Next Article in Journal
Influence of Hemp Shives Size on Hygro-Thermal and Mechanical Properties of a Hemp-Lime Composite
Previous Article in Journal
A 2.9 GPa Strength Nano-Grained and Nano-Precipitated 304L-Type Austenitic Stainless Steel
 
 
Font Type:
Arial Georgia Verdana
Font Size:
Aa Aa Aa
Line Spacing:
Column Width:
Background:
Article

Synthesis of Tungsten-Doped Vanadium Dioxide Using a Modified Polyol Method Involving 1-Dodecanol

1
Department of Intelligent Energy and Industry, School of Chemical Engineering and Materials Science, Chung-Ang University, Seoul 06974, Korea
2
KNW R&D Center, Gyeonggi-do 10832, Korea
*
Author to whom correspondence should be addressed.
Materials 2020, 13(23), 5384; https://doi.org/10.3390/ma13235384
Submission received: 20 October 2020 / Revised: 13 November 2020 / Accepted: 25 November 2020 / Published: 27 November 2020
(This article belongs to the Section Materials Chemistry)

Abstract

The doping of tungsten into VO2 (M) via a polyol process that is based on oligomerization of ammonium metavanadate and ethylene glycol (EG) to synthesize a vanadyl ethylene glycolate (VEG) followed by postcalcination was carried out by simply adding 1-dodecanol and the tungsten source tungstenoxytetrachloride (WOCl4). Tungsten-doped VEGs (W-VEGs) and their calcinated compounds (WxVO2) were prepared with varying mixing ratios of EG to 1-dodecanol and WOCl4 concentrations. Characterizations of W-VEGs by powder X-ray diffraction, differential scanning calorimetry, scanning electron microscopy, and infrared and transmittance spectroscopy showed that tungsten elements were successfully doped into WxVO2, thereby decreasing the metal-insulator transition temperature from 68 down to 51 °C. Our results suggested that WOCl4 variously combined with 1-dodecanol might interrupt the linear growth of W-VEGs, but that such an interruption might be alleviated at the optimal 1:1 mixing ratio of EG to 1-dodecanol, resulting in the successful W doping. The difference in the solar modulations of a W0.0207VO2 dispersion measured at 20 and 70 °C was increased to 21.8% while that of a pure VO2 dispersion was 2.5%. It was suggested that WOCl4 coupled with both EG and 1-dodecanol at an optimal mixing ratio could improve the formation of W-VEG and WxVO2 and that the bulky dodecyl chains might act as defects to decrease crystallinity.

1. Introduction

Smart windows that use the thermochromic property of vanadium dioxide (VO2) have been highlighted as a promising energy saving technology due to their selective control over the transmission of heat rays that enhances energy saving efficiency [1]. At 68 °C or below, VO2 has a monoclinic structure (M) with a semiconducting property, and at temperatures above 68 °C, its crystal structure is transformed to a tetragonal rutile structure, accompanying a change in its electrical property from semiconducting to metallic [2]. This metal-insulator transition (MIT) enables VO2 to selectively reflect near-infrared light (NIR) due to its metallic property above its MIT temperature while transmitting visible light [3]. To practically apply the thermochromic property of VO2 to smart windows that can control sunlight transmission at room temperature, decreasing the MIT temperature of VO2 down to around room temperature is very much required. The doping of VO2 (M) with tungsten (W) atoms has been a promising route for reducing the MIT temperature of VO2 (M) [4,5,6,7]. When tungsten atoms are doped to the VO2, it is expected that the original V4+-V4+ pairs in VO2 (M) are converted to V3+-V4+ and V3+-W6+ pairs by electron donation from W to the neighboring V ions. As a result, the concentration of free electrons is increased via electron donation, and the monoclinic structure is distorted due to the insertion of larger doped W6+ ions with an ionic radius of 64 pm than V4+ ions with an ionic radius of 49.5 pm. Thus, the MIT temperature of pristine VO2 is decreased, making WxVO2 (M) an ideal candidate for thermochromic window materials as it can reflect NIR at room temperature while transmitting visible light [8,9].
A variety of methods, including hydrothermal synthesis with an autoclave at a high pressure [10], chemical vapor deposition (CVD) [11], sputtering [12,13], and ion implantation [14], have been utilized to synthesize WxVO2 (M). However, these methods require complicated experimental parameter controls or special devices, thereby restricting the extension of these methods to large-scale production at a low cost. Thus, it is highly necessary to develop a convenient process that utilizes atmospheric pressure in air at a low processing temperature. A candidate method for resolving these issues is the thermolysis of vanadyl glycolate to synthesize VO2 (M) [15,16]. In this method, an alcohol with two or more hydroxyl groups and high boiling points, such as ethylene glycol (EG) with a boiling point of 197 °C, is mixed with a cheap vanadium precursor, such as ammonium metavanadate (NH4VO3), and the resulting solution mixture is heated over 160 °C in atmospheric air followed by thermolysis of precipitates at a low pyrolytic temperature of 200 °C to produce VO2 (M) (Scheme 1). In this polyol method, EG works as a stabilizer that limits particle growth and prevents aggregation [17], as a coupling agent that can further lead vanadyl ethyleneglycol glycolate (VEG) to oligomer with a repeat unit of VO(OCH2CH2O) [18], and as a reducing agent when the VEG is calcinated [19]. The crystal structure of VEG can also be depicted by the one-dimensional chain of the VO5 square pyramids in the VO(OCH2CH2O) structure by edge sharing (Scheme 1) [19]. When using this method to make VEG, special devices are not required, and subsequent calcination can be carried out via a conventional sintering process, thereby suggesting its possibility for mass production at a low cost. Although the polyol method shows great potential for the facile synthesis of WxVO2, it is difficult to find reports about the polyol method being applied to synthesize WxVO2 nanoparticles. This lack of research seems to be because a special synthesis for tungsten precursors that can be coupled within VEG is necessary or because the insertion of the large W6+ ions into the monoclinic VO2 (M) at an atmospheric pressure is difficult. Thus, the synthesis of WxVO2 using the polyol method via thermolysis in atmospheric air remains challenging.
In this study, we present a modified polyol method using 1-dodecanol as an additive to synthesize WxVO2 (M). 1-Dodecanol has a boiling point of 259 °C, which is high enough for the polyol method, and can act as both the solvent and capping agent, as shown in inorganic nanoparticle synthesis [20]. Unlike the original polyol method, we found that tungsten could be doped into VO2 (M) with the addition of 1-dodecanol, thereby reducing the MIT temperature of the resulting WxVO2 (M). We investigated the influence of the mixing ratios of EG and 1-dodecanol and the amounts of tungsten precursor on the synthesis of WxVO2. Our results suggest a procedure to dope tungsten into VO2 (M) via the polyol method.

2. Materials and Methods

2.1. Materials

NH4VO3 and tungsten(VI) oxytetrachloride (WOCl4) were purchased from Sigma-Aldrich Co. (St. Louis, MO, USA). EG and 1-dodecanol were purchased from Alfa Aesar (Lancashire, United Kingdom). Ethanol was obtained from SamChun Pure Chemicals Co. (Seoul, South Korea). All the reagents used in this study were used as received.

2.2. Synthesis

To first synthesize tungsten-doped VEG (W-VEG), NH4VO3 (1.17 g, 10 mmol), 1-dodecanol (33.17 g, 17.8 mmol), and EG (11.05 g, 17.8 mmol) were added to a three-necked round-bottom flask and mixed with stirring. To this mixture solution, a pre-determined amount of WOCl4 (0.094 g [0.277 mmol, 2.77 mol% to NH4VO3], 0.188 g [0.553 mmol, 5.53 mol%), and 0.377 g [1.109 mmol, 11.08 mol%]) was added, and the resulting reaction mixture was heated to 160 °C at a ramping rate of 5 °C/min and stirred for 2 h. Then, the mixture with a purple color was naturally cooled down to room temperature. The precipitate was collected by centrifuging the solution at 8000 rpm for 15 min to remove the excess 1-dodecanol and EG. The collected purple powder was washed with ethanol, filtered to obtain W-VEG powder, and dried in a vacuum for 24 h at room temperature.
The W-VEG powder was calcinated at 200 °C for 1 h in a box furnace in atmospheric air to become WxVOy (M). After cooling to room temperature, WxVOy (M) was calcinated again at 700 °C (10 °C/min) for 1 h in a tube furnace in a vacuum to obtain WxVOy (M).

2.3. Characterization

The crystal structures of the WxVOy (M) were verified by an X-ray diffractometer (XRD, Bruker-AXS NEW D8 Advance, Billerica, MA, USA). The MIT behaviors of the WxVOy (M) were investigated using a differential scanning calorimeter (DSC Q-600; TA Instruments, New Castle, DE, USA) for analysis in the range −20–130 °C at a heating rate of 10 °C/min. Morphological observations of the nanostructures were conducted on a field-emission scanning electron microscope (FE-SEM; SIGMA, Carl Zeiss, Germany). The thermochromic properties of WxVOy (M) were measured using UV-Vis-NIR spectroscopy (V-770, JASCO, Tokyo, Japan) in the range of 300–2500 nm. Before measuring the UV-Vis-NIR spectra, the WxVOy (M) powder (0.02 g) was added in 5 mL of ethanol, and the solution was dispersed for 1 h under ultrasonication to make the suspension and placed in a quartz cell with 1 mm light path. The FT-IR spectra were recorded using a high-vacuum FT-IR spectrometer system in a spectral range of 4000 to 400 cm−1 (Vertex 80V, operated by the Korea Basic Science Institute at Busan, Bruker Co., Billerica, MA, USA). KBr pellets that were prepared with 1 mg of samples and 15 mg of KBr were used for measurements in a vacuum. The compositions of WxVOy were determined by using an Inductively Coupled Plasma Atomic Emission Spectrometer (ICP-AES; Jobin Yvon Ultima2, operated by the Korea Basic Science Institute at Seoul; HORIBA, Edison, NJ, USA).

3. Results and Discussion

We used WOCl4 as a tungsten precursor to synthesize WxVO2 (M) via the polyol method based on ammonium metavanadate and EG because WOCl4 could be readily combined with EG via an exothermic reaction between WOCl4 and hydroxyl groups that make byproducts of HCl. Thus, one might expect that WOCl4 combined with EG participates in the formation of VEG, thereby resulting in the insertion of tungsten atoms into VO2 (M) during calcination. However, when 2.77 mol% of WOCl4 to NH4VO3 was added into the reaction mixture of ammonium metavanadate and EG at the 1:0 mixing ratio of EG to 1-dodecanol, the final product gained after calcination did not show a highly crystalline structure in its XRD pattern, as shown in Figure 1a. Additionally, the XRD pattern was not matched with that of VO2 (M). This result can be ascribed to the incomplete synthesis of linear VEG via a condensation reaction between NH4VO3 and EG because WOCl4 with four reactive W-Cl functionalities to EGs can interrupt the formation of the linear VEG.
We presumed that the simple addition of 1-dodecanol as a co-solvent could resolve this issue because 1-dodecanol might act as a partial capping agent for the highly reactive W-Cl functionality in WOCl4. To investigate the capping effect of 1-dodecanol on WOCl4, we carried out the synthesis of WxVO2 by varying the molar mixing ratio of EG to 1-dodecanol at 1:0.5, 1:1, and 1:2 at fixed amounts of NH4VO3 to WOCl4 at 10 and 0.277 mmol, respectively. Figure 1a shows the XRD patterns of the tungsten-doped vanadium oxides produced by controlling the molar ratio of EG:1-dodecanol. The observed diffraction peaks at all three ratios of 1:0.5, 1:1 and 1:2 indicate the monoclinic vanadium dioxide VO2 (M) crystal structure reported in JCPDS No. 43-1051 [21]. Particularly, well-developed crystallinity was seen in the main VO2(M) peaks at 2θ angles of 26.8°, 27.8° 33.4°, 37.0°, 39.8°, 42.1°, 42.2°, 55.5°, and 57.4° for (110), (011), (−102), (−202; −211; 200), (002), (−212; 210), (−213; 220; 211), and (022) planes, respectively. However, diffraction peaks of V6O13 at 2θ = 25.3°, 30.1°, and 45.6° for (101), (400), and (005), respectively, were also clearly observed in the XRD patterns of the compounds synthesized at ratios of 1:1 and 1:2, and were in agreement with the reference data (JCPDS No. 25-1251) [22]. The appearance of the oxidized V6O13 peaks originates from the increase in oxygen contents in W-VEG as the molar ratio of 1-dodecanol increases. It appears that excess oxygen atoms incorporated into the VO2 structure chemically interact with vanadium atoms to form a new oxidation state of V6O13, as stated in literature [23].
The decrease in MIT temperatures with the addition of tungsten precursors in varying molar ratios of EG to 1-dodecanol at the fixed amount of WOCl4 to NH4VO3 was confirmed by measuring the DSC thermogram. In Figure 1b, the DSC curves show that the MIT temperatures were 63.03, 61.23, and 63.44 °C at mixing ratios of 1:0.5, 1:1, and 1:2 for EG to 1-dodecanol. These results show an obvious drop from 68 °C, the original MIT temperature of VO2 (M), and indicate successful tungsten doping via the polyol method. Furthermore, it should be noted that WxVO2 prepared from the 1:1 mixture of EG to 1-dodecanol has the lowest MIT temperature, although the fixed amount of WOCl4 was used for all calcinated samples.
To investigate the origination of these variations in the MIT temperatures, we measured SEM images of VEG synthesized without using 1-dodecanol and WOCl4 as a reference and W-VEGs prepared with varying mixing ratios of EG to 1-dodecanol at the fixed WOCl4 concentration of 2.77 mol% relative to NH4VO3 (Figure 2). The SEM images of VEG in Figure 2a looks like a mixture of square rods at the nano‒ and micrometer scales, which is similar to nanorods found in the literature [24]. This morphology reflects VEG crystals based on one dimensional chain of square pyramids sharing edges with the formula VO(OCH2CH2O) [19], as shown in Scheme 1. When 1-dodecanol was not used, the SEM image of W-VEG, as can be seen in Figure 2b, showed microcrystals with rod-like morphologies and a square cross section. The side length of the square cross section was around 1 μm. This morphology did not significantly deviate from that of VEG without using the tungsten precursor, as can be seen in Figure 2a. With the addition of 1-dodecanol at 1:0.5 and 1:2, as shown in Figure 2c,e, the edges of the crystals were smeared, and the resulting morphology was a mixture of rods and smeared aggregates. The SEM image at 1:1 shown in Figure 2d shows morphologies with sharp edges, but the sizes and lengths of the microcrystals were significantly decreased in comparison to those at a 1:0 ratio of 1-dodecanol.
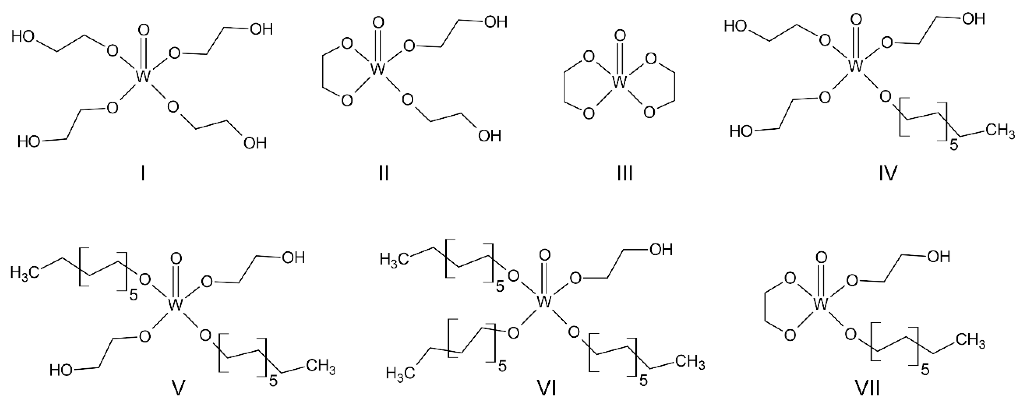
One hypothesis to explain the variation in the morphologies of W-VEG microcrystals is that WOCl4 reacted with 1-dodecanol, which significantly influenced the crystal morphologies. The reaction between NH4VO3 and EG is like the oligomerization of two monomers, resulting in VEG with a one-dimensional chain of VO5 square pyramids, as shown in Scheme 1 and the literature [18]. Our results suggest that the WOCl4 combined with 1-dodecanol might interrupt the growth of VEG in one dimension, resulting in the decrease in tungsten doping after calcination of the W-VEG, and when at the 1:1 molar mixing ratio, such an interruption might be alleviated. In the mixture of EG and 1-dodecanol, WOCl4 can form many different chemical structures shown in Scheme 2. Without using 1-dodecanol, species I, II, and III are primarily formed, and species I might hinder the formation of the one-dimensional chain of the VO5 square pyramids due to its multiple functionalities. Species IV, V, VI, and VII, which can be produced by the reaction of WOCl4 with both of EG and 1-dodecanol, should also significantly influence the final morphologies of W-VEGs. In particular, species V might be the main product of the reaction between WOCl4 and the mixture of EG and 1-dodecanol at a 1:1 ratio due to the statistically equal opportunity for the reaction, which occurs only if the reactivities of WOCl4 to EG and 1-dodecanol are identical; this in turn can be responsible for the improved tungsten doping.
To further investigate the credibility of our hypothesis and speculations and the effects of the addition of 1-dodecanol, we examined the FT-IR spectra of W-VEGs prepared at different mixing ratios of EG to 1-dodecanol. The FT-IR spectra of W-VEGs shown in Figure 3a in a range of 4000 to 400 cm−1 clearly present IR bands of O-H stretching (~ 3450 cm−1), C-H stretching (3000 to 2800 cm−1), O-H/C-H bending (1800 to 1500 cm−1), C-O stretching (1239.2 cm−1), V = O/W = O stretching (1100 to 950 cm−1), and V-O/W-O stretching (700 to 400 cm−1). We found that the FT-IR spectrum of W-VEG prepared at the 1:1 mixing ratio of EG to 1-dodecanol was distinctly different from those of other W-VEGs. When we observed the C-H stretching bands in the range of 3000 to 2800 cm−1, the peak positions of W-VEGs prepared at 1:1 were around 2958.6, 2925.8, and 2853.5 cm−1 while those at 1:0, 1:0.5, and 1:2 appeared at around 2958.6, 2940.3, and 2879.5 cm−1, as shown in Figure 3b. The IR bands that appeared in the range of 1800 to 1500 cm−1 are ascribed to the overlapping spectra of O-H bending (~1670–1620 cm−1) and C-H bending in the EG units (~ 1598 cm−1) [25,26,27]. In Figure 3c, a shoulder peak in the range of 1790 to 1700 cm−1 appeared for W-VEG at the 1:1 mixing ratio, while only a strong band centered at around 1638 cm−1 was shown for all the other W-VEGs at the 1:0, 1:0.5, and 1:2 ratios. In addition, a strong IR band characteristic for C-O stretching appeared at 1239.2 cm−1 and a shoulder appeared at around 1286 cm−1 in the FT-IR spectrum of W-VEG at the 1:1 ratio. In contrast, two independent peaks at 1253.6 and 1231.5 cm−1 appeared in the FT-IR spectra of W-VEGs at the 1:0, 1:0.5, and 1:2 ratios. All these variations in the FT-IR spectrum of W-VEG at the 1:1 ratio strongly suggest that the dodecyloxy moiety combined with WOCl4 was incorporated into the W-VEG structure, thereby distinctly changing the peak positions of C-H stretching, O-H/C-H bending, and C-O stretching. One of the most plausible mechanisms to explain these results can be the reaction of NH4VO3 and EG with WOCl4 combined with both EG and 1-dodecanol to form W-VEG.
Then, we investigated the effects of the amount of tungsten precursor on the changes in the MIT temperature of WxVO2. We fixed the molar mixing ratio of EG to 1-dodecanol at 1:1 for further investigation. At the fixed conditions of NH4VO3, EG, and 1-dodecanol, the increasing concentrations of WOCl4 were used for the synthesis of WxVO2. All XRD patterns of WxVO2 synthesized at 0, 2.77, 5.53, and 11.08 mol% of WOCl4 to NH4VO3 in Figure 4a show that the VO2 (M) phase (JCPDS No. 43-1051) was successfully synthesized, although there exists a portion of the V6O13 phase with the addition of WOCl4. With the further addition of WOCl4 beyond 11.08 mol%, only V6O13 was synthesized (data not shown), indicating the oxidation of VO2 (M) due to the excessive addition of WOCl4. The MIT temperatures decreased from 68.07, 61.23, and 56.95 down to 51.12 °C at WOCl4 concentrations of 0, 2.77, 5.53, and 11.08 mol%, respectively, clearly showing the effects of tungsten doping (Figure 4b). This decrease in the MIT temperature is ascribed to the formation of the rutile phase VO2 (R) with the W doping, as indicated in literature [28]. The enhancement of (110) peak at 2θ = 26.8° is characteristic for the VO2 (R) phase [28], and clearly shown in the XRD patterns of WxVO2, supporting this mechanism. It should also be noted that the full width at half maximum (FWHM) of the melting transitions in the DSC thermograms (Figure 4b) drastically increased with the addition of WOCl4 from 3.9, 4.4, 6.2, to 11.4 °C. These results show that the crystallinity of WxVO2 was significantly decreased with increasing concentrations of WOCl4. Furthermore, the intensity of the melting peak drastically decreased with the increasing W doping, indicating that the activation energy for the MIT was reduced. In the monoclinic VO2 structure, V-V intervals are alternative (2.65 and 3.12 Å) while those in the rutile VO2 above the MIT are symmetric (2.87 Å). When V atoms are partially substituted with W atoms, the V-V intervals are shrunk, decreasing the structural differences between the monoclinic and rutile structure, and thereby reducing the activation energy [29]. The amounts of tungsten doped to vanadium in WxVO2 (M) were 0.33, 0.97, and 2.07 mol%, as determined by ICP-AES measurements (Table 1). These figures represent significantly decreased amounts in comparison to the tungsten precursor WOCl4. Hereafter, the calcinated WxVO2 from W-VEGs prepared at WOCl4 concentrations of 0, 2.77, 5.53, and 11.08 mol% are denoted by W0.0033VO2, W0.0097VO2, and W0.0207VO2, respectively. Our results showed that only 10~20% of tungsten added into the reaction mixtures was incorporated into the final WxVO2 compounds and indicate that a significant portion of WOCl4 that reacted with EG and 1-dodecanol did not participate in the formation of W-VEGs. We presumed that many of the species shown in Scheme 2 might not be appropriate for the formation of W-VEGs.
To examine the origination of these broadening melting peaks resulting from an increase in the WOCl4, we analyzed W-VEGs by measuring SEM images. Figure 5a shows that the VEG synthesized at the 1:1 mixing ratio of EG to 1-dodecanol without adding the WOCl4. The VEG has a nanowire morphology with a square or rectangular cross section. The nanowire morphology with a high aspect ratio over 10 is clearly different from that of VEG with a nanorod or microrod morphology prepared without using 1-dodecanol, which can be observed in Figure 2a. These results demonstrate that 1-dodecanol acts as a capping agent to block a specific crystal plane, thereby enhancing one-dimensional growth when VEG is synthesized. With the addition of WOCl4, the nanowire morphology disappears, presenting irregular crystal morphologies, as shown in Figure 5b–d. The crystal sizes of W-VEGs decreased from the micrometer-scale at 2.77 mol% to the nanometer-scale at 5.53 and 11.08 mol% of WOCl4, as shown in Figure 5b–d, respectively. We ascribe this disappearance of the nanowire morphology and the decrease in the crystal sizes to the increasing portion of dodecyloxy moieties in W-VEGs. When the bulky alkyl side chains are incorporated into the crystal structure of W-VEGs, they might act as defects to the formation of the one-dimensional chain-like structures shown in Scheme 1 and the crystallization of the chains.
WxVO2 compounds prepared via our modified polyol method utilizing 1-dodecanol present distinct thermochromic properties. We measured the transmittance spectra of the VO2 and W0.0207VO2 crystals dispersed in ethanol at 20 and 70 °C as two representatives. When the UV-Vis-NIR curves of 20 and 70°C were compared, there were no significant changes in the range of visible light shorter than 780 nm. However, in the NIR region, we observed that the transmittances of ethanol dispersions of VO2 and W0.0207VO2 at 70 °C were significantly decreased from those at 20 °C. The solar modulation Tsol at each temperature was calculated by Equation (1), where φ(λ) and Tr(λ) are the solar irradiation spectrum for an air mass of 1.5 (corresponding to the sun standing 37° above the horizontal) [30] and transmittance at specific wavelengths λ, respectively, and ΔTsol was estimated by Equation (2) [9]. The luminous transmittance was also calculated by Equation (3) where φlum(λ) is the spectral sensitivity of the light-adapted eye [18]. The estimated ΔTsol of VO2 without tungsten doping was 2.5% and that of W0.0207VO2 was 21.8%. The usefulness of our modified polyol method utilizing WOCl4 and 1-dodecanol to prepare tungsten-doped VO2 is evidenced by the significantly enhanced solar modulation of the ethanol dispersion of W0.0207VO2 with the manifestation of the tungsten doping. The luminous transmittance of W0.0207VO2 at 20 °C estimated by Equation (3) was 66.8% while that of VO2 was 78.2%. This decrease in the luminous transmittance with the tungsten doping can be ascribed to serious light scattering of W0.0207VO2 in comparison to VO2. Sizes of VO2 and W0.0207VO2 nanoparticles estimated by analyzing their SEM images shown in Figure 6c,d are 156 ± 81 and 287 ± 84 nm, respectively. These results indicate that the W0.0207VO2 nanoparticles with bigger sizes than the VO2 nanoparticles significantly scatter light, resulting in the decrease in transmittance. It should be noted that the average crystallite sizes of VO2 and V6O13 estimated by using XRD patterns in Figure 4a and the Scherrer equation [31] are 63.8 and 36.2 nm, respectively. The bigger size of the W0.0207VO2 nanoparticles than their crystallite sizes indicate that the nanoparticles have polycrystalline textures. On the other hand, the thermochromic properties gained in our study are compared with those of WxVO2 with the MIT temperature (Tc) in a range of 40–45 °C in Table 2. The Tlum at 20 °C and ΔTsol of W0.0207VO2 in this study are higher than those of reported materials except the Tlum at 20 °C of the W-doped VO2/polyvinylpyrrolidone coating as presented in the Table 2 [32,33,34,35]. This comparison suggests that WxVO2 materials in our study have a great potential for thermochromic applications.
T s o l   =   φ ( λ ) · T r ( λ ) · d λ φ ( λ ) · d λ
Δ T s o l   =   T s o l ( 20   ° C ) T s o l ( 70   ° C )
T l u m   =   φ l u m ( λ ) · T r ( λ ) · d λ φ l u m ( λ ) · d λ

4. Conclusions

In this study, we carried out the synthesis of tungsten-doped VO2 via a polyol method based on ammonium metavanadate and EG by utilizing WOCl4 and 1-dodecanol as the tungsten source and capping agent, respectively. By conducting extensive characterizations using XRD, DSC, SEM, FT-IR, UV-Vis-NIR spectroscopy, and ICP-AES analysis, it was suggested that WOCl4 coupled with both EG and 1-dodecanol at an optimal ratio was responsible for the successful incorporation of tungsten into W-VEG in the creation of the calcinated compound, WxVO2. Other popular tungsten sources such as WCl6 and Na2WO4 were not effective for the tungsten doping in the polyol process, which indicates the usefulness of our modified polyol method that utilizes 1-dodecanol and WOCl4. However, it should be noted that the incorporation of bulky dodecyl chains into W-VEG seems to result in an increased FWHM value for the melting transition and that the current MIT temperature of WxVO2 at around 51 °C should be further decreased to near room temperature for practical thermochromic applications. In addition, the decrease in the luminous transmittance with the tungsten doping should be improved. These issues suggest that further investigations should be undertaken to find alcohol capping agents less bulky than 1-dodecanol and processes to avoid aggregations.

Author Contributions

Conceptualization, Y.L. and J.P.; Y.L.; investigation, Y.L., S.W.J. and S.H.P.; writing—original draft preparation, Y.L.; writing—review and editing, J.W.Y. and J.P.; visualization, S.W.J.; supervision, J.P.; project administration, Y.L. and S.H.P.; funding acquisition, J.W.Y. and J.P. All authors have read and agreed to the published version of the manuscript.

Funding

This research was supported by the Chung-Ang University Graduate Research Scholarship in 2018 and the Korea Institute of Energy Technology Evaluation and Planning, funded by the Ministry of Trade, Industry and Energy (Grant No. 20182020109500), Korea.

Acknowledgments

The authors thank the Korea Basic Science Institute (KBSI) for the FT-IR and ICP-AES measurements.

Conflicts of Interest

The authors declare no conflict of interest.

References

  1. Gao, Y.; Luo, H.; Zhang, Z.; Kang, L.; Chen, Z.; Du, J.; Kanehira, M.; Cao, C. Nanoceramic VO2 thermochromic smart glass: A review on progress in solution processing. Nano Energy 2012, 1, 221–246. [Google Scholar] [CrossRef]
  2. Qazilbash, M.M.; Brehm, M.; Chae, B.G.; Ho, P.C.; Andreev, G.O.; Kim, B.J.; Yun, S.J.; Balatsky, A.V.; Maple, M.B.; Keilmann, F.; et al. Mott transition in VO2 revealed by infrared spectroscopy and nano-Imaging. Science 2007, 318, 1750–1753. [Google Scholar] [CrossRef]
  3. Morin, F.J. Oxides which show a metal-to-insulator transition at the Neel temperature. Phys. Rev. Lett. 1959, 3, 34. [Google Scholar] [CrossRef]
  4. Vostakola, M.F.; Yekta, B.E.; Mirkazemi, S.M. The Effects of vanadium pentoxide to oxalic acid ratio and different atmospheres on the formation of VO2 aanopowders synthesized via sol–gel method. J. Electron. Mater. 2017, 46, 6689–6697. [Google Scholar] [CrossRef]
  5. Ji, C.; Wu, Z.; Wu, X.; Feng, H.; Wang, J.; Huang, Z.; Zhou, H.; Yao, W.; Gou, J.; Jiang, Y. Optimization of metal-to-insulator phase transition properties in polycrystalline VO2 films for terahertz modulation applications by doping. J. Mater. Chem. C 2018, 6, 1722–1730. [Google Scholar] [CrossRef]
  6. Li, M.; Magdassi, S.; Gao, Y.; Long, Y. Hydrothermal synthesis of VO2 polymorphs: Advantages, challenges and prospects for the application of energy efficient smart windows. Small 2017, 13, 1701147. [Google Scholar] [CrossRef]
  7. Peng, Z.; Jiang, W.; Liu, H. Synthesis and electrical properties of tungsten-doped vanadium dioxide nanopowders by thermolysis. J. Phys. Chem. C. 2007, 111, 1119–1122. [Google Scholar] [CrossRef]
  8. Chang, T.-C.; Cao, X.; Bao, S.-H.; Ji, S.-D.; Luo, H.-J.; Jin, P. Review on thermochromic vanadium dioxide based smart coatings: From lab to commercial application. Adv. Manuf. 2018, 6, 1–19. [Google Scholar] [CrossRef]
  9. Choi, Y.; Sim, D.M.; Hur, Y.H.; Han, H.J.; Jung, Y.S. Synthesis of colloidal VO2 nanoparticles for thermochromic applications. Sol. Energ. Mater. Sol. C 2018, 176, 266–272. [Google Scholar] [CrossRef]
  10. Li, G.; Chao, K.; Peng, H.; Chen, K.; Zhang, Z. Low-valent vanadium oxide nanostructures with controlled crystal structures and morphologies. Inorg. Chem. 2007, 46, 5787–5790. [Google Scholar] [CrossRef]
  11. Binions, R.; Hyett, G.; Piccirillo, C.; Parkin, I.P. Doped and un-doped vanadium dioxide thin films prepared by atmospheric pressure chemical vapour deposition from vanadyl acetylacetonate and tungsten hexachloride: The effects of thickness and crystallographic orientation on thermochromic properties. J. Mater. Chem. 2007, 17, 4652–4660. [Google Scholar] [CrossRef]
  12. Batista, C.; Ribeiro, R.; Carneiro, J.; Teixeira, V. DC sputtered W-doped VO2 thermochromic thin films for smart windows with active solar control. J. Nanosci. Nanotechnol. 2009, 9, 4220–4226. [Google Scholar] [CrossRef]
  13. Jin, P.; Tazawa, M.; Ikeyama, M.; Tanemura, S.; Macak, K.; Wang, X.; Olafsson, S.; Helmersson, U. Growth and characterization of epitaxial films of tungsten-doped vanadium oxides on sapphire (110) by reactive magnetron sputtering. J. Vac. Sci. Technol. 1999, 17, 1817–1821. [Google Scholar] [CrossRef]
  14. Mabakachaba, B.; Madiba, I.; Kennedy, J.; Kaviyarasu, K.; Ngoupe, P.; Khanyile, B.; Van Rensburg, J.; Ezema, F.; Arendse, C.; Maaza, M. Structural and electrical properties of Mg-doped vanadium dioxide thin films via room-temperature ion implantation. Surf. Interfaces 2020, 20, 100590. [Google Scholar] [CrossRef]
  15. Zou, J.; Peng, Y.; Lin, H. A low-temperature synthesis of monoclinic VO2 in an atmosphere of air. J. Mater. Chem. A 2013, 1, 4250–4254. [Google Scholar] [CrossRef]
  16. Kim, H.J.; Roh, D.K.; Jung, H.S.; Kim, D.-S. Size and shape control of monoclinic vanadium dioxide thermochromic particles for smart window applications. Ceram. Int. 2019, 45, 4123–4127. [Google Scholar] [CrossRef]
  17. Feldmann, C. Polyol-mediated synthesis of nanoscale functional materials. Adv. Funct. Mater 2003, 13, 101–107. [Google Scholar] [CrossRef]
  18. Zhang, H.; Xiao, X.; Lu, X.; Chai, G.; Sun, Y.; Zhan, Y.; Xu, G. A cost-effective method to fabricate VO2 (M) nanoparticles and films with excellent thermochromic properties. J. Alloys Compd. 2015, 636, 106–112. [Google Scholar] [CrossRef]
  19. Weeks, C.; Song, Y.; Suzuki, M.; Chernova, N.A.; Zavalij, P.Y.; Whittingham, M.S. The one dimensional chain structures of vanadyl glycolate and vanadyl acetate. J. Mater. Chem. 2003, 13, 1420–1423. [Google Scholar] [CrossRef]
  20. Yao, M.-M.; Jiang, C.-H.; Yao, J.-S.; Wang, K.-H.; Chen, C.; Yin, Y.-C.; Zhu, B.-S.; Chen, T.; Yao, H.-B. General Synthesis of Lead-Free Metal Halide Perovskite Colloidal Nanocrystals in 1-Dodecanol. Inorg. Chem. 2019, 58, 11807–11818. [Google Scholar] [CrossRef]
  21. Jo, C.W.; Kim, H.J.; Yoo, J.W. Thermochromic Properties of W-Mo Co-Doped VO2 (M) Nanoparticles According to Reaction Parameters. J. Nanosci. Nanotechnol. 2017, 17, 2923–2928. [Google Scholar] [CrossRef]
  22. Zhang, Y.; Huang, C.; Meng, C. Controlled synthesis of V6O13 nanobelts by a facile one-pot hydrothermal process and their effect on thermal decomposition of ammonium perchlorate. Mater. Express 2015, 5, 105–112. [Google Scholar] [CrossRef]
  23. Guan, S.; Rougier, A.; Viraphong, O.; Denux, D.; Penin, N.; Gaudon, M. Two-step synthesis of VO2 (M) with tuned crystallinity. Inorg. Chem. 2018, 57, 8857–8865. [Google Scholar] [CrossRef]
  24. Li, Q.; Zhu, Y.; Yu, Y.; Qian, Y. Synthesis and Transformation of Vanadyl Ethylene Glycolate, and Their Applications in a Lithium-Ion Battery. Int. J. Electrochem. Sci. 2012, 7, 5557–5564. [Google Scholar]
  25. Ai, L.; Wang, Z.; He, F.; Wu, Q. Synthesis and conductive performance of polyoxometalate acid salt gel electrolytes. RSC Adv. 2018, 8, 34116–34120. [Google Scholar] [CrossRef]
  26. Ragupathy, P.; Shivakumara, S.; Vasan, H.; Munichandraiah, N. Preparation of nanostrip V2O5 by the polyol method and its electrochemical characterization as cathode material for rechargeable lithium batteries. J. Phys. Chem. C 2008, 112, 16700–16707. [Google Scholar] [CrossRef]
  27. Partheeban, T.; Sasidharan, M. Template-free synthesis of LiV3O8 hollow microspheres as positive electrode for Li-ion batteries. J. Mater. Sci. 2020, 55, 2155–2165. [Google Scholar] [CrossRef]
  28. Liang, S.; Shi, Q.; Zhu, H.; Peng, B.; Huang, W. One-step hydrothermal synthesis of W-doped VO2 (M) nanorods with a tunable phase-transition temperature for infrared smart windows. ACS Omega 2016, 1, 1139–1148. [Google Scholar] [CrossRef]
  29. Li, D.; Li, M.; Pan, J.; Luo, Y.; Wu, H.; Zhang, Y.; Li, G. Hydrothermal Synthesis of Mo-Doped VO2/TiO2 Composite Nano crystals with Enhanced Thermochromic Performance. ACS Appl. Mater. Interfaces 2014, 6, 6555–6561. [Google Scholar] [CrossRef]
  30. American Society for Testing and Materials. ASTM G173-03 Standard Tables of Reference Solar Spectral Irradiances: Direct Normal and Hemispherical on a 37° Tilted Surface; American Society for Testing and Materials: Philadelphia, PA, USA, 2020. [Google Scholar]
  31. Nath, D.; Singh, F.; Das, R. X-ray diffraction analysis by Williamson-Hall, Halder-Wagner and size-strain plot methods of CdSe nanoparticles—A comparative study. Mater. Chem. Phys. 2020, 239, 122021. [Google Scholar] [CrossRef]
  32. Li, B.; Tian, S.Q.; Tao, H.Z.; Zhao, X.J. Tungsten doped M-phase VO2 mesoporous nanocrystals with enhanced comprehensive thermochromic properties for smart windows. Ceram. Int. 2019, 45, 4342–4350. [Google Scholar] [CrossRef]
  33. Zomaya, D.; Xu, W.Z.; Grohe, B.; Mittler, S.; Charpentier, P.A. W-doped VO2/PVP coatings with enhanced thermochromic performance. Sol. Energy Mater. Sol. Cells 2019, 200, 109900. [Google Scholar] [CrossRef]
  34. Chen, R.; Miao, L.; Cheng, H.L.; Nishibori, E.; Liu, C.Y.; Asaka, T.; Iwamoto, Y.; Takata, M.; Tanemura, S. One-step hydrothermal synthesis of V1-xWxO2 (M/R) nanorods with superior doping efficiency and thermochromic properties. J. Mater. Chem. A 2015, 3, 3726–3738. [Google Scholar] [CrossRef]
  35. Zhang, L.; Xia, F.; Yao, J.; Zhu, T.; Xia, H.; Yang, G.; Liu, B.; Gao, L. Facile synthesis, formation mechansm and thermochromic properties of W-doped VO2(M) nanoparticles for smart window applications. J. Mater. Chem. C 2020, 8, 13396. [Google Scholar] [CrossRef]
Scheme 1. (a) Reaction for the preparation of VO2 (M) via a polyol method and (b) a schematic illustration of the W-VEG synthesis and calcination.
Scheme 1. (a) Reaction for the preparation of VO2 (M) via a polyol method and (b) a schematic illustration of the W-VEG synthesis and calcination.
Materials 13 05384 sch001
Figure 1. (a) XRD patterns and (b) DSC thermograms of tungsten-doped vanadium oxides obtained with varying molar mixing ratios of EG to 1-dodecanol at 1:0, 1:0.5, 1:1 and 1:2.
Figure 1. (a) XRD patterns and (b) DSC thermograms of tungsten-doped vanadium oxides obtained with varying molar mixing ratios of EG to 1-dodecanol at 1:0, 1:0.5, 1:1 and 1:2.
Materials 13 05384 g001
Figure 2. FE-SEM images of VEG (a) and W-VEGs (be) obtained with different mixing ratios of EG to 1-dodecanol at (a) 1:0 without using WOCl4, (b) 1:0, (c) 1:0.5, (d) 1:1, and (e) 1:2 at a fixed WOCl4 concentration of 2.77 mol% relative to NH4VO3, respectively. (scale bar = 1 μm).
Figure 2. FE-SEM images of VEG (a) and W-VEGs (be) obtained with different mixing ratios of EG to 1-dodecanol at (a) 1:0 without using WOCl4, (b) 1:0, (c) 1:0.5, (d) 1:1, and (e) 1:2 at a fixed WOCl4 concentration of 2.77 mol% relative to NH4VO3, respectively. (scale bar = 1 μm).
Materials 13 05384 g002
Scheme 2. Chemical structures of species that can be formed via reactions of WOCl4 with a mixture of EG and 1-dodecanol at different mixing ratios.
Scheme 2. Chemical structures of species that can be formed via reactions of WOCl4 with a mixture of EG and 1-dodecanol at different mixing ratios.
Materials 13 05384 sch002
Figure 3. (a) FT-IR spectra of W-VEGs obtained with different mixing ratios of EG to 1-dodecanol at ratios of 1:0, 1:0.5, 1:1, and 1:2 at a fixed WOCl4 concentration of 2.77 mol% relative to NH4VO3, and enlarged spectra of (b) C-H stretching, (c) O-H/C-H bending and (d) C-O stretching.
Figure 3. (a) FT-IR spectra of W-VEGs obtained with different mixing ratios of EG to 1-dodecanol at ratios of 1:0, 1:0.5, 1:1, and 1:2 at a fixed WOCl4 concentration of 2.77 mol% relative to NH4VO3, and enlarged spectra of (b) C-H stretching, (c) O-H/C-H bending and (d) C-O stretching.
Materials 13 05384 g003aMaterials 13 05384 g003b
Figure 4. (a) XRD patterns and (b) DSC thermograms of tungsten-doped vanadium oxides obtained with different tungsten doping concentrations.
Figure 4. (a) XRD patterns and (b) DSC thermograms of tungsten-doped vanadium oxides obtained with different tungsten doping concentrations.
Materials 13 05384 g004
Figure 5. FE-SEM images of W-VEGs obtained with different WOCl4 concentrations at (a) 0, (b) 2.77, (c) 5.53, and (d) 11.08 mol% relative to NH4VO3 at the fixed ratio of EG to 1-dodecanl at 1:1. (scale bar = 1 μm).
Figure 5. FE-SEM images of W-VEGs obtained with different WOCl4 concentrations at (a) 0, (b) 2.77, (c) 5.53, and (d) 11.08 mol% relative to NH4VO3 at the fixed ratio of EG to 1-dodecanl at 1:1. (scale bar = 1 μm).
Materials 13 05384 g005
Figure 6. Transmittance spectra of ethanol dispersions of (a) VO2 and (b) W0.0207VO2, and SEM images of (c) VO2 and (d) W0.0207VO2 nanoparticles.
Figure 6. Transmittance spectra of ethanol dispersions of (a) VO2 and (b) W0.0207VO2, and SEM images of (c) VO2 and (d) W0.0207VO2 nanoparticles.
Materials 13 05384 g006
Table 1. Compositions of tungsten in the reaction mixture and calcined WxVO2 estimated by ACP-IES.
Table 1. Compositions of tungsten in the reaction mixture and calcined WxVO2 estimated by ACP-IES.
W in Reaction Mixtures (mol%)W in WxVO2 (mol%)
2.770.33
5.530.97
11.082.07
Table 2. A summary of thermochromic properties of tungsten-doped VO2.
Table 2. A summary of thermochromic properties of tungsten-doped VO2.
SamplesW in WxVO2 (%)Tc (°C)Tlum at 20 °C (%)ΔTsol (%)Ref.
Mesoporous film0.443.061.611.4[31]
Coating with PVP344.468.320.4[32]
Core@SiO2 shell243.039.112.9[33]
NP Film0.742.763.411.7[34]
Dispersion2.0751.166.821.8This study
Publisher’s Note: MDPI stays neutral with regard to jurisdictional claims in published maps and institutional affiliations.

Share and Cite

MDPI and ACS Style

Lee, Y.; Jung, S.W.; Park, S.H.; Yoo, J.W.; Park, J. Synthesis of Tungsten-Doped Vanadium Dioxide Using a Modified Polyol Method Involving 1-Dodecanol. Materials 2020, 13, 5384. https://doi.org/10.3390/ma13235384

AMA Style

Lee Y, Jung SW, Park SH, Yoo JW, Park J. Synthesis of Tungsten-Doped Vanadium Dioxide Using a Modified Polyol Method Involving 1-Dodecanol. Materials. 2020; 13(23):5384. https://doi.org/10.3390/ma13235384

Chicago/Turabian Style

Lee, Yonghyun, Sang Won Jung, Sang Hwi Park, Jung Whan Yoo, and Juhyun Park. 2020. "Synthesis of Tungsten-Doped Vanadium Dioxide Using a Modified Polyol Method Involving 1-Dodecanol" Materials 13, no. 23: 5384. https://doi.org/10.3390/ma13235384

APA Style

Lee, Y., Jung, S. W., Park, S. H., Yoo, J. W., & Park, J. (2020). Synthesis of Tungsten-Doped Vanadium Dioxide Using a Modified Polyol Method Involving 1-Dodecanol. Materials, 13(23), 5384. https://doi.org/10.3390/ma13235384

Note that from the first issue of 2016, this journal uses article numbers instead of page numbers. See further details here.

Article Metrics

Back to TopTop