Experimental Study on Corrosion Performance of Oil Tubing Steel in HPHT Flowing Media Containing O2 and CO2
Abstract
1. Introduction
2. Experimental
2.1. Experimental System
2.2. Experimental Conditions
3. Results
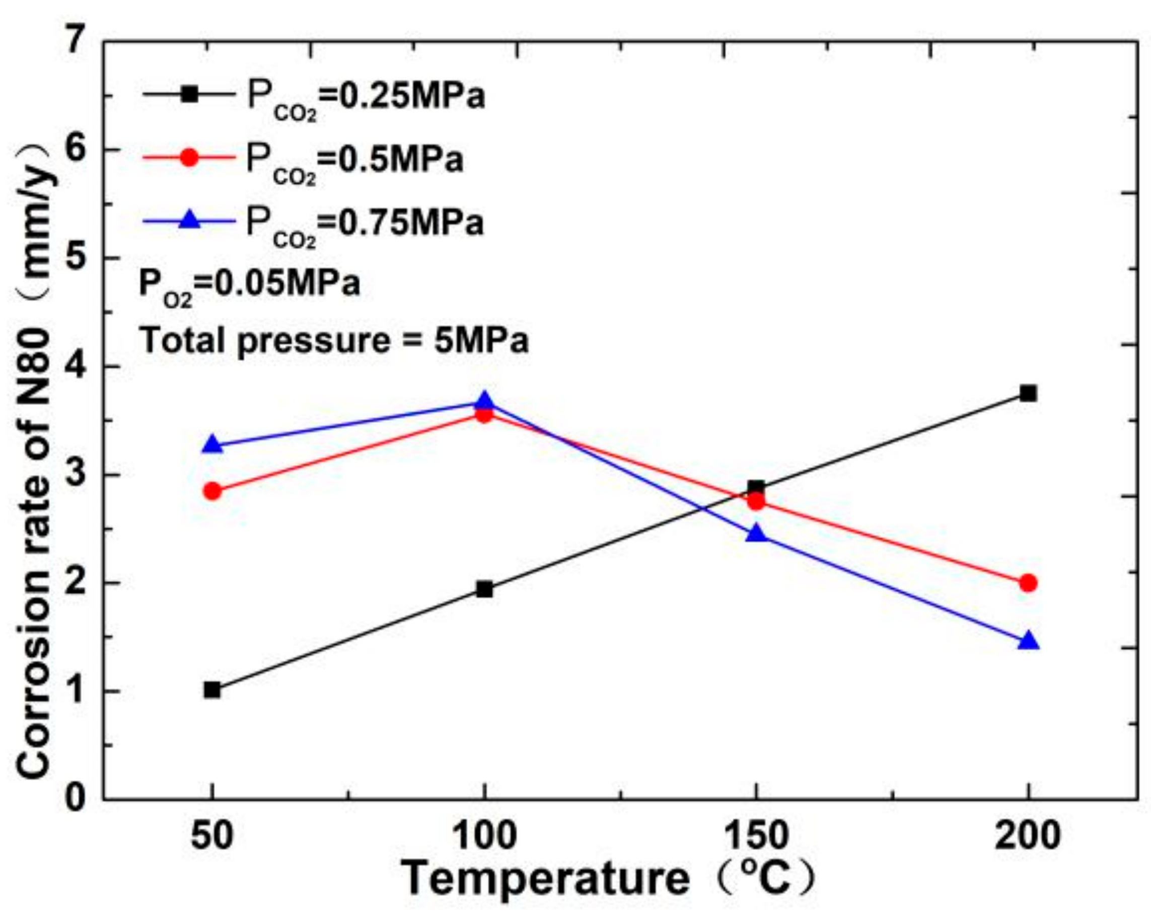
3.1. Effects of Solution Temperature and CO2 Partial Pressure on Corrosion Rate
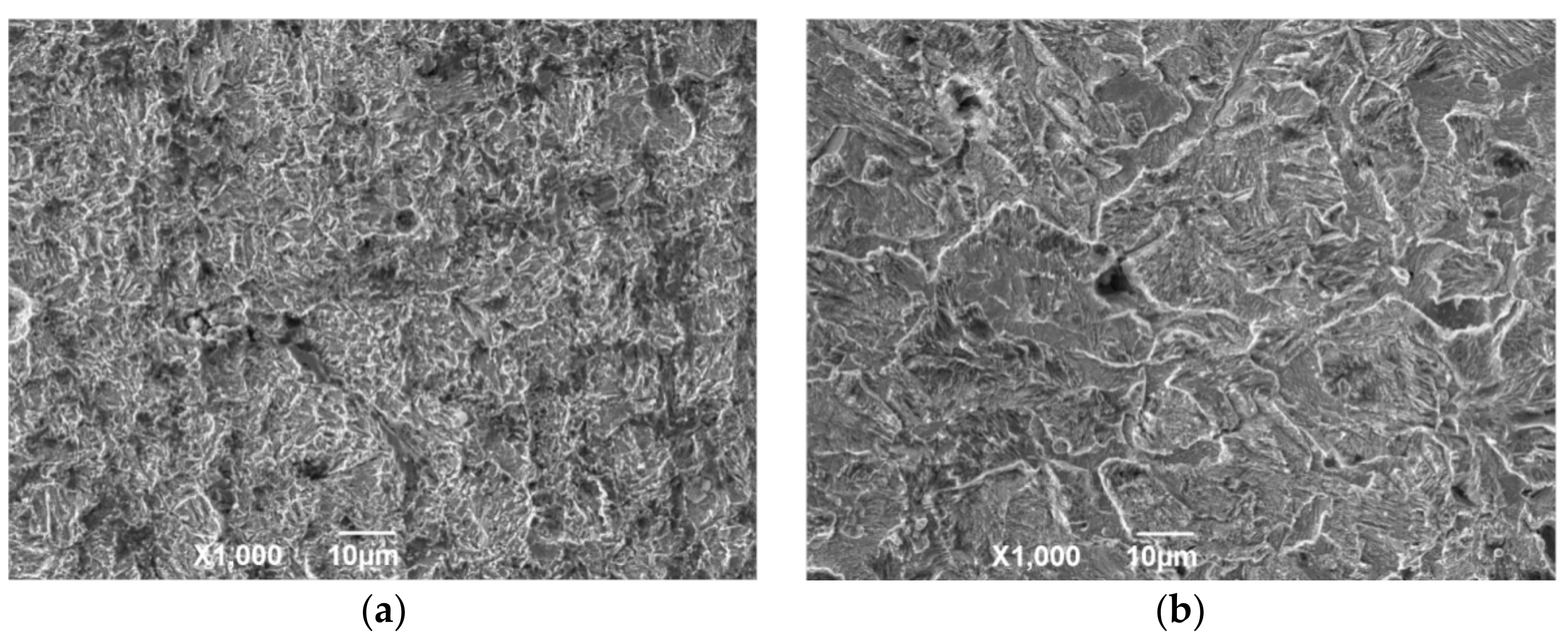
3.2. Macroscopic Morphology and Product Components
4. Discussion
4.1. Formation of Corrosive Environment Containing CO2
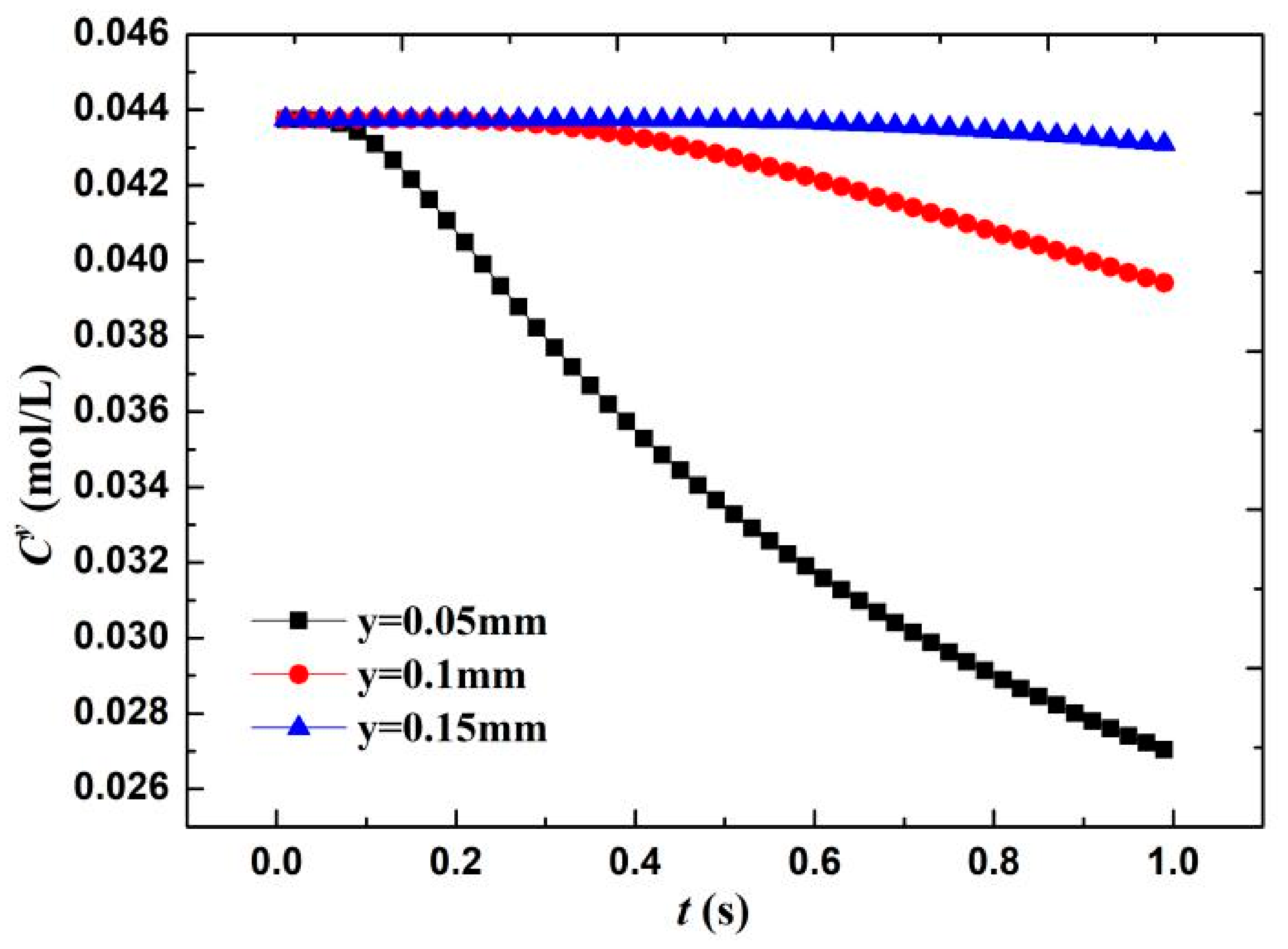
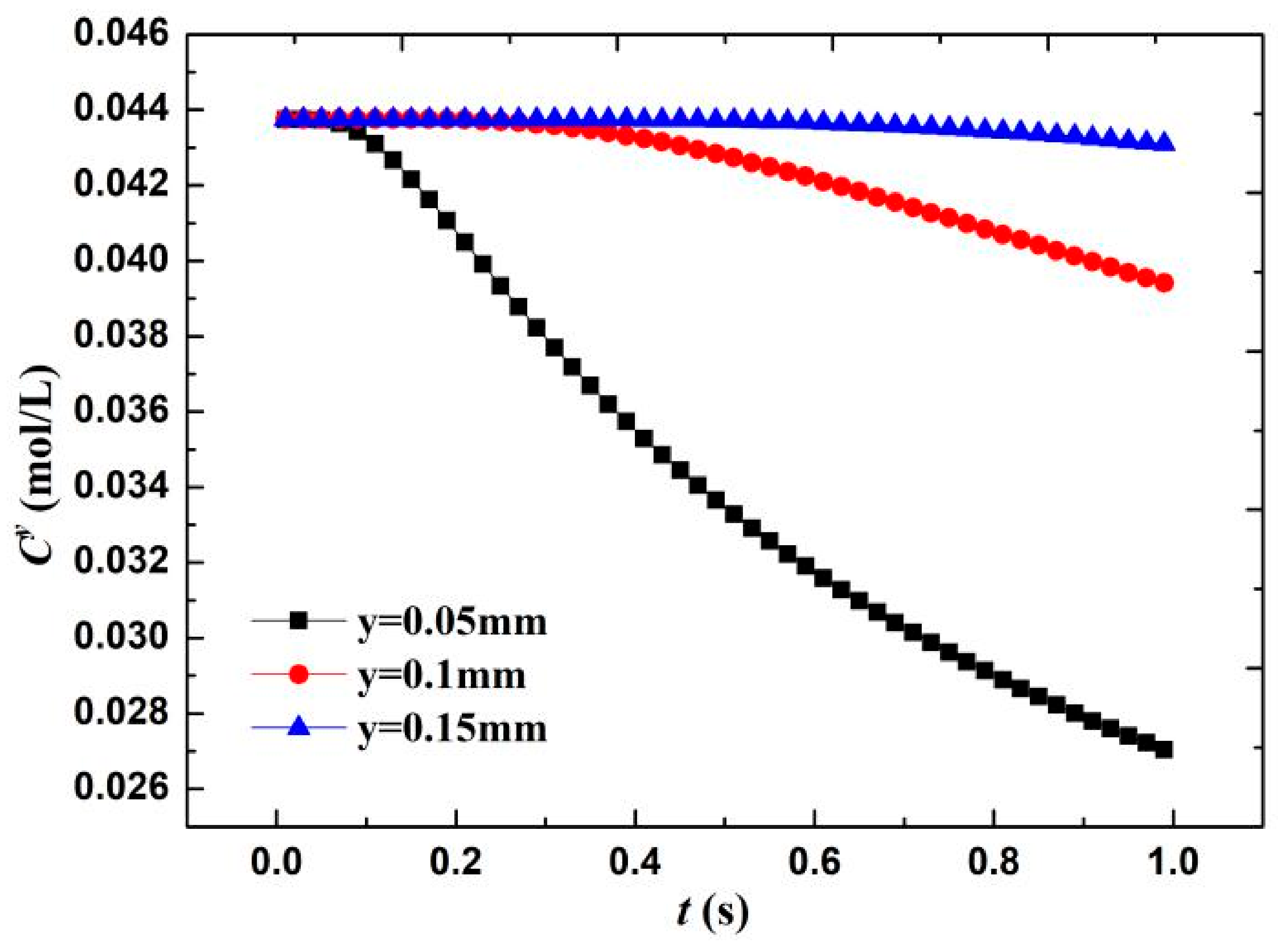
4.2. Diffusion and Reaction of O2 in CO2 Solution
4.3. Influence of Temperature
5. Conclusions
Author Contributions
Funding
Acknowledgments
Conflicts of Interest
References
- Singh, A.; Lin, Y.H.; Ebenso, E.E.; Liu, W.Y.; Pan, J.; Huang, B. Gingko biloba fruit extract as an eco-friendly corrosion inhibitor for J55 steel in CO2 saturated 3.5% NaCl solution. J. Ind. Eng. Chem. 2015, 24, 219–228. [Google Scholar] [CrossRef]
- Fu, A.Q.; Geng, L.Y.; Li, G.; Cai, R.; Li, G.S.; Li, G.F.; Bai, Z.Q. Corrosion failure analysis of an oil tube used in a western oilfield. Corros. Prot. 2013, 34, 645–648. [Google Scholar]
- Linter, B.R.; Burstein, G.T. Reactions of pipeline steels in carbon dioxide solutions. Corros. Sci. 1999, 41, 117–139. [Google Scholar] [CrossRef]
- Bai, H.T.; Wang, Y.Q.; Ma, Y.; Zhang, Q.B.; Zhang, N.S. Effect of CO2 partial pressure on the corrosion behavior of J55 carbon steel in 30% crude oil/brine mixture. Materials 2018, 11, 1765–1773. [Google Scholar] [CrossRef] [PubMed]
- Zhang, G.A.; Liu, D.; Li, Y.Z.; Guo, X.P. Corrosion behavior of N80 carbon steel in formation water under dynamic supercritical CO2 condition. Corros. Sci. 2017, 120, 107–120. [Google Scholar] [CrossRef]
- De Waard, C.; Milliams, D.E. Carbonic acid corrosion of steel. Corrosion 1975, 31, 177–181. [Google Scholar] [CrossRef]
- Nesic, S.; Postlethwaite, J.; Olsen, S. An electrochemical model for prediction of corrosion of mild steel in aqueous carbon dioxide solutions. Corrosion 1996, 52, 280–294. [Google Scholar] [CrossRef]
- Ha, H.M.; Gadala, I.M.; Alfantazi, A. Hydrogen evolution and absorption in an API-X100 line pipe steel exposed to near-neutral pH solutions. Electrochim. Acta 2016, 204, 18–30. [Google Scholar] [CrossRef]
- Choi, Y.S.; Farelas, F.; Nesic, S.; Magalhaes, C.D.; Azevedo, A. Corrosion behavior of deep water oil production tubing material under supercritical CO2 environment: Part 1-effect of pressure and temperature. Corrosion 2013, 70, 38–47. [Google Scholar] [CrossRef]
- Patrick, J.M.; Paul, M.N. Corrosion and Corrosion Control; Wiley Press: Hoboken, NJ, USA, 1985; pp. 105–116. [Google Scholar]
- Huang, X.B.; Yin, Z.F.; Li, H.L.; Bai, Z.Q.; Zhao, W.Z. Corrosion of N80 tubing steel in brine at 1.2MPa CO2 containing trace amounts of H2S. Corros. Eng. Sci. Technol. 2013, 47, 78–83. [Google Scholar] [CrossRef]
- Nesic, S.; Postlethwaite, J.; Vrhovac, M. CO2 corrosion of carbon steel—From mechanistic to empirical modelling. Corros. Rev. 1997, 15, 1–2. [Google Scholar] [CrossRef]
- Bai, Z.Q.; Li, H.L.; Liu, D.X.; Wang, X.F. Corrosion factors of N80 steel in simulated H2S/CO2 environment. Mater. Prot. 2003, 36, 32–34. [Google Scholar]
- Wang, G.J.; Liu, J.S.; Zhang, J. Corrosion behaviors of three metal materials in autoclave containing saline medium. Corros. Prot. 2010, 31, 167–169. [Google Scholar]
- Zhang, Q.; Li, A.Q.; Wen, J.B.; Bai, Z.Q. Effect of CO2 Partial Pressure on CO2/H2S Corrosion of Oil Tube Steel. J. Iron Steel Res. 2004, 16, 72–74. [Google Scholar]
- He, W.; Knudsen, O.O.; Diplas, S. Corrosion of stainless steel 316L in simulated formation water environment with CO2-H2S-Cl. Corros. Sci. 2009, 51, 2811–2819. [Google Scholar] [CrossRef]
- Jiang, X.; Zheng, Y.G.; Ke, W. Effect of flow velocity and entrained sand on inhibition performances of two inhibitors for CO2 corrosion of N80 steel in 3% NaCl solution. Corros. Sci. 2005, 47, 2636–2658. [Google Scholar] [CrossRef]
- Hamann, C.H.; Hamnett, A.; Vielstich, W. Electrochemistry; Wiley-VCH: Weinheim, German, 2007. [Google Scholar]
- Kays, W.M.; Crawford, M.E.; Weigand, B. Convective Heat and Mass Transfer; McGraw-Hill: New York, NY, USA, 2007. [Google Scholar]
- Duan, Z.; Sun, R. An improved model calculating CO2 solubility in pure water and aqueous NaCl solutions from 273 to 533 K and from 0 to 2000 bar. Chem. Geol. 2003, 193, 257–271. [Google Scholar] [CrossRef]
- Kolev, N. Solubility of O2, N2, H2 and CO2 in water. In Multiphase Flow Dynamics 3; Springer: Berlin/Heidelberg, Germany, 2011. [Google Scholar]
















| Materials | C | Si | Mn | P | S | Cr | Mo | Ni | Cu | Fe |
|---|---|---|---|---|---|---|---|---|---|---|
| N80 | 0.22 | 0.21 | 1.77 | 0.01 | 0.003 | 0.036 | 0.021 | 0.028 | 0.019 | 97.683 |
| HCO3− (mg/L) | Cl− (mg/L) | Ca2+ (mg/L) | Na+ (mg/L) | SO42− (mg/L) | Salinity (mg/L) | pH |
|---|---|---|---|---|---|---|
| 800 | 2000 | 10 | 1785 | 400 | 4995 | 7.8 |
Publisher’s Note: MDPI stays neutral with regard to jurisdictional claims in published maps and institutional affiliations. |
© 2020 by the authors. Licensee MDPI, Basel, Switzerland. This article is an open access article distributed under the terms and conditions of the Creative Commons Attribution (CC BY) license (http://creativecommons.org/licenses/by/4.0/).
Share and Cite
Dou, Y.; Li, Z.; Cheng, J.; Zhang, Y. Experimental Study on Corrosion Performance of Oil Tubing Steel in HPHT Flowing Media Containing O2 and CO2. Materials 2020, 13, 5214. https://doi.org/10.3390/ma13225214
Dou Y, Li Z, Cheng J, Zhang Y. Experimental Study on Corrosion Performance of Oil Tubing Steel in HPHT Flowing Media Containing O2 and CO2. Materials. 2020; 13(22):5214. https://doi.org/10.3390/ma13225214
Chicago/Turabian StyleDou, Yihua, Zhen Li, Jiarui Cheng, and Yafei Zhang. 2020. "Experimental Study on Corrosion Performance of Oil Tubing Steel in HPHT Flowing Media Containing O2 and CO2" Materials 13, no. 22: 5214. https://doi.org/10.3390/ma13225214
APA StyleDou, Y., Li, Z., Cheng, J., & Zhang, Y. (2020). Experimental Study on Corrosion Performance of Oil Tubing Steel in HPHT Flowing Media Containing O2 and CO2. Materials, 13(22), 5214. https://doi.org/10.3390/ma13225214

