Size-Dependent Mechanical Properties of Amorphous SiO2 Nanowires: A Molecular Dynamics Study
Abstract
1. Introduction
2. Modeling and Methods
3. Results and Discussion
3.1. Mechanical Properties
3.2. Plastic Deformation
4. Conclusions
- (1)
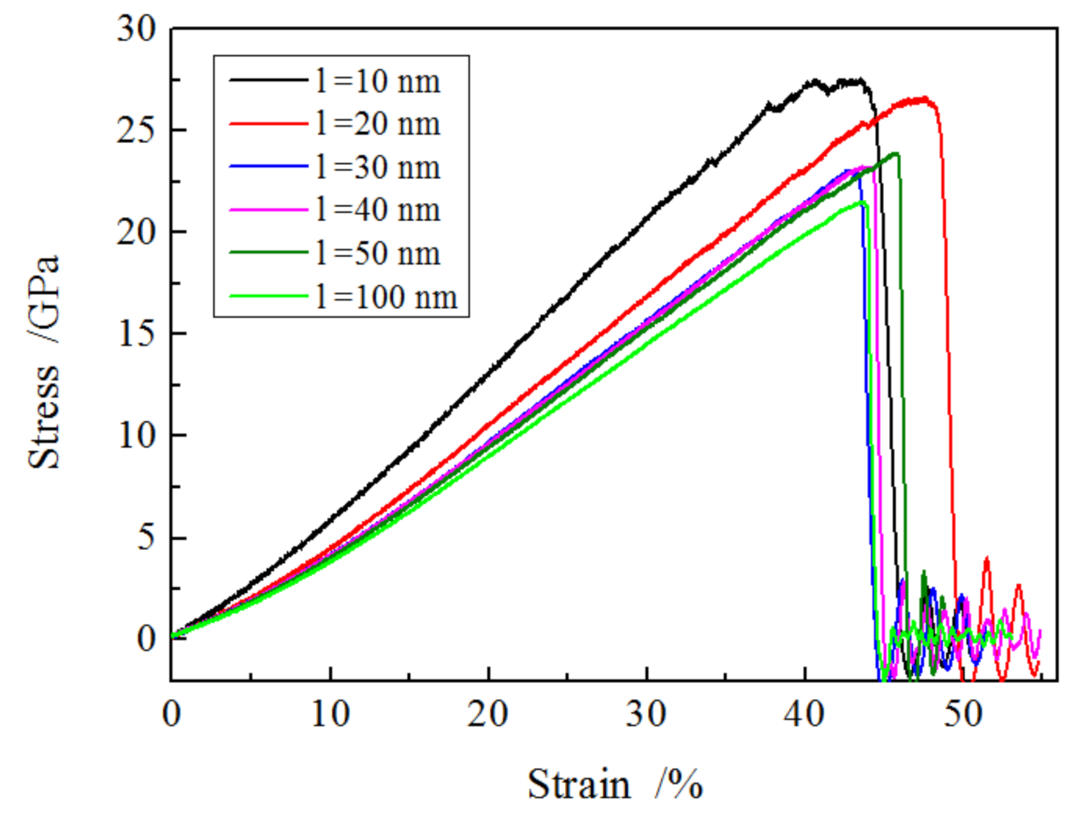
- The stress and strain curves revealed a strong size effect; the calculated Young’s modulus increased with the decreasing length of nanowires, as well as the fracture stress;
- (2)
- The Si–O peak shifted towards the larger distance during tension; the height of the Si–O peak decreased while the width increased based on the RDF analysis with the increasing tension strain. An extra peak appears in O–O RDF due to the numerous deformation of SiO4 tetrahedra, and the peak enlarges during tension;
- (3)
- The deformation of SiO2 nanowires with a radius of 6 nm exhibited two periods during tension: atomic arrangement and plastic deformation periods. The PCN2 and PCN3 decreased, while PCN4, PCN5 and PCB increased slightly owing to the higher surface stress at the atomic arrangement period. The PC2 and PCN3 grew sharply, while PCN4, PCN5 and PCB declined dramatically at plastic deformation periods before the fracture of nanowires occurred;
- (4)
- There was an increase in Young’s modulus for larger nanowire due to fewer dangling bonds and coordinate defeats compared with small nanowires. The elastic deformation for larger nanowire dominated at small tension strain instead of the atomic arrangement that happened to the small nanowire.
Author Contributions
Funding
Conflicts of Interest
References
- Cruz-Chu, E.R.; Aksimentiev, A.; Schulten, K. Water-silica force field for simulating nanodevices. J. Phys. Chem. B 2006, 110, 21497–21508. [Google Scholar] [CrossRef]
- Ryuo, E.; Wakabayashi, D.; Koura, A.; Shimojo, F. Ab initio simulation of permanent densification in silica glass. Phys. Rev. B 2017, 96, 054206. [Google Scholar] [CrossRef]
- Wang, J.; Rajendran, A.M.; Dongare, A.M. Atomic scale modeling of shock response of fused silica and alpha-quartz. J. Mater. Sci. 2015, 50, 8128–8141. [Google Scholar] [CrossRef]
- Wu, M.; Liang, Y.F.; Jiang, J.Z.; Tse, J.S. Structure and properties of dense silica glass. Sci. Rep. 2012, 2, 398–404. [Google Scholar] [CrossRef]
- Mott, N.F. The viscosity of vitreous silicon dioxide. Philos. Mag. B Phys. Condens. Matter Stat. Mech. Electron. Opt. Magn. Prop. 1987, 56, 257–262. [Google Scholar] [CrossRef]
- Ebrahem, F.; Bamer, F.; Markert, B. The influence of the network topology on the deformation and fracture behaviour of silica glass: A molecular dynamics study. Comput. Mater. Sci. 2018, 149, 162–169. [Google Scholar] [CrossRef]
- Lu, Z.; Nomura, K.; Sharma, A.; Wang, W.Q.; Zhang, C.; Nakano, A.; Kalia, R.; Vashishta, P.; Bouchaud, E.; Rountree, C. Dynamics of wing cracks and nanoscale damage in glass. Phys. Rev. Lett. 2005, 95, 135501. [Google Scholar] [CrossRef]
- Celarie, F.; Prades, S.; Bonamy, D.; Ferrero, L.; Bouchaud, E.; Guillot, C.; Marliere, C. Glass breaks like metal, but at the nanometer scale. Phys. Rev. Lett. 2003, 90, 075504. [Google Scholar] [CrossRef]
- Rountree, C.L.; Kalia, R.K.; Lidorikis, E.; Nakano, A.; van Brutzel, L.; Vashishta, P. Atomistic aspects of crack propagation in brittle materials: Multimillion atom molecular dynamics simulations. Annu. Rev. Mater. Res. 2002, 3, 377–400. [Google Scholar] [CrossRef]
- Nam, C.Y.; Jaroenapibal, P.; Tham, D.; Luzzi, D.E.; Evoy, S.; Fischer, J.E. Diameter-dependent electromechanical properties of GaN nanowires. Nano Lett. 2006, 6, 153–158. [Google Scholar] [CrossRef]
- Zhu, Y.; Xu, F.; Qin, Q.; Fung, W.Y.; Lu, W. Mechanical Properties of Vapor-Liquid-Solid Synthesized Silicon Nanowires. Nano Lett. 2009, 9, 3934–3939. [Google Scholar] [CrossRef]
- Chen, C.Q.; Shi, Y.; Zhang, Y.S.; Zhu, J.; Yan, Y.J. Size dependence of Young’s modulus in ZnO nanowires. Phys. Rev. Lett. 2006, 96, 075505. [Google Scholar] [CrossRef]
- Lee, B.; Rudd, R.E. Size-dependent Si nanowire mechanics are invariant to changes in the surface state. Phys. Rev. B 2011, 84. [Google Scholar] [CrossRef]
- Namazu, T.; Isono, Y. Quasi-static bending test of nano-scale SiO2 wire at intermediate temperatures using AFM-based technique. Sens. Actuators A Phys. 2003, 104, 78–85. [Google Scholar] [CrossRef]
- Ni, H.; Li, X.D.; Gao, H.S. Elastic modulus of amorphous SiO2 nanowires. Appl. Phys. Lett. 2006, 88. [Google Scholar] [CrossRef]
- Silva, E.; Tong, L.M.; Yip, S.; van Vliet, K.J. Size effects on the stiffness of silica nanowires. Small 2006, 2, 239–243. [Google Scholar] [CrossRef]
- Dikin, D.A.; Chen, X.; Ding, W.; Wagner, G.; Ruoff, S.R. Resonance vibration of amorphous SiO2 nanowires driven by mechanical or electrical field excitation. J. Appl. Phys. 2003, 93, 226–230. [Google Scholar] [CrossRef]
- Vanbeest, B.W.H.; Kramer, G.J.; Vansanten, R.A. Force-Fields for Silicas and Aluminophosphates Based on Abinitio Calculations. Phys. Rev. Lett. 1990, 64, 1955–1958. [Google Scholar] [CrossRef]
- Cheng, Z.; Fangli, D.; Qingsong, L. Size effects on the fracture behavior of amorphous silica nanowires. Comput. Mater. Sci. 2015, 99, 138–144. [Google Scholar]
- Yuan, F.; Huang, L. Size-dependent elasticity of amorphous silica nanowire: A molecular dynamics study. Appl. Phys. Lett. 2013, 103, 201905. [Google Scholar] [CrossRef]
- Liang, H.Y.; Upmanyu, M.; Huang, H.C. Size-dependent elasticity of nanowires: Nonlinear effects. Phys. Rev. B 2005, 71, 241403. [Google Scholar] [CrossRef]
- Cammarata, R.C.; Sieradzki, K. Effects of surface stress on the elastic moduli of thin films and superlattices. Phys. Rev. Lett. 1989, 62, 2005–2008. [Google Scholar] [CrossRef]
- Streitz, F.H.; Cammarata, R.C.; Sieradzki, K. Surface-stress effects on elastic properties. I. Thin metal films. Phys. Rev. B 1994, 49, 10699–10706. [Google Scholar] [CrossRef]
- Zhang, T.-Y.; Luo, M.; Chan, W.K. Size-dependent surface stress, surface stiffness, and Young’s modulus of hexagonal prism 111 beta-SiC nanowires. J. Appl. Phys. 2008, 103. [Google Scholar] [CrossRef]
- Sadeghian, H.; Yang, C.-K.; Goosen, J.F.L.; Bossche, A.; Staufer, U.; French, P.J.; van Keulen, F. Effects of size and defects on the elasticity of silicon nanocantilevers. J. Micromech. Microeng. 2010, 20. [Google Scholar] [CrossRef][Green Version]
- Li, X.X.; Ono, T.; Wang, Y.L.; Esashi, M. Ultrathin single-crystalline-silicon cantilever resonators: Fabrication technology and significant specimen size effect on Young’s modulus. Appl. Phys. Lett. 2003, 83, 3081–3083. [Google Scholar] [CrossRef]
- Plimpton, S. Fast parallel algorithms for short-range molecular-dynamics. J. Comput. Phys. 1995, 117, 1–19. [Google Scholar] [CrossRef]
- Chowdhury, S.C.; Haque, B.Z.; Gillespie, J.W., Jr. Molecular dynamics simulations of the structure and mechanical properties of silica glass using ReaxFF. J. Mater. Sci. 2016, 51, 10139–10159. [Google Scholar] [CrossRef]
- Munetoh, S.; Motooka, T.; Moriguchi, K.; Shintani, A. Interatomic potential for Si–O systems using Tersoff parameterization. Comput. Mater. Sci. 2007, 39, 334–339. [Google Scholar] [CrossRef]
- Han, J.; Fang, L.; Sun, J.; Han, Y.; Sun, K. Length-dependent mechanical properties of gold nanowires. J. Appl. Phys. 2012, 112, 114314. [Google Scholar] [CrossRef]
- Jin, W.; Kalia, R.K.; Vashishta, P.; Rino, J.P. Structural transformation, intermediate-range order, and dynamical behavior of SiO2 glass at high-pressures. Phys. Rev. Lett. 1993, 71, 3146–3149. [Google Scholar] [CrossRef] [PubMed]
- Chen, J.; Shi, J.; Wang, Y.; Sun, J.; Han, J.; Sun, K.; Fang, L. Nanoindentation and deformation behaviors of silicon covered with amorphous SiO2: A molecular dynamic study. RSC Adv. 2018, 8, 12597–12607. [Google Scholar] [CrossRef]
- Chen, J.; Shi, J.Q.; Chen, Z.; Zhang, M.; Peng, W.X.; Fang, L.; Sun, K.; Han, J. Mechanical properties and deformation behaviors of surface-modified silicon: A molecular dynamics study. J. Mater. Sci. 2019, 54, 3096–3110. [Google Scholar] [CrossRef]
- Chen, J.; Fang, L.; Sun, K.; Han, J. Creep behaviors of surface-modified silicon: A molecular dynamics study. Comput. Mater. Sci. 2020, 176, 109494. [Google Scholar] [CrossRef]
- Chen, J.; Shi, J.; Zhang, M.; Peng, W.; Fang, L.; Sun, K.; Han, J. Effect of indentation speed on deformation behaviors of surface modified silicon: A molecular dynamics study. Comput. Mater. Sci. 2018, 155, 1–10. [Google Scholar] [CrossRef]
- Sadeghian, H.; Yang, C.K.; Goosen, J.F.L.; van der Drift, E.; Bossche, A.; French, P.J.; van Keulen, F. Characterizing size-dependent effective elastic modulus of silicon nanocantilevers using electrostatic pull-in instability. Appl. Phys. Lett. 2009, 94, 221903. [Google Scholar] [CrossRef]
- Broughton, J.Q.; Meli, C.A.; Vashishta, P.; Kalia, R.K. Direct atomistic simulation of quartz crystal oscillators: Bulk properties and Si-le devices. Phys. Rev. B 1997, 56, 611–618. [Google Scholar] [CrossRef]









| Lengths/nm | 10 | 20 | 30 | 40 | 50 | 100 |
| Modulus/GPa | 44.6 | 34.3 | 32.2 | 31.4 | 30.6 | 29.2 |
Publisher’s Note: MDPI stays neutral with regard to jurisdictional claims in published maps and institutional affiliations. |
© 2020 by the authors. Licensee MDPI, Basel, Switzerland. This article is an open access article distributed under the terms and conditions of the Creative Commons Attribution (CC BY) license (http://creativecommons.org/licenses/by/4.0/).
Share and Cite
Sun, K.; Chen, J.; Wu, B.; Wang, L.; Fang, L. Size-Dependent Mechanical Properties of Amorphous SiO2 Nanowires: A Molecular Dynamics Study. Materials 2020, 13, 5110. https://doi.org/10.3390/ma13225110
Sun K, Chen J, Wu B, Wang L, Fang L. Size-Dependent Mechanical Properties of Amorphous SiO2 Nanowires: A Molecular Dynamics Study. Materials. 2020; 13(22):5110. https://doi.org/10.3390/ma13225110
Chicago/Turabian StyleSun, Kun, Juan Chen, Bingjie Wu, Liubing Wang, and Liang Fang. 2020. "Size-Dependent Mechanical Properties of Amorphous SiO2 Nanowires: A Molecular Dynamics Study" Materials 13, no. 22: 5110. https://doi.org/10.3390/ma13225110
APA StyleSun, K., Chen, J., Wu, B., Wang, L., & Fang, L. (2020). Size-Dependent Mechanical Properties of Amorphous SiO2 Nanowires: A Molecular Dynamics Study. Materials, 13(22), 5110. https://doi.org/10.3390/ma13225110

