Deformation and Fracture Failure of a High-Speed Long Rod Intercepted by Linear Explosively Formed Penetrators Sequence
Abstract
1. Introduction
2. Experiment
2.1. Linear-Shaped Charge (LSC) Test Preparation
2.2. X-ray Test Setup of Linear-Shaped Charge
2.3. Interception Experiment of Dynamic Long Rod with Multiple Linear-Shaped Charges
3. Results
3.1. X-ray Test Results
3.2. Test Results of LEFP Interception High-Speed Long Rod
4. Discussion
4.1. The Fractured Rods and Bullet Hole Shape
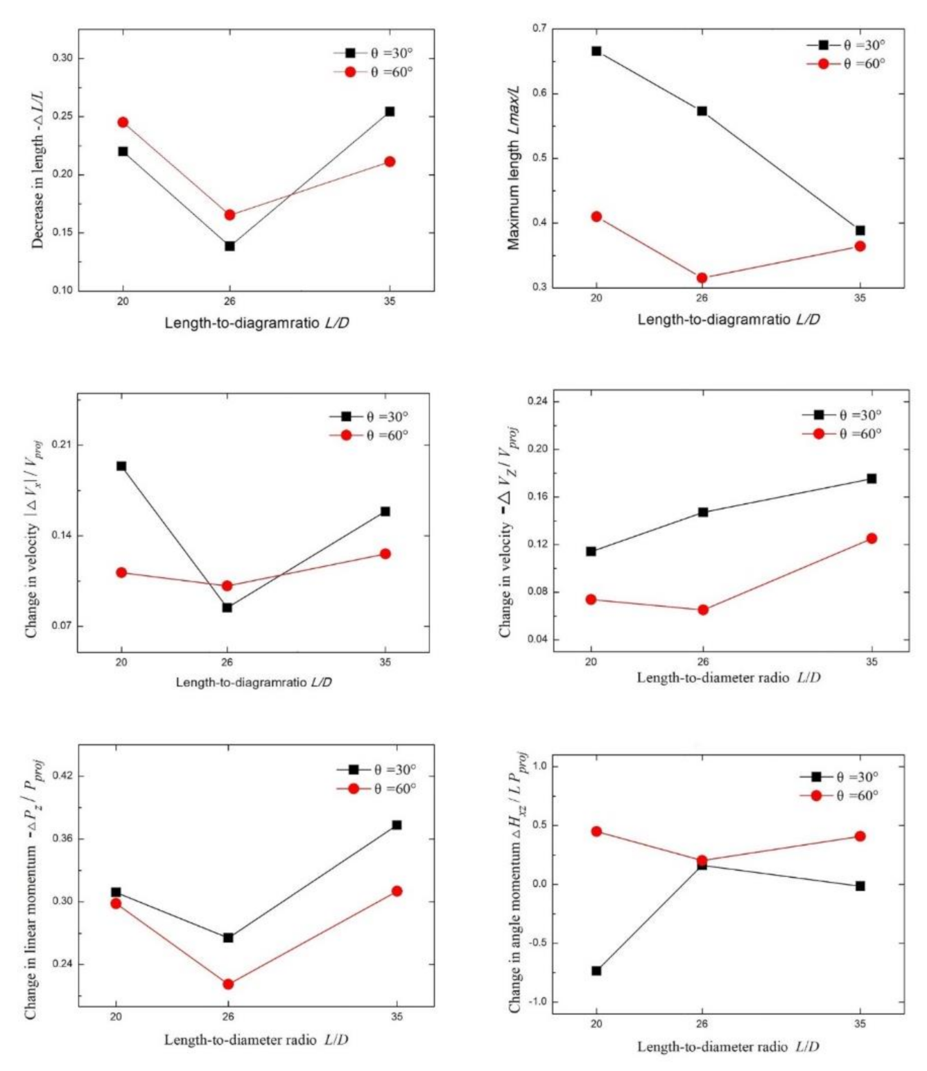
4.2. Effect of the Length-Diameter Ratio of the Long Rod
4.3. The Velocity Effect of the Long Rod
4.4. Effect of LSC Spacing
5. Conclusions
- LEFP with a stable flight velocity of 850 m/s was formed after the LSC explosion. The LEFPs sequence could cut the high-speed long rod (speed about 1200~1600 m/s) in several segments (number about 2~4) and yaw the fractured rods.
- In this paper, the deformation and fracture failure of a high-speed long rod was quantified: The length loss rate of the fractured rods is as high as 27%, and the length of the longest fractured rod could be as low as 23% of the original length. The fractured rods rotated around the center of mass and the vertical speed change could reach up to 18% of the muzzle velocity of the long rod, and the greatest reduction of the horizontal speed and momentum could reach 37%.
- The increase in the interception angle and the reduction in the distance between the LEFPs sequence can increase the interaction time. The longer the interaction time, the more beneficial the failure of the long rod.
Author Contributions
Funding
Conflicts of Interest
References
- Liden, E.; Johansson, B. Effect of thin oblique moving plates on long rod projectiles: A reverse impact study. Int. J. Impact. Eng. 2006, 32, 1696–1720. [Google Scholar] [CrossRef]
- Liden, E.; Andersson, O. Deformation and fracture of a long-rod projectile induced by an oblique moving plate: Experimental tests. Int. J. Impact. Eng. 2011, 38, 989–1000. [Google Scholar] [CrossRef]
- Liden, E.; Helte, A. Fracture of long rod projectiles subjected to oblique moving plates. In Proceedings of 26th Int Symp on Ballistics; Destech: Miami, FL, USA, 2011; pp. 1736–1747. [Google Scholar]
- Liden, E.; Mousavi, S. Deformation and fracture of a long-rod projectile induced by an oblique moving plate: Numerical simulations. Int. J. Impact. Eng. 2012, 40, 35–45. [Google Scholar] [CrossRef]
- Liden, E.; Helte, A. The break-up tendency of long rod projectiles. Def. Technol. 2016, 12, 177–187. [Google Scholar] [CrossRef]
- Shin, H.; Yoo, Y. Effect of the velocity of a single flying plate on the protection capability against obliquely impacting long-rod penetrators. Combust. Explo. Shock. 2003, 39, 591–600. [Google Scholar] [CrossRef]
- Liden, E.; Andersson, O. Influence of side-impacting dynamic armour components on long rod projectiles. In Proceedings of the 23th Int Symp on Ballistics, Tarragona, Spain, 16–20 April 2007; pp. 1099–1106. [Google Scholar]
- Yoo, Y.; Paik, S.H. Effects of impact location and angle of a flying cross bar on the protection of a long rod penetrator. Trans. Can. Soc. Mech. Eng. 2013, 37, 1115–1125. [Google Scholar] [CrossRef]
- Yoo, Y.; Paik, S.H. Performance of a flying cross bar to incapacitate a long-rod penetrator based on a finite element model. Eng. Comput. Ger. 2013, 29, 409–415. [Google Scholar] [CrossRef]
- Joo, J.; Choi, J. Numerical analysis of penetration reduction of a long rod penetrator impacted by a linear explosively formed penetrator. In Proceedings of 30th Int Symp on Ballistics; Destech: Long Beach, CA, USA, 2017; pp. 1886–1896. [Google Scholar]
- Lim, S. Steady state equation of motion of a linear shaped charges liner. Int. J. Impact. Eng. 2012, 10, 10–16. [Google Scholar] [CrossRef]
- Lim, S. Steady State Analytical equation of motion of linear shaped charges jet based on the modification of birkhoff theory. Appl. Sci. 2012, 2, 35–45. [Google Scholar] [CrossRef]
- Lim, S. Jet Velocity profile of linear shaped charges based on an arced liner collapse. J. Energy Mater. 2013, 31, 239–250. [Google Scholar] [CrossRef]
- Lim, S. Jet flight patterns of linear shaped charges. J. Energy Mater. 2016, 34, 14–25. [Google Scholar] [CrossRef]
- Lim, S. Liner collapse line of linear shaped charges. J. Energy Mater. 2017, 35, 125–135. [Google Scholar] [CrossRef]
- Johnston, M.; Lim, S. Numerical observation of the jet flight patterns of linear shaped charges. Appl. Sci. 2012, 2, 629–640. [Google Scholar] [CrossRef]
- Cheng, X.; Huang, G. Design of a novel linear shaped charge and factors influencing its penetration performance. Appl. Sci. 2018, 8, 1863. [Google Scholar] [CrossRef]
- Gang, Y.; Xu, H. Computer simulation of two-dimensional linear-shaped charge jet using smoothed particle hydrodynamics. Eng. Comput. 2011, 28, 58–75. [Google Scholar] [CrossRef]
- Bohanek, V.; Dobrilovic, M.; Škrlec, V. The efficiency of linear shaped charges. Teh. Vjesn. 2014, 21, 525–531. [Google Scholar]
- Dong, S.K.; Cui, A.Y. A simulation study on the effect of cavity shapes on the penetration of linear shaped charges with curved liners. Strength Mater. 2018, 50, 229–234. [Google Scholar] [CrossRef]
- Gou, R.J.; Zhang, S.H. Numerical simulation of linear explosive formed penetrator by endpoint initiating manner. Adv. Mater. Res. 2012, 534–537. [Google Scholar] [CrossRef]
- Gou, R.J.; Zhang, S.H. Formation mechanism of linear explosive formed penetrator by midpoint initiating manner. Adv. Mater. Res. 2011, 295–297, 1643–1646. [Google Scholar] [CrossRef]
- Singh, S.D.; Craciun, E.-M. Effect of thermomechanical loading on an edge crack of finite length in an infinite orthotropic strip. Mech. Compos. Mater. 2019, 55, 295–296. [Google Scholar] [CrossRef]
- Shin, C.S.; Cai, C.Q. Experimental and finite element analyses on stress intensity factors of an elliptical surface crack in a circular shaft under tension and bending. Int. J. Fract. 2004, 129, 239–264. [Google Scholar] [CrossRef]
- Jesús, T.; Leticia, A.; Miguel, L.; Viktor, K. Hydrogen assisted cracking in pearlitic steel rods: the role of residual stresses generated by fatigue precracking. Materials 2017, 10, 485. [Google Scholar] [CrossRef] [PubMed]
- McMeeking, R.M. Finite deformation analysis of crack tip opening in elastic–plastic materials and implications for fracture. J. Mech. Phys. Solids 1977, 25, 357–381. [Google Scholar] [CrossRef]

















| RLiner | δLiner | WLiner | Rsh | δsh | hex | LCharge |
|---|---|---|---|---|---|---|
| 20 mm | 3 mm | 34 mm | 43 mm | 3 mm | 12.5 mm | 100 mm |
| Case | L/D | h | Vproj | θ | s | n |
|---|---|---|---|---|---|---|
| 1 | 20 | 150 | 1189 | 60° | 0 | 3 |
| 2 | 20 | 175 | 1205 | 30° | 0 | 2 |
| 3 | 26 | 188 | 1212 | 60° | 0 | 3 |
| 4 | 26 | 165 | 1206 | 30° | 0 | 2 |
| 5 | 35 | 169 | 1194 | 60° | 0 | 4 |
| 6 | 35 | 174 | 1202 | 30° | 0 | 2 |
| 7 | 35 | 176 | 1411 | 60° | 0 | 4 |
| 8 | 35 | 149 | 1408 | 30° | 0 | 2 |
| 9 | 35 | 179 | 1406 | 60° | 10 | 4 |
| 10 | 35 | 166 | 1412 | 30° | 10 | 2 |
| 11 | 35 | 187 | 1406 | 60° | 20 | 4 |
| 12 | 35 | 160 | 1387 | 30° | 20 | 2 |
| 13 | 35 | 210 | 1397 | 60° | 30 | 3 |
| 14 | 35 | 170 | 1404 | 30° | 30 | 2 |
| 15 | 35 | 185 | 1410 | 60° | 40 | 3 |
| 16 | 35 | 150 | 1407 | 30° | 40 | 1 |
| 17 | 35 | 194 | 1587 | 60° | 0 | 4 |
| 18 | 35 | 145 | 1610 | 30° | 0 | 2 |
| Case | −ΔL/L | Lmax/L | ΔVx/Vproj | ΔVz/Vproj | ΔPz/Pproj | ΔHxz/(LPproj) |
|---|---|---|---|---|---|---|
| 1 | 0.245 | 0.41 | 0.11 | −0.07 | −0.30 | 0.45 |
| 2 | 0.22 | 0.67 | 0.19 | −0.11 | −0.31 | −0.74 |
| 3 | 0.17 | 0.32 | 0.10 | −0.07 | −0.22 | 0.20 |
| 4 | 0.13 | 0.57 | 0.08 | −0.15 | −0.27 | 0.16 |
| 5 | 0.21 | 0.36 | 0.13 | −0.13 | −0.31 | 0.41 |
| 6 | 0.25 | 0.39 | 0.16 | −0.18 | −0.37 | −0.02 |
| 7 | 0.20 | 0.26 | 0.156 | −0.10 | −0.29 | 0.57 |
| 8 | 0.27 | 0.42 | 0.10 | −0.04 | −0.27 | 0.98 |
| 9 | 0.27 | 0.23 | 0.15 | −0.09 | −0.33 | −0.10 |
| 10 | 0.13 | 0.46 | 0.06 | −0.05 | −0.17 | 0.51 |
| 11 | 0.22 | 0.30 | 0.13 | −0.10 | −0.29 | 0.62 |
| 12 | 0.11 | 0.70 | 0.06 | −0.06 | −0.16 | 0.70 |
| 13 | 0.23 | 0.35 | 0.12 | −0.04 | −0.26 | −0.29 |
| 14 | 0.13 | 0.69 | 0.05 | −0.03 | −0.15 | 0.97 |
| 15 | 0.15 | 0.40 | 0.13 | −0.03 | −0.17 | 0.45 |
| 16 | 0.13 | 0.87 | 0.03 | −0.02 | −0.15 | 0.02 |
| 17 | 0.21 | 0.24 | 0.14 | −0.03 | −0.24 | 0.19 |
| 18 | 0.24 | 0.48 | 0.25 | −0.06 | −0.28 | 0.89 |
Publisher’s Note: MDPI stays neutral with regard to jurisdictional claims in published maps and institutional affiliations. |
© 2020 by the authors. Licensee MDPI, Basel, Switzerland. This article is an open access article distributed under the terms and conditions of the Creative Commons Attribution (CC BY) license (http://creativecommons.org/licenses/by/4.0/).
Share and Cite
Li, Y.; Huang, Z.; Shi, A.; Xu, X.; Shen, S.; Liu, H. Deformation and Fracture Failure of a High-Speed Long Rod Intercepted by Linear Explosively Formed Penetrators Sequence. Materials 2020, 13, 5086. https://doi.org/10.3390/ma13225086
Li Y, Huang Z, Shi A, Xu X, Shen S, Liu H. Deformation and Fracture Failure of a High-Speed Long Rod Intercepted by Linear Explosively Formed Penetrators Sequence. Materials. 2020; 13(22):5086. https://doi.org/10.3390/ma13225086
Chicago/Turabian StyleLi, Yishu, Zhonghua Huang, Anshun Shi, Xiangqun Xu, Sanmin Shen, and Han Liu. 2020. "Deformation and Fracture Failure of a High-Speed Long Rod Intercepted by Linear Explosively Formed Penetrators Sequence" Materials 13, no. 22: 5086. https://doi.org/10.3390/ma13225086
APA StyleLi, Y., Huang, Z., Shi, A., Xu, X., Shen, S., & Liu, H. (2020). Deformation and Fracture Failure of a High-Speed Long Rod Intercepted by Linear Explosively Formed Penetrators Sequence. Materials, 13(22), 5086. https://doi.org/10.3390/ma13225086

