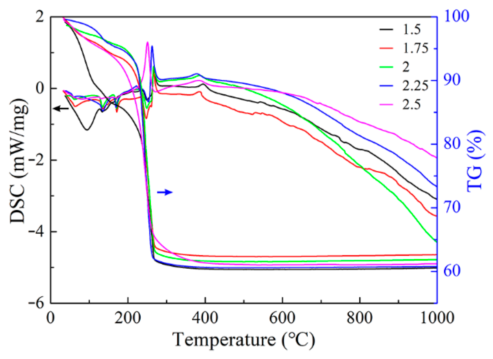
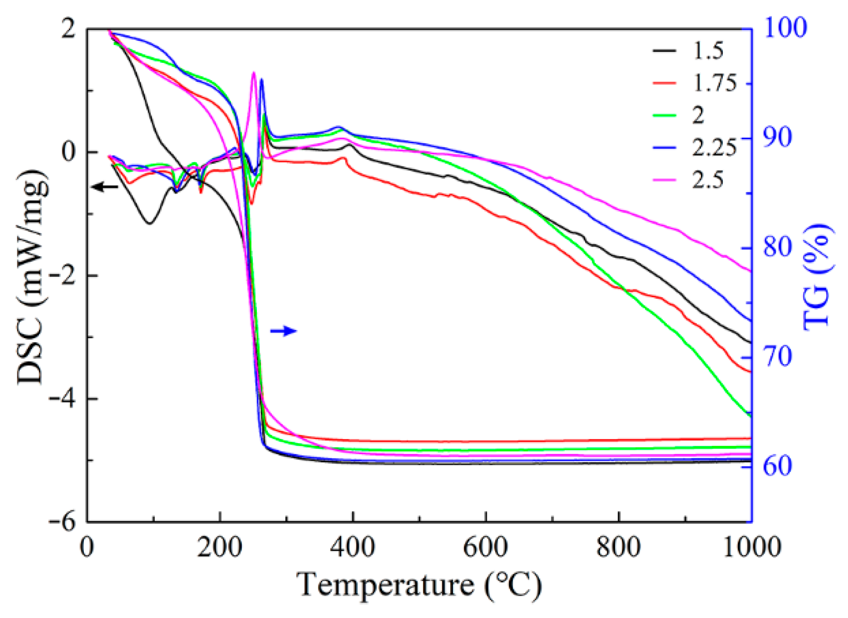
Figure 5 shows the TG–DSC curves of iron sols prepared with different NH4HCO3/Fe(NO3)3·9H2O ratios. It can be seen that these TG–DSC curves are similar for different samples. Thus, the iron sol prepared at 70 °C with the NH4HCO3/Fe(NO3)3·9H2O ratio of 2.5 was taken as an example to study its thermal decomposition behavior. These TG–DSC curves of iron sol obtained at a heating rate of 10 °C/min in air atmosphere are presented in Figure 5. The TG curve reveals that the mass loss of iron sol occurs from room temperature to about 400 °C, which can be divided into three stages. In the first stage, from room temperature to about 190 °C, the mass decreases slowly and the weight loss is about 7%. The second stage is from 190 °C to 270 °C. In this stage, the mass sharply declines from 93% to 64%. In the third stage (270–400 °C), the mass decreases gradually and the weight loss is only 3%. After that, the mass of iron sol keeps in constant. During the thermal decomposition process, the total weight loss is approximately 39%. As shown in Figure 5, there are three small endothermic peaks and two exothermic peaks in the DSC curve. All endothermic peaks distribute in the first stage. The two exothermic peaks are at 251 and 380 °C, respectively. Among all peaks, the one at 251 °C is the sharpest, which corresponds to the sharp decline in mass. According to the TG–DSC curves, it was inferred that the first stage of thermal decomposition is related to the removal of free water, bound water and ammonia gas. In the second stage, the dehydration and condensation of hydroxyl and the decomposition of Nitrate take place. In the third stage, the weight loss is probably caused by the removal of residual hydroxyl and Nitrate.
Figure 5.
TG–DSC curves of the iron sol prepared with different NH4HCO3/Fe(NO3)3·9H2O ratio at 70 °C.
The exothermic peak at 380 °C is related to the transformation from iron sol to α-Fe2O3. It can be seen that α-Fe2O3 starts to form at about 350 °C. Figure 6 shows the XRD patterns of the iron sols. The iron sol dried at 60 °C for 12 h consists of orthorhombic NH4NO3 (o-NH4NO3), the amorphous phase and a small amount of tetragonal NH4NO3 (t-NH4NO3). The amorphous phase corresponds to the hydrous iron polymers. When the iron sol was annealed at 200 °C for 1 h, the thermal decomposition of iron sol occurred. As a result, the intensity of these peaks related to o-NH4NO3 and t-NH4NO3 decreases. When the sol was calcined at 300 or 400 °C for 1 h, the iron sol completely transformed into α-Fe2O3. Since the formation temperature of α-Fe2O3 is much lower than that of α-Al2O3, the iron sol can be served as a nucleating agent for alumina fiber.
Figure 6.
XRD patterns of the iron sol calcined at different temperatures for 1 h.
3.3. The Effect of Iron Sol on the Microstructure of Calcined Alumina Fibers
In this study, the iron sols prepared with the NH4HCO3/Fe(NO3)3·9H2O ratio of 1.5, 2.0 and 2.5 at 50 °C and the sols obtained with the NH4HCO3/Fe(NO3)3·9H2O ratio of 2.5 at the temperature of 40, 50, 60, 70 and 80 °C were chosen as nucleating agents to be added in alumina fibers. For simplicity, the iron sol was labeled as T-x and K-y, where T represents the one being prepared at different temperatures with the NH4HCO3/Fe(NO3)3·9H2O ratio of 2.5, K corresponds to the sol obtained with different material ratio at 50 °C and x and y are the holding temperature and the NH4HCO3/Fe(NO3)3·9H2O ratio, respectively. The Al2O3 fibers prepared in this study are listed in Table 1.
Table 1.
Samples prepared in this study.
The Fe content in the calcined Al2O3 fibers was measured by inductively coupled plasma optical emission spectrometer (ICP-OES). The calculated Fe2O3 content based on the Fe content varied from 0.63% to 0.66%, which is in agreement with the setting value. The sample A4 was taken as an example to study the phase transformation of alumina fiber. Figure 7 shows the XRD patterns of this fiber. It can be seen that the amorphous phase exists only in the fiber preheated at 500 °C. When the fiber was calcined at 1400 °C for 1 min, the amorphous Al2O3 partially crystallized to γ-Al2O3. With the holding time prolonged, α-Al2O3 became the main phase. The fiber completely transformed into α-Al2O3 phase, when it was calcined for 5 min. Thus, all the alumina fibers were calcined at 1400 °C for 5 min.
Figure 7.
XRD patterns of Al2O3 fibers calcined at 1400 °C.
The morphology and cross-section microstructure of calcined Al2O3 fibers are shown in Figure 8. It can be seen that all the fibers are continuous with a diameter ranging from 15 to 18 µm. The fiber surface is smooth without obvious cracks, pores and other defects. The cross-section microstructure of alumina fiber is uniform and consists of nano-scale equiaxed grains. For different fibers, these microsturctures are similar except for their grain size. Among all fibers, the sample A1, B1 and B2 have a significantly smaller grain size. From sample A1 to A5, the α-Al2O3 grain size increases gradually.


Figure 8.
The morphology and cross-section microstructure of calcined Al2O3 fibers: (a,b) Sample-A1; (c,d) Sample-A2; (e,f) Sample-A3; (g,h) Sample-A4; (i,j) Sample-A5; (k,l) Sample-B1; (m,n) Sample-B2.
The distribution of fiber grain size is shown in Figure 9. It can be seen that the grain size of each kind of fiber follows the normal distribution. From sample A1 to A5, the peak value increases from 37.5 to 54.0 nm. The sample B1 and B2 exhibit finer grains, which distribute in the range of 14–35 nm and 12–42 nm, respectively. The relationship between the fiber grain size and the iron colloidal particle size is shown in Figure 9h. It was revealed that the maximum mean grain size of fiber (sample A5) was only 54.3 nm. When the mean colloidal particle size decreased from 10.16 to 5.65 nm, the mean grain size also gradually declined from 54.3 to 46.5 nm. With the further decrease of mean colloidal particle size from 5.65 to 3.61 nm, the mean grain size quickly decreased to 22.5 nm. Generally, the grain size of alumina fiber is equal or larger than 100 nm. In this study, the addition of iron sol with small colloidal particle size contributed to forming alumina fiber with nano grains.

Figure 9.
The grain size distribution of alumina fiber: (a) Sample A1, (b) Sample A2, (c) Sample A3, (d) Sample A4, (e) Sample A5, (f) Sample B1 and (g) Sample B2. (h) The relationship between mean grain size and mean colloidal particle size.
Figure 10 shows the tensile strength of alumina fibers. The sample B1 exhibits the highest tensile strength, up to ~1400 MPa, which is related to the smallest grain size. From sample A1 to A5, the tensile grain size decreases, corresponding to the increase of the grain size. Thus, decreasing fiber grain size contributes to higher tensile strength being acquired.
Figure 10.
Tensile strength of alumina fibers.
The formation of α-Al2O3 includes the nucleation and grain growth processes. Based on the above results, all the iron sols can be employed as nucleating agents to promote the formation of α-Al2O3. In the nucleation process, the nucleation density of α-Al2O3 is proportional to the number of iron colloidal particles added in unit volume. When the additional amount is consistent, the reduction of colloidal particle size is effective to increase the colloidal particle number and the nucleation density. Thus, decreasing the colloidal particle size contributes to forming more α-Al2O3 grains in smaller size. In theory, the initial grain size of α-Al2O3 increases linearly with the colloidal particle size. However, the α-Al2O3 grain size rises slightly when the colloidal particle size is larger than 5.65 nm. This probably results from the grain growth of α-Al2O3. As shown in Figure 7, most of α-Al2O3 can be formed before 3 min, while the phase transformation completes at 5 min. During this process, the initial α-Al2O3 grains will grow up and merge into lager grains. Since the growth rate decreases with the increase of Al2O3 grain size, as a result, the grain size of the samples added with large iron colloidal particles tends to be constant.
4. Conclusions
In this study, stable iron sols were prepared with NH4HCO3 and Fe(NO3)3·9H2O. The mean colloidal particle size ranges from 3.61 to 10.16 nm, which increases with the holding temperature and the NH4HCO3/Fe(NO3)3·9H2O molar ratio. Sintered at 300 °C for 1 h, the iron sol completely transformed into α-Fe2O3. Adding iron sol to alumina fiber contributes to forming alumina fiber with uniform nano-scale grains. The minimum mean grain size of fiber is only 22.5 nm, when the iron sol with the mean colloidal particle size of 3.61 nm was used as a nucleating agent. With the increase of colloidal particle size, the grain size tends to rise from 22.5 to 54.3 nm. The fiber with the smallest grain size exhibits the highest tensile strength, up to ~1400 MPa.
Author Contributions
L.L., J.W., W.L., Y.M. and S.Y. contributed to the investigation of the study. L.L., J.W. and S.Y. prepared and analyzed the sol and fibers. S.Y. and L.L. wrote the manuscript. J.W., W.L. and Y.M. reviewed the manuscript and gave comments. All authors have read and agreed to the published version of the manuscript.
Funding
This research was funded by National Nature Science Foundation of China, grant number 52001333.
Conflicts of Interest
The authors declare no conflict of interest.
References
- Schmucker, M.; Mechnich, P. Microstructural Coarsening of NextelTM 610 Fibers Embedded in Alumina-Based Matrices. J. Am. Ceram. Soc. 2008, 91, 1306–1308. [Google Scholar] [CrossRef]
- Cantonwine, P.E. Strength of thermally exposed alumina fibers Part I Single filament behavior. J. Mater. Sci. 2003, 38, 461–470. [Google Scholar] [CrossRef]
- Wilson, D.M. Statistical tensile strength of NextelTM 610 and NextelTM 720 fibres. J. Mater. Sci. 1997, 32, 2535–2542. [Google Scholar] [CrossRef]
- Johnson, D.W.; Evans, A.G.; Goettler, R.W. Ceramic Fibers and Coatings: Advanced Materials for the Twenty-First Century; National Academy Press: Washington, DC, USA, 1998. [Google Scholar]
- Dhingra, A.K. Alumina Fibre FP. R. Soc. Lond. Philos. Trans. 1980, 294, 411–416. [Google Scholar]
- Hay, R.S.; Fair, G.E.; Tidball, T. Fiber Strength After Grain Growth in Nextel™ 610 Alumina Fiber. J. Am. Ceram. Soc. 2015, 98, 1907–1914. [Google Scholar] [CrossRef]
- Chen, Z.; Zhang, Z.; Tsai, C.C.; Kornev, K.; Luzinov, I.; Fang, M.; Peng, F. Electrospun mullite fibers from the sol-gel precursor. J. Sol-Gel Sci. Technol. 2015, 74, 208–219. [Google Scholar] [CrossRef]
- Roque-Ruiz, J.H.; Medellín-Castillo, N.A.; Reyes-López, S.Y. Fabrication of α-alumina fibers by sol-gel and electrospinning of aluminum nitrate precursor solutions. Results Phys. 2019, 12, 193–204. [Google Scholar] [CrossRef]
- Song, X.; Ma, Y.; Wang, J.; Liu, B.; Yao, S.; Cai, Q.; Liu, W. Homogeneous and flexible mullite nanofibers fabricated by electrospinning through diphasic mullite sol–gel route. J. Mater. Sci. 2018, 53, 14871–14883. [Google Scholar] [CrossRef]
- Li, X.; Su, X.; Xiao, H.; Chen, L.; Li, S.; Tang, M. Continuous alpha-Al2O3 fibers grown by seeding with in-situ suspension. Ceram. Int. 2020, 46, 15638–15645. [Google Scholar] [CrossRef]
- Sakka, S. Current and Future Possibilities of Sol-Gel Process. Trans. Indian Ceram. Soc. 2005, 64, 13–19. [Google Scholar] [CrossRef]
- Tan, H.B.; Guo, C.S. Preparation of long alumina fibers by sol-gel method using malic acid. Int. J. Miner. Metall. Mater. 2011, 21, 1563–1567. [Google Scholar] [CrossRef]
- Xie, Z.P.; Lu, J.W.; Huang, Y.; Cheng, Y.B. Influence of α-alumina seed on the morphology of grain growth in alumina ceramics from Bayer aluminum hydroxide. Mater. Lett. 2003, 57, 2501–2508. [Google Scholar] [CrossRef]
- Yamamura, K.; Kobayashi, Y.; Yasuda, Y.; Morita, T. Fabrication of α-alumina by a combination of a hydrothermal process and a seeding technique. Funct. Mater. Lett. 2018, 11, 1850042.1–1850042.4. [Google Scholar] [CrossRef]
- Levin, I.; Brandon, D. Metastable Alumina Polymorphs: Crystal Structures and Transition Sequences. J. Am. Ceram. Soc. 1998, 81, 1995–2012. [Google Scholar] [CrossRef]
- Chang, P.L.; Yen, F.S.; Cheng, K.C.; Wen, H.L. Examinations on the Critical and Primary Crystallite Sizes during θ- to α-Phase Transformation of Ultrafine Alumina Powders. Nano Lett. 2001, 1, 253–261. [Google Scholar] [CrossRef]
- Bell, N.S.; Cho, S.B.; Adair, J.H. Size Control of α-Alumina Particles Synthesized in 1,4-Butanediol Solution by α-Alumina and α-Hematite Seeding. J. Am. Ceram. Soc. 2005, 81, 1411–1420. [Google Scholar] [CrossRef]
- Nordahl, C.S.; Messing, G.L. Thermal analysis of phase transformation kinetics in α-Al2O3 seeded boehmite and γ-Al2O3. Thermochim. Acta 1998, 318, 187–199. [Google Scholar] [CrossRef]
- Li, X.; Xu, H.; Wang, Q.; Li, S.; Xiao, H.; Zhang, L.; Tang, M.; Chen, L. Control of continuous α-Al2O3 fibers by self-seeding and SiO2-Sol doping. Ceram. Int. 2019, 45, 12053–12059. [Google Scholar] [CrossRef]
- Kumagai, M.; Messing, G.L. Controlled, Transformation and Sintering of a Boehmite Sol-Gel by α-Alumina Seeding. J. Am. Ceram. Soc. 1985, 68, 500–505. [Google Scholar] [CrossRef]
- Xie, Z.; Lu, J.; Gao, L.; Li, W.; Xu, L.; Wang, X. Influence of different seeds on transformation of aluminum hydroxides and morphology of alumina grains by hot-pressing. Mater. Des. 2003, 24, 209–214. [Google Scholar] [CrossRef]
- Wilson, D.M.; Wood, T.E. Microcrystalline Alumina-Based Ceramic Articles. U.S. Patent 4,954,462, 4 September 1990. [Google Scholar]
- Liang, C.; Liu, W.; Liu, Q.; Gao, Y.; Liu, J.; Wang, J.; Yao, S.; Ma, Y. The formation of core-sheath structure and its effects on thermal decomposition and crystallization of alumina fibers. Ceramic Int. 2020, in press. [Google Scholar] [CrossRef]
- Liu, J.; Ma, Y.; Liu, W.; Song, X.; Yao, S.; Wang, J.; Cheng, M.; Li, C. Preparation of alumina precursor sols with a high solid content for alumina fibers. Mater. Res. Express 2019, 6, 045207. [Google Scholar] [CrossRef]
- Wood, T.E.; Wilson, D.M.; Sowman, H.G. Microcrystalline Alumina-Based Ceramic Articles. U.S. Patent 5,185,299, 9 February 1993. [Google Scholar]
- Li, C.; Liu, W.; Ma, Y. Influence of H3O+ on the structure formation of oligomers in aluminium sols prepared from basic aluminium acetate: Experiments and computations. J. Mol. Liq. 2019, 289, 111052. [Google Scholar] [CrossRef]
Publisher’s Note: MDPI stays neutral with regard to jurisdictional claims in published maps and institutional affiliations. |
© 2020 by the authors. Licensee MDPI, Basel, Switzerland. This article is an open access article distributed under the terms and conditions of the Creative Commons Attribution (CC BY) license (http://creativecommons.org/licenses/by/4.0/).












