Uniaxial Dynamic Compressive Behaviors of Hydraulic Asphalt Concrete under the Coupling Effect between Temperature and Strain Rate
Abstract
1. Introduction
2. Experimental Program
2.1. Mix Ratio and Sample Preparation
2.2. Loading Conditions
2.3. Test Equipment and Loading Schemes
3. Experimental Results and Analysis
3.1. Compression Failure Modes of Hydraulic Asphalt Concrete
3.2. Uniaxial Compression Stress-Strain Curves
3.2.1. Temperature Effect of Stress-Strain Curves
3.2.2. Strain Rate Effect of Stress-Strain Curves
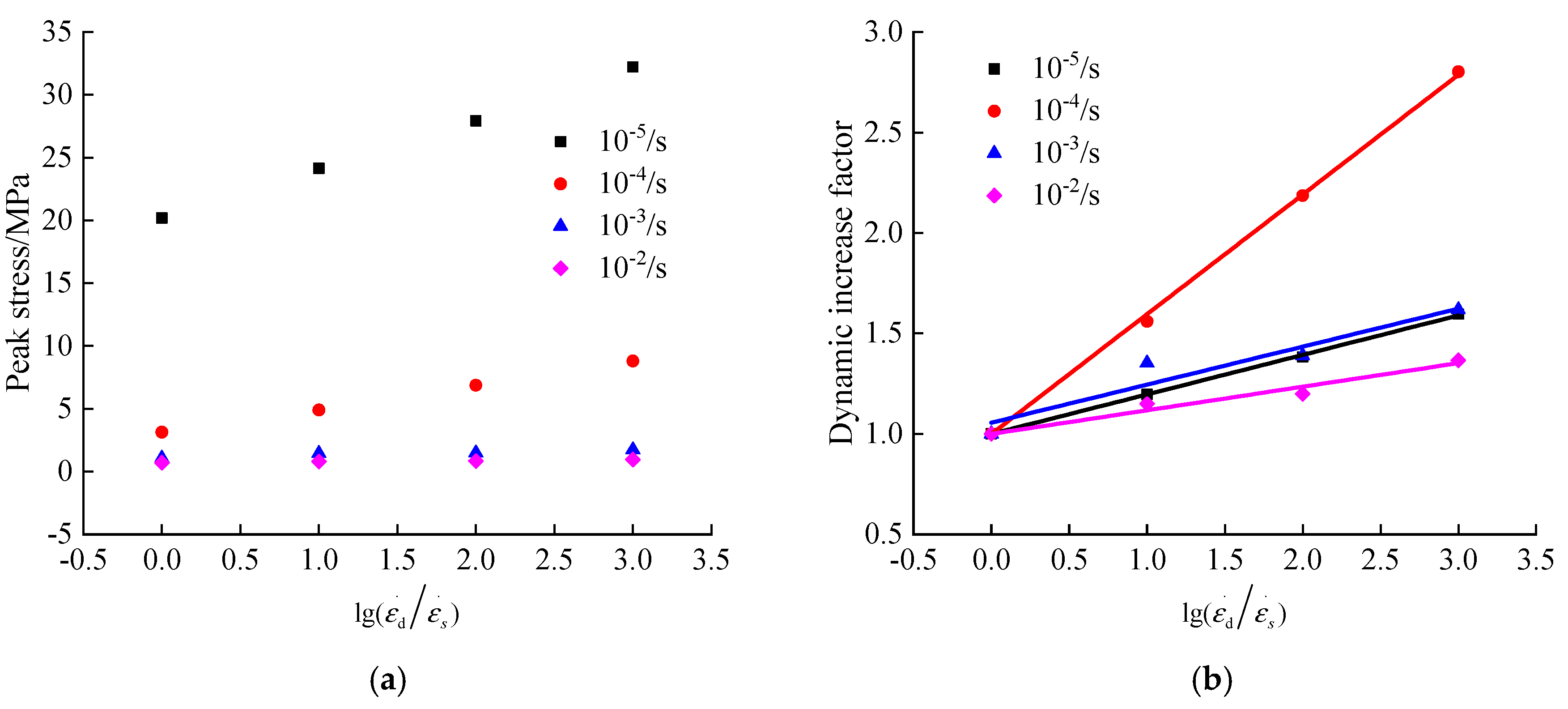
3.3. Peak Compressive Stress
3.4. Deformation Parameters of Hydraulic Asphalt Concrete
3.4.1. Stiffness Modulus
3.4.2. Peak Strain
4. Discussion
5. Conclusions
- (1)
- The failure modes of hydraulic asphalt concrete are affected by strain rate and temperature. The integrity of concrete keeps good. The brittle failure of bitumen binder occurs in the specimens at temperatures −20 °C and 0 °C, with small deformation and vertical cracks on the free surfaces. With the rise of the temperature, the bitumen turns from elastic-brittleness to viscoelasticity. The plastic deformation of the specimen gradually increases and the ductile failure occurs. The compressive strain becomes larger and transverse stripes of aggregates on the free surfaces become more obvious.
- (2)
- The stress-strain curves of hydraulic asphalt concrete are closely related to temperature. The slope of stress-strain curves is the largest as well as the peak stress at temperature −20 °C. The stress rise rate is the fastest. Following the addition of the temperature, the stress rise rate decreases with the decline of the peak stress. After the peak stress, hydraulic asphalt concrete exhibits strain softening at −20 °C and 0 °C, and shows strain hardening at 25 °C and 45 °C.
- (3)
- Influenced by strain rate, the trends of stress-strain curves of hydraulic asphalt concrete before the peak point are similar. However, after the peak stress the curves at strain rates 10−5/s and 10−4/s exhibit strain hardening while curves at strain rates 10−3/s and 10−2/s show strain softening. By an increase in the strain rate, hydraulic asphalt concrete exhibits more obvious strain softening effect, and the stress descending rate increases.
- (4)
- With successive rise in the temperature, the peak stress of hydraulic asphalt concrete decreases, approaching zero. The relation between the peak stress and temperature fits a power function. At the same time, there is a significant increase in the peak stress with the addition of strain rate. The peak stress is linearly increased with the logarithmic value of the dimensionless-treated strain rate ratio.
- (5)
- Based on the mathematical expressions of temperature, strain rate and peak stress, two model equations of the coupling effect between the temperature and strain rate on the peak compressive stress of hydraulic asphalt concrete are proposed. The model equations are well applicable to describe the trends of peak compressive stress influenced by temperature and strain rate.
Author Contributions
Funding
Acknowledgments
Conflicts of Interest
References
- Seo, J.-W.; Park, D.-W.; Le, T.H.M. Development of an asphalt concrete mixture for Asphalt Core Rockfill Dam. Constr. Build. Mater. 2017, 140, 301–309. [Google Scholar] [CrossRef]
- Tournier, J.-P. Update on ICOLD Embankment Dam Technical Committee Works. In Dam Breach Modelling and Risk Disposal; Springer: Cham, Switzerland, 2020; pp. 47–55. [Google Scholar] [CrossRef]
- Zhang, Y.; Höeg, K.; Wang, W.; Zhu, Y. Watertightness, cracking resistance, and self-healing of asphalt concrete used as a water barrier in dams. Can. Geotech. J. 2013, 50, 275–287. [Google Scholar] [CrossRef]
- Akhtarpour, A.; Khodaii, A. Experimental study of asphaltic concrete dynamic properties as an impervious core in embankment dams. Constr. Build. Mater. 2013, 41, 319–334. [Google Scholar] [CrossRef]
- Feizikhankandi, S.; Mirghasemi, A.A.; Ghalandarzadeh, A.; Hoeg, K. Cyclic triaxial tests on asphalt concrete as a water barrier for embankment dams. Soils Found. 2008, 48, 319–332. [Google Scholar] [CrossRef]
- Wang, W.; Hu, K.; Feng, S.; Li, G.; Höeg, K. Shear behavior of hydraulic asphalt concrete at different temperatures and strain rates. Constr. Build. Mater. 2020, 230. [Google Scholar] [CrossRef]
- Pirmohammad, S.; Ayatollahi, M.R. Fracture resistance of asphalt concrete under different loading modes and temperature conditions. Constr. Build. Mater. 2014, 53, 235–242. [Google Scholar] [CrossRef]
- Huang, B.; Zhang, Y.; Qi, T.; Han, H. Static and Dynamic Properties and Temperature Sensitivity of Emulsified Asphalt Concrete. Adv. Mater. Sci. Eng. 2018, 2018, 7067608. [Google Scholar] [CrossRef]
- Wang, J.; Molenaar, A.A.A.; van de Ven, M.F.C.; Wu, S. Behaviour of asphalt concrete mixtures under tri-axial compression. Constr. Build. Mater. 2016, 105, 269–274. [Google Scholar] [CrossRef]
- Zhang, W.; Huang, B.; Zhang, B. Experimental study on engineering characteristics of hydraulic room-temperature asphalt concrete. J. Hydraul. Eng. 2015, 46, 27–33. (In Chinese) [Google Scholar] [CrossRef]
- Li, L.; Guo, Z.; Ran, L.; Zhang, J. Study on Low-Temperature Cracking Performance of Asphalt under Heat and Light Together Conditions. Materials 2020, 13, 1541. [Google Scholar] [CrossRef]
- Chen, Y.; Jiang, T.; Huang, Z.; Fu, W. Effect of temperature on mechanical properties of asphalt concrete. Rock Soil Mech. 2010, 31, 2192–2196. (In Chinese) [Google Scholar] [CrossRef]
- Li, Z.; Zhang, H.; Hou, Y.; Tian, X. Triaxial test study on mechanical characteristics of asphalt concrete in the core wall of earth-rock fill dam[13]. Chin. J. Rock Mech. Eng. 2006, 5, 997–1002. (In Chinese) [Google Scholar]
- Pszczola, M.; Szydlowski, C. Influence of Bitumen Type and Asphalt Mixture Composition on Low-Temperature Strength Properties According to Various Test Methods. Materials 2018, 11, 2118. [Google Scholar] [CrossRef] [PubMed]
- Bekele, A.; Ryden, N.; Gudmarsson, A.; Birgisson, B. Automated Non-contact Resonance Excitation Method to Assess Low Temperature Dynamic Modulus of Asphalt Concrete. J. Nondestruct. Eval. 2019, 38. [Google Scholar] [CrossRef]
- Ahmed, M.U.; Rahman, A.; Islam, M.R.; Tarefder, R.A. Combined effect of asphalt concrete cross-anisotropy and temperature variation on pavement stress–strain under dynamic loading. Constr. Build. Mater. 2015, 93, 685–694. [Google Scholar] [CrossRef]
- Ning, Z.; Liu, Y.; Xue, X. Dynamic compressive behavior of hydraulic asphalt concrete under different temperatures. J. Hydroelectr. Eng. 2019, 38, 24–34. (In Chinese) [Google Scholar] [CrossRef]
- Xu, Y.; Jiang, Y.; Xue, J.; Ren, J. Investigating the Effect of Aggregate Characteristics on the Macroscopic and Microscopic Fracture Mechanisms of Asphalt Concrete at Low-Temperature. Materials 2019, 12, 2675. [Google Scholar] [CrossRef]
- Wang, W.; Höeg, K. Cyclic Behavior of Asphalt Concrete Used as Impervious Core in Embankment Dams. J. Geotech. Geoenviron. Eng. 2011, 137, 536–544. [Google Scholar] [CrossRef]
- Chen, Y.; Wang, H.; Xu, S.; You, Z. High modulus asphalt concrete: A state-of-the-art review. Constr. Build. Mater. 2020, 237. [Google Scholar] [CrossRef]
- Taherkhani, H.; Tajdini, M. Comparing the effects of nano-silica and hydrated lime on the properties of asphalt concrete. Constr. Build. Mater. 2019, 218, 308–315. [Google Scholar] [CrossRef]
- Wu, J.; Liu, X.; Wu, H.; Li, L.; Liu, Z. Dynamic Compressive Behavior of Asphalt Concrete Material under Impact Load. J. Test. Eval. 2020, 48. [Google Scholar] [CrossRef]
- Professional Standard of the People’s Republic of China. Test Code for Hydraulic Asphalt Concrete (DL/T 5362-2018); General Office of the National Development and Reform Commission: Beijing, China, 2018. [Google Scholar]
- Professional Standard of the People’s Republic of China. Standard Test Methods of Bitumen and Bituminous Mixtures for Highway Engineering (JTG E20-2011); Ministry of Transport of the People’s Republic of China: Beijing, China, 2011.
- Leon, L.; Gay, D.; Simpson, N.; Edwin, S. Stress-Strain and Failure Modes of Asphalt Concrete in Compression Due to Geometrical Changes. In Proceedings of the 16th LACCEI International Multi-Conference for Engineering, Education, and Technology: “Innovation in Education and Inclusion”, Lima, Peru, 18–20 July 2018. [Google Scholar]
- Islam, M.R.; Ahmed, M.U.; Tarefder, R.A. Laboratory Investigation and Field Validation of the Cross-Anisotropy of Field Cored Asphalt Sample. In Proceedings of the Geo-Hubei 2014 International Conference on Sustainable Civil Infrastructure, Yichang, China, 20–22 July 2014. [Google Scholar]
- Xue, G.; Liu, J.-X.; Cao, M.-L. A Study of the Impact Resistance of Rubber Concrete at Low Temperatures (−30 °C). Adv. Civ. Eng. 2019, 2019, 4049858. [Google Scholar] [CrossRef]
- Adam, K.; Říha, J.; Špano, M. Investigation on the temperature of the asphalt-concrete facing of embankment dams. Int. J. Pavement Res. Technol. 2016, 9, 73–81. [Google Scholar] [CrossRef][Green Version]
- Shiming, S.; Yupu, S. Dynamic biaxial tensile–compressive strength and failure criterion of plain concrete. Constr. Build. Mater. 2013, 40, 322–329. [Google Scholar] [CrossRef]
- Starodubsky, S.; Blechman, I.; Livneh, M. Stress-strain relationship for asphalt concrete in compression. Mater. Struct. 1994, 27, 474–482. [Google Scholar] [CrossRef]
- Leon, L.; Charles, R.; Simpson, N. Stress-strain behaviour of asphalt concrete in compression. Procedia Struct. Integr. 2016, 2, 2913–2920. [Google Scholar] [CrossRef]
- Peng, Y.; Wang, Q.; Ying, L.; Kamel, M.M.A.; Peng, H. Numerical Simulation of Dynamic Mechanical Properties of Concrete under Uniaxial Compression. Materials 2019, 12, 643. [Google Scholar] [CrossRef]
- Li, F.; Yu, Z.; Hu, Y. Experimental Study on Dynamic Performance of Self-Compacting Lightweight Aggregate Concrete under Compression. Adv. Civ. Eng. 2019, 2019, 5384601. [Google Scholar] [CrossRef]
- Ma, Q.; Guo, R.; Zhao, Z.; Lin, Z.; He, K. Mechanical properties of concrete at high temperature—A review. Constr. Build. Mater. 2015, 93, 371–383. [Google Scholar] [CrossRef]

















| Concrete Category | Filler Material (<0.075 mm) | Fine Aggregate (0.075–2.36 mm) | Coarse Aggregate (2.36–19 mm) | Bitumen Content (%) |
|---|---|---|---|---|
| Ordinary asphalt concrete | 8 | 43 | 49 | 5 |
| Hydraulic asphalt concrete range | 10–15 | 35–52 | 33–55 | 6.5–8.5 |
| Hydraulic asphalt concrete | 14.2 | 37.9 | 47.9 | 7.6 |
| Hydraulic Asphalt Concrete | SBS Modified Bitumen | ||||
|---|---|---|---|---|---|
| Air Voids (%) | VMA 1 (%) | VFB 2 (%) | Penetration (25 °C) | Ductility (5 °C, 5 mm/min) | Soft Point (°C) |
| 1.6 | 17.2 | 90.5 | 66.5 | 32.5 | 72.5 |
| Strain Rate | Temperature | Stiffness Modulus/MPa | Strain Rate | Temperature | Stiffness Modulus/MPa |
|---|---|---|---|---|---|
| 10−5/s | −20 °C | 6149.7 | 10−3/s | −20 °C | 8345.3 |
| 0 °C | 595.8 | 0 °C | 1414.5 | ||
| 25 °C | 73.3 | 25 °C | 156.5 | ||
| 45 °C | 51.2 | 45 °C | 84.8 | ||
| 10−4/s | −20 °C | 7095.1 | 10−2/s | −20 °C | 12,557.9 |
| 0 °C | 1142.3 | 0 °C | 2523.6 | ||
| 25 °C | 136.5 | 25 °C | 196.2 | ||
| 45 °C | 61.3 | 45 °C | 102.7 |
Publisher’s Note: MDPI stays neutral with regard to jurisdictional claims in published maps and institutional affiliations. |
© 2020 by the authors. Licensee MDPI, Basel, Switzerland. This article is an open access article distributed under the terms and conditions of the Creative Commons Attribution (CC BY) license (http://creativecommons.org/licenses/by/4.0/).
Share and Cite
Tang, R.; Yu, Z.; Liu, G.; Li, F.; Tang, W. Uniaxial Dynamic Compressive Behaviors of Hydraulic Asphalt Concrete under the Coupling Effect between Temperature and Strain Rate. Materials 2020, 13, 5348. https://doi.org/10.3390/ma13235348
Tang R, Yu Z, Liu G, Li F, Tang W. Uniaxial Dynamic Compressive Behaviors of Hydraulic Asphalt Concrete under the Coupling Effect between Temperature and Strain Rate. Materials. 2020; 13(23):5348. https://doi.org/10.3390/ma13235348
Chicago/Turabian StyleTang, Rui, Zhenpeng Yu, Guoqing Liu, Furong Li, and Wenbin Tang. 2020. "Uniaxial Dynamic Compressive Behaviors of Hydraulic Asphalt Concrete under the Coupling Effect between Temperature and Strain Rate" Materials 13, no. 23: 5348. https://doi.org/10.3390/ma13235348
APA StyleTang, R., Yu, Z., Liu, G., Li, F., & Tang, W. (2020). Uniaxial Dynamic Compressive Behaviors of Hydraulic Asphalt Concrete under the Coupling Effect between Temperature and Strain Rate. Materials, 13(23), 5348. https://doi.org/10.3390/ma13235348

