Investigations into the Role of Friction for Rigid Penetration into Concrete-Like Material Targets
Abstract
1. Introduction
2. SSF Phase Characteristics
2.1. Two-Phase Behavior of the Deceleration History
2.2. Role of SSF in Two-Phase Penetration Behavior
3. Numerical Simulation Investigations into the Role of Friction
3.1. Simulation Approach for Perforation and Penetration Experiments
3.2. Constitutive Models of Concrete-Like Materials
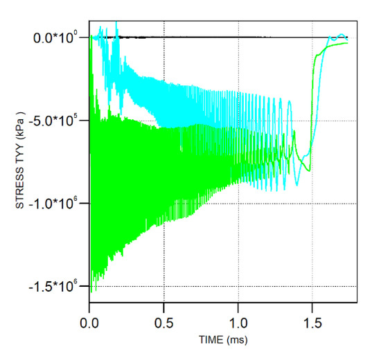
3.3. Simulation Results and Discussions
3.3.1. Perforation Cases without Considering the SSF
3.3.2. Penetration Cases without Considering the SSF
3.3.3. Numerical Simulations Including the SSF
3.3.4. Investigations for Shank Friction Effect
3.4. Discussions of SSF Role
4. Remarks and Conclusions
Author Contributions
Funding
Conflicts of Interest
References
- Li, Q.M.; Reid, R.S.; Wen, H.M.; Telford, A.R. Local Impact Effects of Hard Missiles on Concrete Targets. Int. J. Impact. Eng. 2005, 32, 224–284. [Google Scholar] [CrossRef]
- MForrestal, J.; Tzou, D. A spherical cavity-expansion penetration model for concrete targets. Int. J. Solids Struct. 1997, 34, 4127–4146. [Google Scholar] [CrossRef]
- MForrestal, J.; Altman, B.S.; Cargile, J.D.; Hanchak, S.J. An Empirical Equation for Penetration Depth of Ogive-Nose Projectiles into Concrete Targets. Int. J. Impact. Eng. 1994, 15, 395–405. [Google Scholar] [CrossRef]
- Forrestal, M.J.; Okajima, K.; Luk, V.K. Penetration of 6061-T651 Aluminum Targets with Rigid Long Rods. J. Appl. Mech. 1988, 55, 755–760. [Google Scholar] [CrossRef]
- Chen, X.W.; Li, Q.M. Deep penetration of a non-deformable projectile with different geometrical characteristics. Int. J. Impact Eng. 2002, 27, 619–637. [Google Scholar] [CrossRef]
- Mu, Z.; Zhang, W.; Wang, W.; Jiang, N.; Wu, X. Revising the penetration behavior of concrete-like and metal-like materials against the rigid projectile impact. Mech. Mater. 2020, 142, 103274. [Google Scholar] [CrossRef]
- Forrestal, M.J.; Grady, D.J. Penetration experiments for normal impact into geological targets. Int. J. Solids Struct. 1982, 18, 229–234. [Google Scholar] [CrossRef]
- Forrestal, M.J. Penetration into dry porous rock. Int. J. Solids Struct. 1986, 22, 1485–1500. [Google Scholar] [CrossRef]
- Luk, V.K.; Forrestal, M.J. Penetration into Semi- Infinite Reinforced Concrete Targets with Spherical and Ogival Nose Projectiles. Int. J. Impact Eng. 1987, 6, 291–301. [Google Scholar] [CrossRef]
- Forrestal, M.J.; Frew, D.J.; Hickerson, J.P.; Rohwer, T.A. Penetration of Concrete Targets with Deceleration-Time Measurements. Int. J. Impact Eng. 2003, 28, 479–497. [Google Scholar] [CrossRef]
- Forrestal, M.J.; Luk, V.K. Penetration into soil targets. Int. J. Impact Eng. 1992, 12, 427–444. [Google Scholar] [CrossRef]
- Forrestal, M.J.; Frew, D.J.; Hanchak, S.J.; Brar, N.S. Penetration of Grout and Concrete Targets with Ogive-Nose Steel Projectiles. Int. J. Impact Eng. 1996, 18, 465–476. [Google Scholar] [CrossRef]
- Frew, D.J.; Hanchak, S.J.; Green, M.L.; Forrestal, M.J. Penetration of Concrete Targets with Ogive-Nose Steel Rods. Int. J. Impact Eng. 1998, 21, 489–497. [Google Scholar] [CrossRef]
- Chen, E. Penetration into dry porous rock: A numerical study on sliding friction simulation. Theor. Appl. Fract. Mech. 1989, 11, 135–141. [Google Scholar] [CrossRef]
- Jones, S.E.; Rule, W.K. On the optimal nose geometry for a rigid penetrator, including the effects of pressure dependent friction. Int. J. Impact Eng. 2000, 24, 403–415. [Google Scholar] [CrossRef]
- Davis, R.N. Modeling of high-speed friction using multi-step incrementation of the coefficient of sliding friction. In Proceedings of the AIAA 54th Annual Southeastern Regional Student Conference, Kill Devil Hills, NC, USA, 27–28 March 2003; pp. 1–10. [Google Scholar]
- Forrestal, M.J.; Brar, N.S.; Luk, V.K. Penetration of strain-hardening targets with rigid spherical-nose rods. Trans. ASME J. Appl. Mech. 1991, 58, 7–10. [Google Scholar] [CrossRef]
- Ben-Dor, G.; Dubinsky, A.; Elperin, T. Localized interaction models with non-constant friction for rigid penetrating impactors. Int. J. Solids Struct. 2007, 44, 2593–2607. [Google Scholar] [CrossRef][Green Version]
- Li, B. Effects of Friction on Penetration. Master’s Thesis, Beijing Institute of Technology, Beijing, China, 2010. (In Chinese). [Google Scholar]
- Rosenberg, Z.; Dekel, E. The Penetration of Rigid Long Rods-Revisited. Int. J. Impact Eng. 2009, 36, 551–564. [Google Scholar] [CrossRef]
- Rosenberg, Z.; Dekel, E. A comment on “The effect of target inertia on the penetration of aluminum targets by rigid ogive-nosed long rods” by T.L. Warren, Int. J. Impact Eng. 2016. Int. J. Impact Eng. 2016, 93, 231–233. [Google Scholar] [CrossRef]
- Warren, T.L. The effect of target inertia on the penetration of aluminum targets by rigid ogive-nosed long rods. Int. J. Impact Eng. 2016, 91, 6–13. [Google Scholar] [CrossRef]
- Warren, T.L. Comment on “The effect of target inertia on the penetration of aluminum targets by rigid ogive-nosed long rods” (Int J Impact Eng 2016; 91: 6–13). Int. J. Impact Eng. 2018, 111, 34–36. [Google Scholar] [CrossRef]
- Warren, T.L. Response to: A comment on “The effect of target inertia on the penetration of aluminum targets by rigid ogive-nosed long rods” by T.L. Warren, Int. J. Impact Eng. 2016 by Z. Rosenberg and E. Dekel. Int. J. Impact Eng. 2016, 93, 234–235. [Google Scholar] [CrossRef]
- Kong, X.Z.; Wu, H.; Fang, Q.; Peng, Y. Rigid and eroding projectile penetration into concrete targets based on an extended dynamic spherical cavity expansion model. Int. J. Impact Eng. 2017, 100, 13–22. [Google Scholar] [CrossRef]
- Rosenberg, Z.; Kositski, R.; Dekel, E. Comment on: “Rigid and eroding projectile penetration into concrete targets based on an extended cavity expansion model” by Kong et al. Int. J. Impact Eng. (2017). Int. J. Impact Eng. 2017, 104, a1–a3. [Google Scholar] [CrossRef]
- Kong, X.Z.; Wu, H.; Fang, Q.; Peng, Y. Response to: Comment on “Rigid and eroding projectile penetration into concrete targets based on an extended cavity expansion model” by Kong et al. Int. J. Impact Eng. 2017 by Z. Rosenberg et al. Int. J. Impact Eng. 2017, 104, 150–153. [Google Scholar] [CrossRef]
- Yankelevsky, D.Z.; Feldgun, V.R. Issues in modelling the penetration of thick targets by rigid long rods. Int. J. Impact Eng. 2020, 137, 1–13. [Google Scholar] [CrossRef]
- Hill, R. Cavitation and the influence of head shape in attack of thick targets by non-deforming projectiles. J. Mech. Phys. Solids 1980, 28, 249–263. [Google Scholar] [CrossRef]
- Yarin, L.; Rubin, M.B.; Roisman, I.V. Penetration of a Rigid Projectile into an Elastic-Plastic Target of Finite Thickness. Int. J. Impact Eng. 1995, 16, 801–831. [Google Scholar] [CrossRef]
- Rapoport, L.; Rubin, M.B. Separation and Velocity Dependence of the Drag Force Applied to a Rigid Ovoid of Rankine Nosed Projectile Penetrating an Elastic—Perfectly-Plastic Target. Int. J. Impact Eng. 2009, 36, 1012–1018. [Google Scholar] [CrossRef]
- Rubin, M.B. Analytical Formulas for Penetration of a Long Rigid Projectile Including the Effect of Cavitation. Int. J. Impact Eng. 2012, 40–41, 1–9. [Google Scholar] [CrossRef]
- Fan, R.; Li, Q.M. Penetration resistance and the critical cavitation velocity for an ogive-nosed rigid projectile penetrating into a semi-infinite metallic target. Int. J. Impact Eng. 2019, 134, 103391. [Google Scholar] [CrossRef]
- Zhang, W.; Mu, Z.C.; Cao, Z.S.; Xiao, X.K. Numerical analysis of the projectile deformation during the penetration of concrete targets. DYMAT 2009, 2, 1643–1648. [Google Scholar]
- Mu, Z.C.; Zhang, W. An investigation on mass loss of ogival projectile penetrating concrete targets. Int. J. Impact Eng. 2011, 38, 770–778. [Google Scholar] [CrossRef]
- Hanchak, S.J.; Forrestal, M.J.; Young, E.R.; Ehrgott, J.Q. Perforation of Concrete Slabs with 48 Mpa and 140 Mpa Unconfined Compressive Strength. Int. J. Impact Eng. 1992, 12, 1–7. [Google Scholar] [CrossRef]
- AUTODYN. User Manual; v11.0; Century Dynamics, Inc.: Concord, CA, USA, 2007. [Google Scholar]
- Hermann, W. Constitutive equation for the dynamic compaction of ductile porous materials. J. Appl. Phys. 1969, 40, 2490–2499. [Google Scholar] [CrossRef]
- Mu, Z.C.; Dancygier, A.N.; Zhang, W.; Yankelevsky, D.Z. Revisiting the dynamic compressive behavior of concrete-like materials. Int. J. Impact Eng. 2012, 49, 91–102. [Google Scholar] [CrossRef]
- Sliter, G.E. Assessment of Empirical Concrete Impact Formulas. ASCE J. Struct. Div. 1980, 106, 1023–1045. [Google Scholar]
- Holmquist, T.J.; Johnson, G.R. A Computational Constitutive Model for Concrete Subjected to Large Strains, High Strain Rates, and High Pressures. In Proceedings of the 14th International Symposium on Ballistics, Quebec, QC, Canada, 26–29 September 1993; pp. 591–600. [Google Scholar]
- Tham, C.Y. Reinforced Concrete Perforation and Penetration Simulation Using Autodyn-3d. Finite Elem. Anal. Des. 2005, 41, 1401–1410. [Google Scholar] [CrossRef]















| 405 | 446 | 545 | 651 | 804 | 821 | 900 | 1009 | |
|---|---|---|---|---|---|---|---|---|
| H mm | 1830 | 1830 | 2130 | 2130 | 2130 | 2130 | 2440 | 2440 |
| Parameters for EOS | Basic Properties for Materials | ||||||
|---|---|---|---|---|---|---|---|
| Solid density | 2.684 × 103 kg/m3 | Solid compaction pressure | 6000 MPa | B0 | 1.22 | Uniaxial-compressive strength | 48 MPa |
| Initial Porous density | 2.314 × 103 kg/m3 | A1 | 3.53 × 104 MPa | B1 | 1.22 | Hydro tensile limit | 4 MPa |
| Initial sound speed | 2.92 × 103 m/s | A2 | 3.96 × 104 MPa | n | 3 | Shear Modulus | 14.88 GPa |
| Initial compaction pressure | 23.3 MPa | A3 | 9.04 × 103 MPa | Poisson’s ratio r | 0.2 | ||
| 405 | 446 | 545 | 600 | 651 | |
|---|---|---|---|---|---|
| 0.08 | 0.045 | 0.01 | 0.002 | 0.001 |
Publisher’s Note: MDPI stays neutral with regard to jurisdictional claims in published maps and institutional affiliations. |
© 2020 by the authors. Licensee MDPI, Basel, Switzerland. This article is an open access article distributed under the terms and conditions of the Creative Commons Attribution (CC BY) license (http://creativecommons.org/licenses/by/4.0/).
Share and Cite
Jiang, N.; Wu, S.; Hu, Y.; Mu, Z.; Wu, X.; Zhang, W. Investigations into the Role of Friction for Rigid Penetration into Concrete-Like Material Targets. Materials 2020, 13, 4733. https://doi.org/10.3390/ma13214733
Jiang N, Wu S, Hu Y, Mu Z, Wu X, Zhang W. Investigations into the Role of Friction for Rigid Penetration into Concrete-Like Material Targets. Materials. 2020; 13(21):4733. https://doi.org/10.3390/ma13214733
Chicago/Turabian StyleJiang, Ningjing, Shufan Wu, Yile Hu, Zhongcheng Mu, Xiaofeng Wu, and Wei Zhang. 2020. "Investigations into the Role of Friction for Rigid Penetration into Concrete-Like Material Targets" Materials 13, no. 21: 4733. https://doi.org/10.3390/ma13214733
APA StyleJiang, N., Wu, S., Hu, Y., Mu, Z., Wu, X., & Zhang, W. (2020). Investigations into the Role of Friction for Rigid Penetration into Concrete-Like Material Targets. Materials, 13(21), 4733. https://doi.org/10.3390/ma13214733

