Miscibility Studies of Hyaluronic Acid and Poly(Vinyl Alcohol) Blends in Various Solvents
Abstract
1. Introduction
2. Materials and Methods
2.1. Materials
2.2. Viscometric Studies
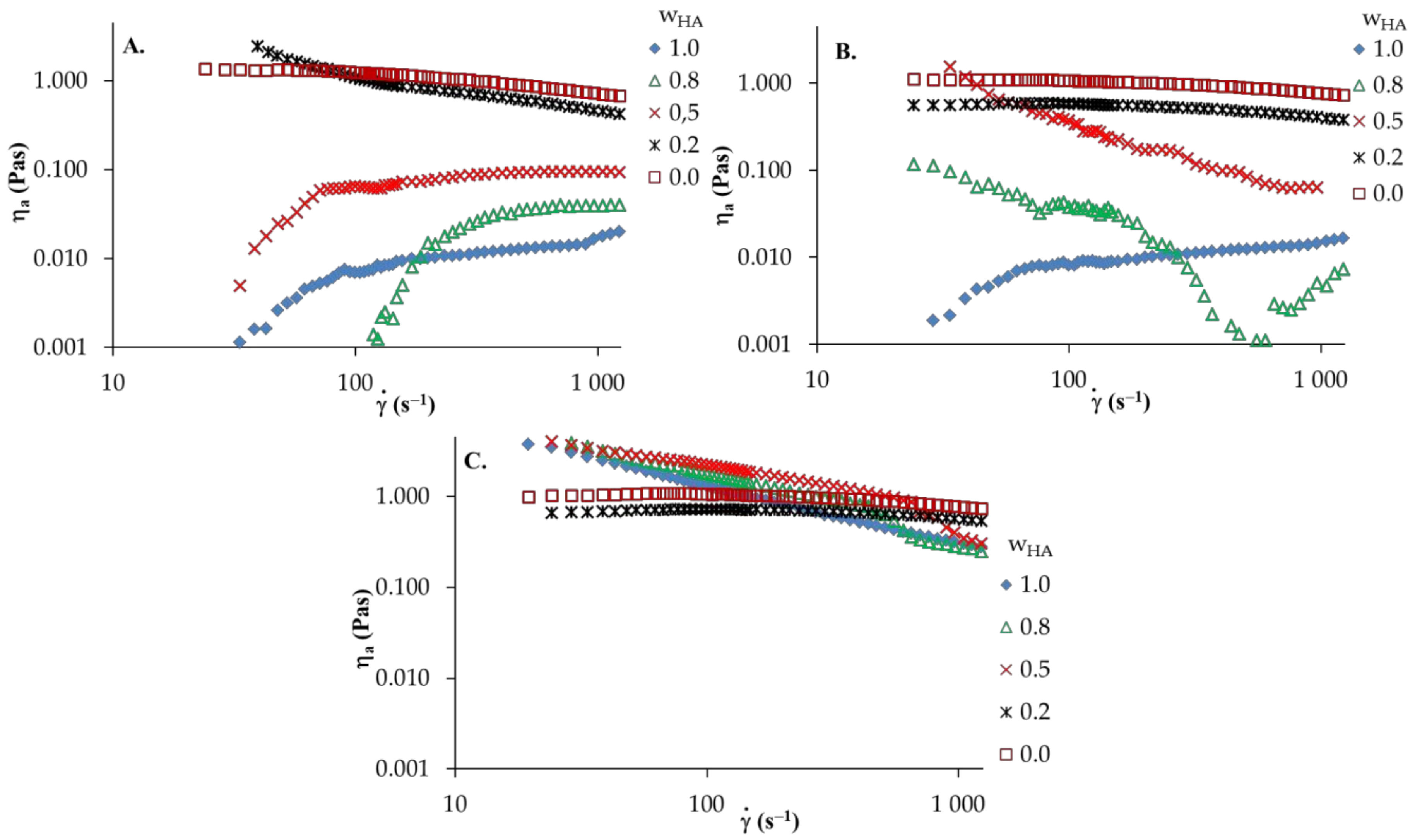
2.3. Steady Shear Measurements
2.4. FTIR Analysis
3. Results and Discussion
4. Conclusions
Funding
Conflicts of Interest
References
- Rinaudo, M. Review: Main properties and current applications of some polysaccharides as biomaterials. Polym. Int. 2008, 57, 397–430. [Google Scholar] [CrossRef]
- Schanté, C.E.; Zuber, G.; Herlin, C.; Vandamme, T.F. Review: Chemical modifictions of hyaluronic acid for the synthesis of derivatives for a broad range of biomedical applications. Carbohydr. Polym. 2011, 85, 469–489. [Google Scholar] [CrossRef]
- Collins, M.N.; Birkinshaw, C. Hyaluronic acid based scaffolds for tissue engineering—A review. Carbohydr. Polym. 2013, 92, 1262–1279. [Google Scholar] [CrossRef] [PubMed]
- Vasi, A.M.; Popa, M.I.; Butnaru, M.; Dodi, G.; Verestiuc, L. Chemical functionalization of hyaluronic acid for drug delivery applications. Mater. Sci. Eng. C 2014, 38, 177–185. [Google Scholar] [CrossRef] [PubMed]
- Hemshekhar, M.; Thushara, R.M.; Chandranayaka, S.; Sherman, L.S.; Kemparaju, K.; Girish, K.S. Emerging roles of hyaluronic acid bioscaffolds in tissue engineering and regenerative medicine. Int. J. Biol. Macromol. 2016, 86, 917–928. [Google Scholar] [CrossRef] [PubMed]
- Dutta, R.C.; Dey, M.; Dutta, A.K.; Basu, B. Competent processing techniques for scaffolds in tissue engineering. Biotechnol. Adv. 2017, 35, 240–250. [Google Scholar] [CrossRef] [PubMed]
- Naahidi, S.; Jafari, M.; Logan, M.; Wang, Y.; Yuan, Y.; Bae, H.; Dixon, B.; Chen, P. Biocompatibility of hydrogel-based scaffolds for tissue engineering applications. Biotechnol. Adv. 2017, 35, 530–544. [Google Scholar] [CrossRef]
- von Lospichl, B.; Hemmati-Sadeghi, S.; Dey, P.; Dehne, T.; Haag, R.; Sittinger, M.; Ringe, J.; Gradzielski, M. Injectable hydrogels for treatment of osteoarthritis—A rheological study. Colloid. Surf. B Biointerfaces 2017, 159, 477–483. [Google Scholar] [CrossRef]
- Rebelo, R.; Fernandes, M.; Fangueiro, R. Biopolymers in Medical Implants: A Brief Review. Procedia Eng. 2017, 200, 236–243. [Google Scholar] [CrossRef]
- Hussain, A.; Zia, K.; Tabasum, S.; Noreen, A.; Ali, M.; Iqbal, R.; Zuber, M. Blends and composites of exopolysaccharides; properties and applications: A review. Int. J. Biol. Macromol. 2017, 94, 10–27. [Google Scholar] [CrossRef]
- Sionkowska, A.; Kaczmarek, B.; Michalska, M.; Lewandowska, K.; Grabska, S. Preparation and characterization of collagen/chitosan/hyaluronic acid thin films for application in hair care cosmetics. Pure Appl. Chem. 2017, 89, 1829–1839. [Google Scholar] [CrossRef]
- Chanda, A.; Adhikari, J.; Ghosh, A.; Chowdhury, S.R.; Thomas, S.; Datta, P.; Saha, P. Electrospun chitosan/polycaprolactone-hyaluronic acid bilayered scaffold for potential wound healing applications. Int. J. Biol. Macromol. 2018, 116, 774–785. [Google Scholar] [CrossRef] [PubMed]
- Fallacara, A.; Marchetti, F.; Pozzoli, M.; Citernesi, U.R.; Manfredini, S.; Vertuani, S. Formulation and characterization of native and crosslinked hyaluronic acid microspheres for dermal delivery of sodium ascorbyl phosphate: A comparative study. Pharmaceutics 2018, 10, 254. [Google Scholar] [CrossRef] [PubMed]
- Yu, L.; Dean, K.; Li, L. Polymer blends and composites from renewable resources. Prog. Polym. Sci. 2006, 31, 576–602. [Google Scholar] [CrossRef]
- Sionkowska, A. Current research on the blends of natural and synthetic polymers as new biomaterials: Review. Prog. Polym. Sci. 2011, 36, 1254–1276. [Google Scholar] [CrossRef]
- Chiellini, E.; Corti, A.; D’Antone, S.; Solaro, R. Biodegradation of poly(vinyl alcohol) based materials. Prog. Polym. Sci. 2003, 28, 963–1014. [Google Scholar] [CrossRef]
- Baker, M.I.; Walsh, S.P.; Schwartz, Z.; Boyan, B.D. A review of polyvinyl alcohol and its uses in cartilage and orthopedic applications. J. Biomed. Mater. Res. Part. B Appl. Biomater. 2012, 100B, 1451–1457. [Google Scholar] [CrossRef]
- Rafique, A.; Zia, K.M.; Zuber, M.; Tabasum, S.; Rehman, S. Chitosan functionalized poly(vinyl alcohol) for prospects biomedical and industrial applications: A review. Int. J. Biol. Macromol. 2016, 87, 141–154. [Google Scholar] [CrossRef]
- Brunchi, C.R.; Bercea, M.; Morariu, S.; Avadanei, M. Investigations on the interactions between xanthan gum and poly(vinyl alcohol) in solid state and aqueous solutions. Eur. Polym. J. 2016, 84, 161–172. [Google Scholar] [CrossRef]
- Teodorescu, M.; Bercea, M.; Morariu, S. Biomaterials of PVA and PVP in medical and pharmaceutical applications: Perspective and challenges. Biotechnol. Adv. 2019, 37, 109–131. [Google Scholar] [CrossRef]
- Pan, N.C.; Bersaneti, G.T.; Mali, S.; Colabone Celligoi, M.A.P. Films based on blends of polyvinyl alcohol and microbial hyaluronic acid. Braz. Arch. Biol. Technol. 2020, 63, 1–14. [Google Scholar] [CrossRef]
- Pirinen, S.; Karvinen, J.; Tiitu, V.; Suvanto, M.; Pakkanen, T.T. Control of swelling properties of polyvinyl alcohol/hyaluronic acid hydrogel for the encapsulation of chondrocyte cells. J. Appl. Polym. Sci. 2015, 132, 1–6. [Google Scholar] [CrossRef]
- Kodavaty, J.; Desphpande, A.P. Self-assembly and drying assisted microstructural domain formation in poly(vinyl alcohol) and hyaluronic acid gels. Polym. Bull. 2017, 74, 3605–3617. [Google Scholar] [CrossRef]
- Ramya, K.A.; Srinivasan, R.; Deshpande, A.P. Nonlinear measures and modelling to examine the role of physical and chemical crosslinking in poly(vinyl alcohol)-based crosslinked systems. Rheol. Acta 2018, 57, 181–195. [Google Scholar] [CrossRef]
- Fahmy, A.; Kamoun, E.A.; El-Eisawy, R.; El-Fakharany, E.M.; Taha, T.H.; El-Damhougy, B.K. Poly(vinyl)-hyaluronic acid membrances for wound dressing applications: Synthesis and in-vitro bio-evalutions. J. Braz. Chem. Soc. 2015, 26, 1466–1474. [Google Scholar]
- Yilmaz, C.N.C.; Pamfil, D.; Vasile, C.; Bibire, N.; Lupusoru, R.V.; Zamfir, C.L. Toxicity, biocompatibility, pH responsiveness and methotrexate release for pva/hyaluronic crygels for psoriasis therapy. Polymers 2017, 9, 1–19. [Google Scholar]
- Kuchaiyaphum, P.; Rifai, G.; Yuuki, W.; Yamauchi, T. Hyaluronic acid-poly(vinyl alcohol) composite cryogel for biofunctional material application. Polym. Adv. Technol. 2019, 30, 94–100. [Google Scholar] [CrossRef]
- Kim, S.H.; Hyun, K.; Moon, T.S.; Mitsumata, T.; Hong, J.S.; Ahn, K.H. Morphology-rheology relationship in hyaluronate/poly(vinyl alcohol)/borax polymer blends. Polymer 2005, 46, 7156–7163. [Google Scholar] [CrossRef]
- Sionkowska, A.; Lewandowska, K.; Płanecka, A. Miscibility and physical properties of chitosan and silk fibroin mixtures. J. Mol. Liq. 2014, 198, 354–357. [Google Scholar] [CrossRef]
- Huggins, M.H. The viscosity of dilute solutions of long-chain molecules. IV Dependence on concentration. J. Am. Chem. Soc. 1942, 64, 2716–2718. [Google Scholar] [CrossRef]
- Bohdanecký, M.; Kovář, I. Viscosity of Polymer Solution; Jenkins, A.D., Ed.; Elsevier Science: Amsterdam, The Netherlands, 1982; Volume 2, pp. 167–186. [Google Scholar]
- Lewandowska, K. The miscibility of poly(vinyl alcohol)/poly(N-vinylpyrrolidone) blends investigated in dilute solutions and solids. Eur. Polym. J. 2005, 41, 55–64. [Google Scholar] [CrossRef]
- Garcia, R.; Melad, O.; Gómez, C.M.; Figueruelo, J.E.; Campos, A. Viscometric study on the compatibility of polymer-polymer mixtures in solution. Eur. Polym. J. 1999, 35, 47–55. [Google Scholar] [CrossRef]
- Tian, Z.; Duan, L.; Wu, L.; Shen, L.; Li, G. Rheological properties of glutaraldehyde-crosslinked collagen solutions analysed quantitatively using mechanical models. Mater. Sci. Eng. C 2016, 63, 10–17. [Google Scholar] [CrossRef] [PubMed]
- Wang, B.; Qiao, C.; Gao, X.; Yang, X.; Li, Y.; Li, T. Rheological properties of N-[(2-hydroxyl)-propyl-3-trimethyl ammonium] chitosan chloride. Carbohydr. Polym. 2017, 171, 50–58. [Google Scholar] [CrossRef]
- Pingping, Z.; Haiyang, Y.; Shiqiang, W. Viscosity behaviour of poly-ε-caprolactone (PCL)/poly(vinyl chloride) (PVC) blends in various solvents. Eur. Polym. J. 1998, 34, 91–94. [Google Scholar] [CrossRef]
- Garcia-Abuin, A.; Gomez-Diaz, D.; Navaza, J.M.; Regueiro, L.; Vidal-Tato, I. Viscosimetric behaviour of hyaluronic acid in different aqueous solutions. Carbohydr. Polym. 2011, 85, 500–505. [Google Scholar] [CrossRef]
- Martin, A.A.; Sassaki, G.L.; Sierakowska, M.R. Effect of adding galactomannans om some physical and chemical properties of hyaluronic acid. Int. J. Biol. Macromol. 2020, 144, 527–535. [Google Scholar] [CrossRef]
- Mucha, M. Rheological properties of chitosan blends with poly(ethylene oxide) and poly(vinyl alcohol) in solution. React. Funct. Polym. 1998, 38, 19–25. [Google Scholar] [CrossRef]
- Lewandowska, K.; Dąbrowska, A.; Kaczmarek, H. Rheological properties of pectin, poly(vinyl alcohol) and their blends in aqueous solutions. e-Polymers 2012, 12, 1–13. [Google Scholar] [CrossRef]
- Viswanath, D.S.; Gosh, T.K.; Prasad, D.H.L.; Dutt, N.V.K.; Rani, K.Y. Chapter 5: Viscosities of solution and mixtures. In Viscosity of Liquids: Theory, Estimation, Experiment and Data; Springer: Dordrecht, The Netherlands, 2007; pp. 427–428. [Google Scholar]
- Haxaire, K.; Maréchal, Y.; Milas, M.; Rinaudo, M. Hydration of polysaccharide hyaluronan observed by IR spectrometry. I. Preliminary experiments and band assignments. Biopolymers 2003, 72, 10–20. [Google Scholar] [CrossRef]
- Lee, E.J.; Kang, E.S.; Kang, W.; Huh, K.M. Thermo-irreversible glycol chitosan/hyaluronic acid blend hydrogel for injectable tissue engineering. Carbohydr. Polym. 2020, 244, 116432. [Google Scholar] [CrossRef] [PubMed]
- Cai, Z.; Zhang, F.; Wei, Y.; Zhang, H. Freeze-thaw-induced gelation of hyaluronan: Physical cryostructuration correlated with intermolecular associations and molecular conformation. Macromolecules 2017, 50, 6647–6658. [Google Scholar] [CrossRef]
- Lopes, T.D.; Riegel-Vidotti, I.C.; Grein, A.; Tischer, C.A.; de Sousa Faria-Tischer, P.C. Bacterial cellulose and hyaluronic acid hybrid membranes: Production and characterization. Int. J. Biol. Macromol. 2014, 67, 401–408. [Google Scholar] [CrossRef] [PubMed]






(dL/g)2 | (dL/g)2 | Remarks | ||
|---|---|---|---|---|
| Solvent: Distilled Water | ||||
| 0.2 | 0.228 ± 0.021 | 0.292 ± 0.021 | −0.0640 | immiscible |
| 0.5 | 0.133 ± 0.021 | 0.125 ± 0.021 | 0.0080 | miscible |
| 0.8 | 0.0502 ± 0.021 | 0.0492 ± 0.021 | 0.0010 | miscible |
| Solvent: 0.1 NaCl mol⋅dm−3 | ||||
| 0.2 | 0.345 ± 0.021 | 0.226 ± 0.021 | 0.119 | miscible |
| 0.5 | 0.175 ± 0.021 | 0.0989 ± 0.021 | 0.0711 | miscible |
| 0.8 | 0.143 ± 0.021 | 0.0428 ± 0.021 | 0.100 | miscible |
| Solvent: 0.1 HCl mol⋅dm−3 | ||||
| 0.2 | 0.367 ± 0.021 | 0.291 ± 0.021 | 0.0760 | miscible |
| 0.5 | 0.143 ± 0.021 | 0.129 ± 0.021 | 0.0140 | miscible |
| 0.8 | 0.0810 ± 0.021 | 0.0587 ± 0.021 | 0.0223 | miscible |
| T (°C) | n | k(Pas)n | R2 | |
| Distilled Water | ||||
| 0.0 | 25 | 0.79 | 3.29 | 0.997 |
| - | 40 | 0.82 | 3.15 | 0.999 |
| 0.2 | 25 | 0.60 | 7.06 | 0.987 |
| - | 40 | 0.59 | 5.45 | 0.976 |
| 0.5 | 25 | 1.19 | 2.66 × 10−2 | 0.997 |
| - | 40 | 1.63 | 7.82 × 10−4 | 0.954 |
| 0.8 | 25 | 1.64 | 5.66 × 10−4 | 0.963 |
| - | 40 | 2.09 | 1.38 × 10−5 | 0.965 |
| 1.0 | 25 | 1.43 | 9.29 × 10−4 | 0.990 |
| - | 40 | 1.70 | 1.19 × 10−4 | 0.994 |
| 0.1 mol dm−3 NaCl | ||||
| 0.0 | 25 | 0.90 | 1.64 | 0.997 |
| - | 40 | 1.01 | 0.448 | 0.995 |
| 0.2 | 25 | 0.89 | 0.909 | 0.997 |
| - | 40 | 0.97 | 0.164 | 0.995 |
| 0.5 | 25 | 0.23 | 9.85 × 10−2 | 0.816 |
| - | 40 | 0.30 | 3.98 × 10−3 | 0.935 |
| 0.8 | 25 | 0.29 | 1.62 | 0.991 |
| - | 40 | 0.18 | 2.13 | 0.765 |
| 1.0 | 25 | 1.27 | 2.37 × 10−3 | 0.998 |
| - | 40 | 1.51 | 3.55 × 10−4 | 0.999 |
| 0.1 mol dm−3 HCl | ||||
| 0.0 | 25 | 0.91 | 1.53 | 0.997 |
| - | 40 | 1.02 | 0.493 | 0.997 |
| 0.2 | 25 | 0.96 | 0.848 | 0.995 |
| - | 40 | 1.02 | 0.237 | 0.998 |
| 0.5 | 25 | 0.56 | 16.7 | 0.997 |
| - | 40 | 0.47 | 14.7 | 0.999 |
| 0.8 | 25 | 0.40 | 29.2 | 0.994 |
| - | 40 | 0.39 | 16.2 | 0.999 |
| 1.0 | 25 | 0.35 | 25.4 | 0.995 |
| - | 40 | 0.40 | 15.5 | 0.999 |
Publisher’s Note: MDPI stays neutral with regard to jurisdictional claims in published maps and institutional affiliations. |
© 2020 by the author. Licensee MDPI, Basel, Switzerland. This article is an open access article distributed under the terms and conditions of the Creative Commons Attribution (CC BY) license (http://creativecommons.org/licenses/by/4.0/).
Share and Cite
Lewandowska, K. Miscibility Studies of Hyaluronic Acid and Poly(Vinyl Alcohol) Blends in Various Solvents. Materials 2020, 13, 4750. https://doi.org/10.3390/ma13214750
Lewandowska K. Miscibility Studies of Hyaluronic Acid and Poly(Vinyl Alcohol) Blends in Various Solvents. Materials. 2020; 13(21):4750. https://doi.org/10.3390/ma13214750
Chicago/Turabian StyleLewandowska, Katarzyna. 2020. "Miscibility Studies of Hyaluronic Acid and Poly(Vinyl Alcohol) Blends in Various Solvents" Materials 13, no. 21: 4750. https://doi.org/10.3390/ma13214750
APA StyleLewandowska, K. (2020). Miscibility Studies of Hyaluronic Acid and Poly(Vinyl Alcohol) Blends in Various Solvents. Materials, 13(21), 4750. https://doi.org/10.3390/ma13214750
