Comparative Study of the Tempering Behavior of Different Martensitic Steels by Means of In-Situ Diffractometry and Dilatometry
Abstract
1. Introduction
- (0)
- Redistribution of carbon atoms (<100 °C)
- (1)
- Formation of transition carbides (100–200 °C)
- (2)
- Loss of tetragonality (100–200 °C)
- (3)
- Decomposition of retained austenite (170–300 °C)
- (4)
- Formation of cementite (250–350 °C)
- (5)
- Recovery
- (6)
- Formation of secondary precipitates if possible.
2. Materials and Methods
2.1. Materials
2.2. Heat Treatment
2.3. Experimental Methods
2.3.1. Dilatometry
2.3.2. In-Situ X-Ray Diffraction
3. Results and Interpretation
3.1. Comparison of Dilatometer Results
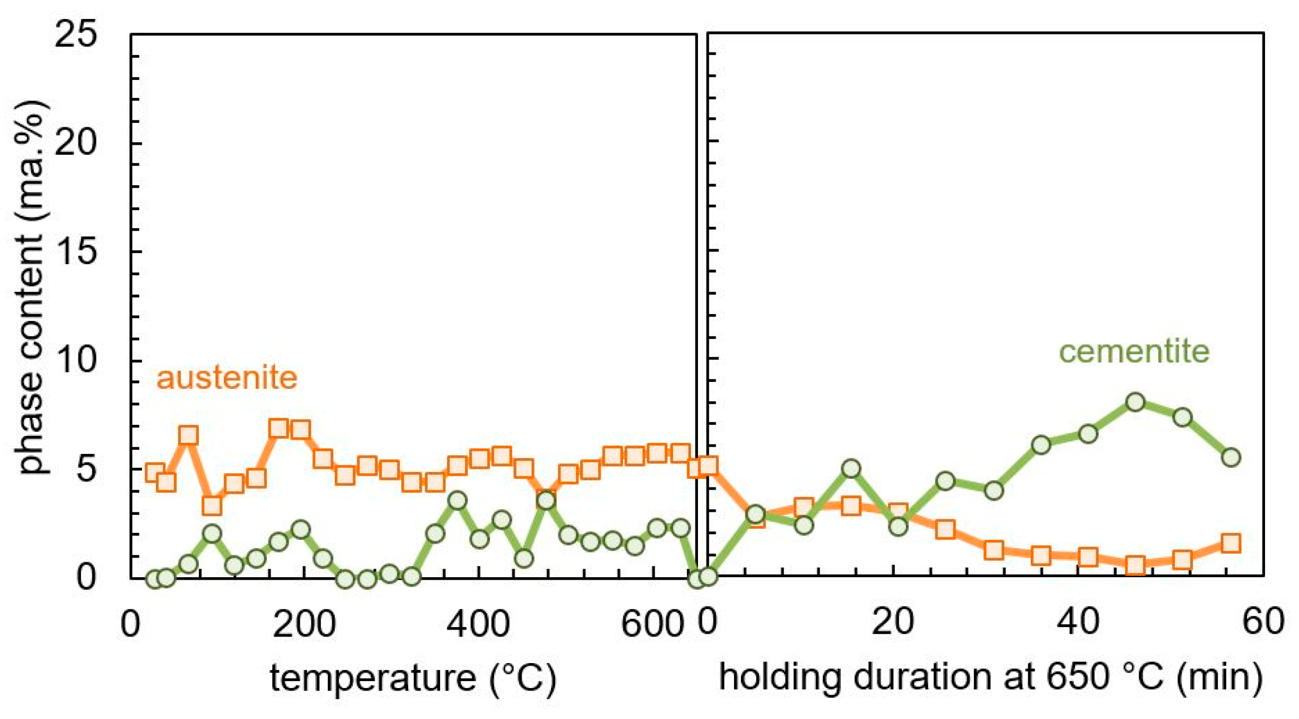
3.2. Dilatometry and Phase Content of SAE 4140
3.3. Dilatometry and Phase Content of SAE 52100
3.4. Dilatometry and Phase Content of SAE H13
3.5. Lattice Parameters and Tetragonality of Martensite
4. Discussion
4.1. Phase Transformations and Precipitation
4.2. Lattice Parameter and Tetragonality
4.3. Dilatometry
- ⮚
- A pronounced loss of tetragonality with negative peak occurs at 150 °C for SAE 52100 (tempering stage (2)). Tempering stage (2) does not appear for SAE 4140 and SAE H13.
- ⮚
- Retained austenite transforms with a positive peak at 170 °C for SAE 52100 and 180 °C for SAE 4140 (tempering stage (3)). The peak is more pronounced for SAE 52100 due to the higher retained austenite content. For SAE H13, retained austenite transforms during holding at 650 °C.
- ⮚
- Formation of cementite and loss of tetragonality with a broad negative peak occurs between 200 and 430 °C for SAE 52100 and SAE 4140 and between 490 and 550 °C for SAE H13 (tempering stage (4)).
- ⮚
- Formation of transition carbides leads to a negative peak between 50 and 200 °C for SAE 52100 and SAE 4140 (tempering stage (1)). The transition carbide peak for SAE H13 is between 50 and 300 °C.
4.4. Influence of Chemical Composition on Tempering Behavior
5. Conclusions
Supplementary Materials
Author Contributions
Funding
Conflicts of Interest
References
- Hoffmann, B.; Vöhringer, O.; Macherauch, E. Effect of tempering on the microstructure and strength of martensitically hardened plain carbon steels. Mater. Sci. Eng. A 1997, 234–236, 707–710. [Google Scholar] [CrossRef]
- Cheng, L.; Brakman, C.M.; Korevaar, B.M.; Mittemeijer, E.J. The tempering of iron- carbon martensite; dilatometric and calorimetric analysis. Metall. Trans. A 1988, 19, 2415–2426. [Google Scholar] [CrossRef]
- Speich, G.R.; Leslie, W.C. Tempering of steel. Metall. Trans. A 1972, 3, 1043–1054. [Google Scholar] [CrossRef]
- Leiva, J.A.V.; Morales, E.V.; Villar-Cociña, E.; Donis, C.A.; Bott, I.D.S. Kinetic parameters during the tempering of low-alloy steel through the non-isothermal dilatometry. J. Mater. Sci. 2010, 45, 418–428. [Google Scholar] [CrossRef]
- Barrow, A.T.W.; Kang, J.-H.; Rivera-Díaz-del-Castillo, P.E.J. The ϵ→η→θ transition in 100Cr6 and its effect on mechanical properties. Acta Mater. 2012, 60, 2805–2815. [Google Scholar] [CrossRef]
- Bala, P.; Pacyna, J.; Krawczyk, J. The influence of the kinetics of phase transformations during tempering on the structure development in a high carbon steel. Arch. Metall. Mater. 2007, 52, 113–120. [Google Scholar]
- Perez, M.; Sidoroff, C.; Vincent, A.; Esnouf, C. Microstructural evolution of martensitic 100Cr6 bearing steel during tempering: From thermoelectric power measurements to the prediction of dimensional changes. Acta Mater. 2009, 57, 3170–3181. [Google Scholar] [CrossRef]
- Primig, S.; Leitner, H. Separation of overlapping retained austenite decomposition and cementite precipitation reactions during tempering of martensitic steel by means of thermal analysis. Thermochim. Acta 2011, 526, 111–117. [Google Scholar] [CrossRef]
- Kaiser, D.; Graaff, B.D.; Dietrich, S.; Schulze, V. Investigation of the precipitation kinetics and microstructure evolution of martensitic AISI 4140 steel during tempering with high heating rates. Metall. Res. Technol. 2018, 115, 404. [Google Scholar] [CrossRef]
- Hunkel, M. Tempering effects of athermal martensite during quenching and reheating of a SAE 52100 bearing steel. Mater. Sci. Eng. A 2020, 790, 139601. [Google Scholar] [CrossRef]
- Villa, M.; Pantleon, K.; Somers, M.A.J. Evolution of compressive strains in retained austenite during sub-zero Celsius martensite formation and tempering. Acta Mater. 2014, 65, 383–392. [Google Scholar] [CrossRef]
- Ning, A.; Mao, W.; Chen, X.; Guo, H.; Guo, J. Precipitation Behavior of Carbides in H13 Hot Work Die Steel and its Strengthening during Tempering. Metals 2017, 7, 70. [Google Scholar] [CrossRef]
- Eser, A.; Broeckmann, C.; Simsir, C. Multiscale modeling of tempering of AISI H13 hot-work tool steel—Part 1: Prediction of microstructure evolution and coupling with mechanical properties. Comput. Mater. Sci. 2016, 113, 280–291. [Google Scholar] [CrossRef]
- Hunkel, M.; Surm, H.; Steinbacher, M. Dilatometry. Handbook of Thermal Analysis and Calorimetry; Elsevier: Amsterdam, The Netherlands, 2018; Volume 6, pp. 103–129. ISBN 9780444640628. [Google Scholar]
- Epp, J. Time Resolved Investigations of Phase Transformations and Stresses During Heat Treatment of Steel Samples by Means of Diffraction Experiments; Dissertation; Shaker: Aachen, Germany, 2016. [Google Scholar]
- Jimenez-Melero, E.; Blondé, R.; Sherif, M.Y.; Honkimäki, V.; van Dijk, N.H. Time-dependent synchrotron X-ray diffraction on the austenite decomposition kinetics in SAE 52100 bearing steel at elevated temperatures under tensile stress. Acta Mater. 2013, 61, 1154–1166. [Google Scholar] [CrossRef]
- Lejay, V.; Sidoroff, C.; Le Bourlot, C.; Perez, M.; Dierickx, P. Ageing of 100Cr6 steel: Synchrotron X-ray diffraction and dimensional analysis investigation. Mater. Sci. Technol. 2016, 32, 1106–1110. [Google Scholar] [CrossRef]
- Bénéteau, A.; Aeby-Gautier, E.; Geandier, G.; Weisbecker, P.; Redjaïmia, A.; Appolaire, B. Tempering of a martensitic stainless steel: Investigation by in situ synchrotron X-ray diffraction. Acta Mater. 2014, 81, 30–40. [Google Scholar] [CrossRef]
- Epp, J.; Surm, H.; Kessler, O.; Hirsch, T. In situ X-ray phase analysis and computer simulation of carbide dissolution of ball bearing steel at different austenitizing temperatures. Acta Mater. 2007, 55, 5959–5967. [Google Scholar] [CrossRef]
- Will, G. Powder Diffraction: The Rietveld Method and the Two Stage Method to Determine and Refine Crystal Structures from Powder Diffraction Data; Springer: Berlin/Heidelberg, Germany, 2006; ISBN 978-3-540-27985-3. [Google Scholar]
- Jung, M.; Lee, S.-J.; Lee, Y.-K. Microstructural and Dilatational Changes during Tempering and Tempering Kinetics in Martensitic Medium-Carbon Steel. Metall. Mater. Trans. A 2009, 40, 551–559. [Google Scholar] [CrossRef]
- Vieweg, A.; Povoden-Karadeniz, E.; Ressel, G.; Prevedel, P.; Wojcik, T.; Mendez-Martin, F.; Stark, A.; Keckes, J.; Kozeschnik, E. Phase evolution and carbon redistribution during continuous tempering of martensite studied with high resolution techniques. Mater. Des. 2017, 136, 214–222. [Google Scholar] [CrossRef]
- Caballero, F.G.; García-Mateo, C.; de Andrés, G.C. Dilatometric Study of Reaustenitisation of High Silicon Bainitic Steels: Decomposition of Retained Austenite. Mater. Trans. 2005, 46, 581–586. [Google Scholar] [CrossRef]
- Qiao, X.; Han, L.; Zhang, W.; Gu, J. Thermal Stability of Retained Austenite in High-carbon Steels during Cryogenic and Tempering Treatments. ISIJ Int. 2016, 56, 140–147. [Google Scholar] [CrossRef]
- Caballero, F.G.; Chao, J.; Cornide, J.; García-Mateo, C.; Santofimia, M.J.; Capdevila, C. Toughness deterioration in advanced high strength bainitic steels. Mater. Sci. Eng. A 2009, 525, 87–95. [Google Scholar] [CrossRef]
- Dong, J.; Skalecki, M.G.; Hatwig, R.A.; Bevilaqua, W.L.; Stark, A.; Epp, J.; Rocha, A.D.S.; Zoch, H.-W. Study of Microstructural Development of Bainitic Steel using Eddy Current and Synchrotron XRD in-situ Measurement Techniques during Thermomechanical Treatment. J. Heat Treat. Mater. 2020, 75, 3–22. [Google Scholar] [CrossRef]
- Cheng, L.; Böttger, A.; de Keijser, T.H.; Mittemeijer, E.J. Lattice parameters of iron-carbon and iron-nitrogen martensites and austenites. Scr. Metall. Mater. 1990, 24, 509–514. [Google Scholar] [CrossRef]
- Liu, X.; Zhong, F.; Zhang, J.; Zhang, M.; Kang, M.; Guo, Z. Lattice-parameter variation with carbon content of martensite. I. X-ray-diffraction experimental study. Phys. Rev. B Condens. Matter. 1995, 52, 9970–9978. [Google Scholar] [CrossRef]
- Maruyama, N.; Tabata, S.; Kawata, H. Excess Solute Carbon and Tetragonality in As-Quenched Fe-1Mn-C (C:0.07 to 0.8 Mass Pct) Martensite. Metall. Trans. A 2020, 51, 1085–1097. [Google Scholar] [CrossRef]
- Lu, Y.; Yu, H.; Sisson, R.D. The effect of carbon content on the c/a ratio of as-quenched martensite in Fe-C alloys. Mater. Sci. Eng. A 2017, 700, 592–597. [Google Scholar] [CrossRef]
- Roberts, C.S. Effect of Carbon on the Volume Fractions and Lattice Parameters of Retained Austenite and Martensite. Trans. Metall. Soc. AIME 1953, 5, 203–204. [Google Scholar] [CrossRef]














| Steel | C | Cr | Mo | Mn | Si | S | V | Ni | Cu | N |
|---|---|---|---|---|---|---|---|---|---|---|
| SAE 4140 | 0.45 | 0.99 | 0.16 | 0.71 | 0.21 | 0.02 | - | - | - | <0.005 |
| SAE 52100 | 0.97 | 1.50 | 0.10 | 0.43 | 0.21 | 0.004 | - | 0.24 | 0.1 | <0.005 |
| SAE H13 | 0.40 | 5.37 | 1.34 | 0.30 | 0.97 | - | 1.22 | - | - | <0.005 |
Publisher’s Note: MDPI stays neutral with regard to jurisdictional claims in published maps and institutional affiliations. |
© 2020 by the authors. Licensee MDPI, Basel, Switzerland. This article is an open access article distributed under the terms and conditions of the Creative Commons Attribution (CC BY) license (http://creativecommons.org/licenses/by/4.0/).
Share and Cite
Hunkel, M.; Dong, J.; Epp, J.; Kaiser, D.; Dietrich, S.; Schulze, V.; Rajaei, A.; Hallstedt, B.; Broeckmann, C. Comparative Study of the Tempering Behavior of Different Martensitic Steels by Means of In-Situ Diffractometry and Dilatometry. Materials 2020, 13, 5058. https://doi.org/10.3390/ma13225058
Hunkel M, Dong J, Epp J, Kaiser D, Dietrich S, Schulze V, Rajaei A, Hallstedt B, Broeckmann C. Comparative Study of the Tempering Behavior of Different Martensitic Steels by Means of In-Situ Diffractometry and Dilatometry. Materials. 2020; 13(22):5058. https://doi.org/10.3390/ma13225058
Chicago/Turabian StyleHunkel, Martin, Juan Dong, Jeremy Epp, Daniel Kaiser, Stefan Dietrich, Volker Schulze, Ali Rajaei, Bengt Hallstedt, and Christoph Broeckmann. 2020. "Comparative Study of the Tempering Behavior of Different Martensitic Steels by Means of In-Situ Diffractometry and Dilatometry" Materials 13, no. 22: 5058. https://doi.org/10.3390/ma13225058
APA StyleHunkel, M., Dong, J., Epp, J., Kaiser, D., Dietrich, S., Schulze, V., Rajaei, A., Hallstedt, B., & Broeckmann, C. (2020). Comparative Study of the Tempering Behavior of Different Martensitic Steels by Means of In-Situ Diffractometry and Dilatometry. Materials, 13(22), 5058. https://doi.org/10.3390/ma13225058

